Lignina extraída de cáscara de nuez y su uso como bioestimulante en plantas
DOI:
https://doi.org/10.29312/remexca.v16i30.4055Palabras clave:
agroresiduos, cultivos, enzimas, lignina, metabolitos, síntesisResumen
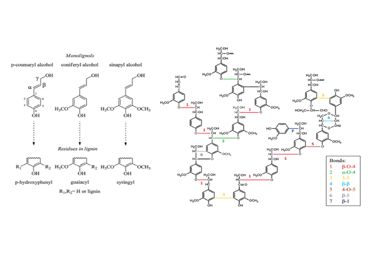
El constante aumento de la población mundial representa un gran desafío para el sector agrícola, ya que se tiene la necesidad de encontrar soluciones eficientes y no contaminantes que permitan elevar la producción de los alimentos vegetales en cantidad y calidad, con menos insumos, así como lidiar con la gran cantidad de desechos producidos. Una alternativa empleada, ha sido el uso de bioestimulantes del metabolismo vegetal, los cuales mejoran el crecimiento y rendimiento vegetal e incrementan la tolerancia al estrés biótico y abiótico. La lignina y sus derivados (oligómeros, monolignoles, lignosulfonatos, amonio-lignosulfonatos, lignosulfonatos de calcio, etc.), son heteropolímeros aromáticos que constituyen el 40% de la pared celular vegetal y en años recientes han demostrado funcionar como bioestimulantes y acarreador de fertilizantes, evidenciando incremento en la biomasa, raíz y producción, debido a una potencialización en la tasa fotosintética y rutas metabólicas relacionadas con los carbohidratos. Una fuente de obtención de estos, pueden ser los desechos agrícolas, por ejemplo, las cáscaras de nuez, los cuales son agro residuos producidos a gran escala en el norte de México y hasta hoy, han sido pobremente aprovechados, el objetivo del manuscrito se enfocó en recopilar y analizar el estado del arte del uso de lignina a partir de los agroresiduos del cultivo de la nuez y su potencial uso como bioestimulante del metabolismo en plantas.
Descargas
Citas
Agustin-Salazar, S.; Cerruti, P.; Medina-Juárez, L.; Scarinzi, G.; Malinconico, M. Soto-Valdez, H. and Gamez-Meza, N. 2018. Lignin and holocellulose from pecan nutshell as reinforcing fillers in poly (lactic acid) biocomposites. International Journal of Biological Macromolecules. 115:727-736. https://doi.org/10.1016/j.ijbiomac.2018.04.120.
Ahmad, U.; Ji, N.; Li, H.; Wu, Q.; Song, C.; Liu, Q.; Ma, D. and Lu, X. 2021. Can lignin be transformed into agrochemicals? Recent advances in the agricultural applications of lignin. Industrial Crops and Products. 170. https://doi.org/10.1016/j.indcrop.2021.113646.
Campobenedetto, C.; Grange, E.; Mannino, G.; Van-Arkel, J.; Beekwilder, J.; Karlova, R.; Garabello, C.; Contartese, V. and Bertea, C. 2020. A biostimulant seed treatment improved heat stress tolerance during cucumber seed germination by acting on the antioxidant system and glyoxylate cycle. Frontiers in Plant Science. 11:1-12. https://doi.org/10.3389/fpls.2020.00836.
Carrillo-Nieves, D.; Rostro-Alanís, M.; Cruz-Quiroz, R.; Ruiz, H.; Iqbal, H. and Parra-Saldívar, R. 2019. Current status and future trends of bioethanol production from agro-industrial wastes in Mexico. Renewable and Sustainable Energy Reviews.102:63-74. https://doi.org/10.1016/j.rser.2018.11.031.
Chen, X.; Moiser,N. and Ladisch, M. 2024. Valorization of lignin from aqueous-based lignocellulosic biorefineries. Trends in biotechnology. 42(11):1348-1362. https://doi.org/10.1016/j.tibtech.2024.07.004.
Chio, C.; Sain, M. and Qin, W. 2019. Lignin utilization: a review of lignin depolymerization from various aspects. Renewable and Sustainable Energy Reviews. 107:232-249. https://doi.org/10.1016/j.rser.2019.03.008.
De La Rosa, L.; Alvarez-Parrilla, E. and Shahidi, F. 2011. Phenolic compounds and antioxidant activity of kernels and shells of Mexican pecan (Carya illinoinensis). Journal of Agricultural and Food Chemistry. 59(1):152-162. https://doi.org/10.1021/jf1034306
De Prá-Andrade, M.; Piazza, D. and Poletto, M. 2021. Pecan nutshell: morphological, chemical and thermal characterization. Journal of Materials Research and Technology. 13:2229-2238. https://doi.org/10.1016/j.jmrt.2021.05.106.
Díaz-Elizondo, J.; Ayala-Velazco, A.; Benavides-Mendoza, A.; Enriquez-Medrano, F. and Medrano-Macías, J. 2024. Obtaining lignin from nutshells under mild extraction conditions and its use as a biostimulant in tomato seedlings. Horticulturae. 10(10):1079. https://doi.org/10.3390/horticulturae10101079.
Dipak-Kumar, H. and Aloke, P. 2020. Role of biostimulant formulations in crop Production: an overview. International Journal of Agricultural Sciences and Veterinary Medicine. 8(2):38-46.
Drobek, M.; Frąc, M. and Cybulska, J. 2019. Plant biostimulants: importance of the quality and yield of horticultural crops and the improvement of plant tolerance to abiotic stress-a review. Agronomy. 9(6). https://doi.org/10.3390/agronomy9060335.
Eraghi Kazzaz, A.; Hosseinpour-Feizi, Z. and Fatehi, P. 2019. Grafting strategies for hydroxy groups of lignin for producing materials. Green Chemistry. 21(21):5714-5752. https://doi.org/10.1039/c9gc02598g.
Ertani, A.; Francioso, O.; Tugnoli, V.; Righi, V. and Nardi, S. 2011. Effect of commercial lignosulfonate-humate on Zea mays L. metabolism. Journal of Agricultural and Food Chemistry. 59(22):11940-11948. https://doi.org/10.1021/jf202473e.
Florian, T.; Villani, N. Aguedo, M.; Jacquet, N.; Thomas, H. G.; Gerin, P.; Magali, D. and Richel, A. 2019. Chemical composition analysis and structural features of banana rachis lignin extracted by two organosolv methods. Industrial Crops and Products. 132:269-274. https://doi.org/10.1016/j.indcrop.2019.02.022.
Gebremikael, M.; Vandendaele, R.; Alarcon, M.; Torregrosa, R. and Neve, S. 2020. The efect of lignin application on plant growth and soil biological quality, EGU General Assembly. EGU2020-19535. https://doi.org/10.5194/egusphere-egu2020-19535.
Hilbig, J.; Alves, V.; Müller, C.; Micke, G.; Vitali, L.; Pedrosa, R. and Block, J. 2018. Ultrasonic-assisted extraction combined with sample preparation and analysis using LC-ESI-MS/MS allowed the identification of 24 new phenolic compounds in pecan nut shell [Carya illinoinensis (Wangenh) C. Koch] extracts. Food Research International.106(2017):549-557. https://doi.org/10.1016/j.foodres.2018.01.010.
Kok, A.; Wan Abdullah, W.; Tang, C.; Low, L.; Yuswan, M.; Ong-Abdullah, J.; Tan, N. and Lai, K. 2021. Sodium lignosulfonate improves shoot growth of Oryza sativa via enhancement of photosynthetic activity and reduced accumulation of reactive oxygen species. Scientific Reports. 11(1):1-13. https://doi.org/10.1038/s41598-021-92401-x.
Lim, S. and Matu, S. 2015. Utilization of agro wastes to produce biofertilizer. International Journal of Energy and Environmental Engineering. 6(1):31-35. https://doi.org/10.1007/s40095-014-0147-8.
Loredo-Medrano, J.; Bustos-Martínez, D.; Rivera-Rosa, J.; Carrillo-Pedraza, E.; Flores-Escamilla, G. and Ciuta, S. 2016. Particle pyrolysis modeling and thermal characterization of pecan nutshell. Journal of Thermal Analysis and Calorimetry. 126(2):969-979. https://doi.org/10.1007/s10973-016-5541-4.
Maceda, A.; Soto-Herández, M.; Peña-Valdivia, C.; Trejo, C. y Terrazas, T. 2021. Lignina: composición, síntesis y evolución. Madera y Bosque. 27(2):e2722137. Doi: 10.21829/myb.2021.2722137.
Magallanes, H.; Landeros, C. y Villegas, H. 2020. Desarrollo tecnológico para la optimización de la extracción de nuez pecanera. Revista Mexicana de Ciencias Agrícolas. 11(5):1111-1121. https://doi.org/10.29312/remexca.v11i5.2300.
Mahmud, M.; Shamim-Hasan, M.; Islam-Sardar, M.; Adnan-Shafin, A.; Sohanur-Rahman, M.; Mosaddek-Hossen, M.; Md-Hasan, C.; Islam-Sardar, M.; Adnan-Shafin, A.; Rahman, M. and Hossen, M. 2023. Brief review on applications of lignin. Journal of chemical review. 5(1):56-82. https://doi.org/10.22034/JCR.2023.359861.1186.
Moccia, F.; Agustin-Salazar, S.; Berg, A.; Setaro, B.; Micillo, R.; Pizzo, E.; Weber, F.; Gamez-Meza, N.; Schieber, A.; Cerruti, P.; Panzella, L. and Napolitano, A. 2020. Pecan (Carya illinoinensis (Wagenh.) K. Koch) nut shell as an accessible polyphenol source for active packaging and food colorant stabilization. ACS Sustainable Chemistry and Engineering. 8(17):6700-6712. https://doi.org/10.1021/acssuschemeng.0c00356.
Olivas-Tarango, A.; Rodríguez-Peña, C.; Cabrera-Álvarez, E.; Obregón-Solís, E.; Longoria-Garza, G.; García-Fajardo, J.; Flores-Montaño, J.; Morales-Landa, J.; Reyes-Vázquez, N.; Santos-Moreno, O. and Tarango-Rivero, S. 2019. Agronomía sustentable y aprovechamiento alternativo de la nuez. https://ciatej.repositorioinstitucional.mx/jspui/bitstream/1023/671/1/libronueznoreste.pdf?fbclid=iwar0d1mzqfj-nbffi8hk9rw586e7v9fbdsumxy0t-teh7mi-3-j8-vlnvzce.
Orona, I.; Sangerman, D.; Fortis, M.; Vázquez, C. and Gallegos, M. 2013. Producción y comercialización de nuez pecanera (Carya illinoensis Koch) en el norte de Coahuila, México. Revista Mexicana de Ciencias Agricolas. 4(3):461-476.
Prado, A.; Manion, B.; Seetharaman, K.; Deschamps, F.; Barrera Arellano, D. and Block, J. 2013. Relationship between antioxidant properties and chemical composition of the oil and the shell of pecan nuts [Carya illinoensis (Wangenh) C. Koch]. Industrial Crops and Products. 45:64-73. https://doi.org/10.1016/j.indcrop.2012.11.042.
Ranum, P.; Peña-Rosas, J. and Garcia-Casal, M. 2014. Global maize production, utilization, and consumption. Annals of the New York Academy of Sciences. 1(13-12):105-112. https://doi.org/10.1111/nyas.12396.
Ruwoldt, J. 2020. A critical review of the physicochemical properties of lignosulfonates: chemical structure and behavior in aqueous solution, at surfaces and interfaces. Surfaces. 3(4):622-648. https://doi.org/10.3390/surfaces3040042.
Sánchez, C. 2009. Lignocellulosic residues: biodegradation and bioconversion by fungi. Biotechnology Advances, 27(2):185-194. https://doi.org/10.1016/j.biotechadv.2008.11.001.
Savy, D. and Cozzolino, V. 2022. Novel fertilising products from lignin and its derivatives to enhance plant development and increase the sustainability of crop production. Journal of Cleaner Production. 366:132832. https://doi.org/10.1016/j.jclepro.2022.132832.
Savy, D.; Cozzolino, V.; Nebbioso, A.; Drosos, M.; Nuzzo, A.; Mazzei, P. and Piccolo, A. 2016. Humic-like bioactivity on emergence and early growth of maize (Zea mays L.) of water-soluble lignins isolated from biomass for energy. Plant and Soil. 402(1-2):221-233. https://doi.org/10.1007/s11104-015-2780-2.
Shahrajabian, M.; Chaski, C.; Polyzos, N. and Petropoulos, S. A. 2021. Biostimulants application: a low input cropping management tool for sustainable farming of vegetables. Biomolecules. 11(6):1-18. https://doi.org/10.3390/biom11050698.
Suárez-Jacobo, A.; Obregon, E.; Urzua, E. and García-Fajardo, J. 2016. Retos y oportunidades para el aprovechamiento de la nuez pecanera en México. CIATEJ: Guadalajara, México. ISBN 9-78607-974-2188.
Villamil-Galindo, E.; Van-Velde, F. and Piagentini, A. 2021. Strawberry agro-industrial by-products as a source of bioactive compounds: effect of cultivar on the phenolic profile and the antioxidant capacity. Bioresources and Bioprocessing. 8(1):61. https://doi.org/10.1186/s40643-021-00416-z.
Yakhin, O.; Lubyanov, A.; Yakhin, I.; Brown, P. and Pascale, S. 2017. Biostimulants in plant science : a global perspective. Frontiers in plant science. 7:2049. https://doi.org/10.3389/fpls.2016.02049.

Descargas
Publicado
Cómo citar
Número
Sección
Licencia
Derechos de autor 2025 Revista Mexicana de Ciencias Agrícolas

Esta obra está bajo una licencia internacional Creative Commons Atribución-NoComercial 4.0.
Los autores(as) que publiquen en Revista Mexicana de Ciencias Agrícolas aceptan las siguientes condiciones:
De acuerdo con la legislación de derechos de autor, Revista Mexicana de Ciencias Agrícolas reconoce y respeta el derecho moral de los autores(as), así como la titularidad del derecho patrimonial, el cual será cedido a la revista para su difusión en acceso abierto.
Los autores(as) deben de pagar una cuota por recepción de artículos antes de pasar por dictamen editorial. En caso de que la colaboración sea aceptada, el autor debe de parar la traducción de su texto al inglés.
Todos los textos publicados por Revista Mexicana de Ciencias Agrícolas -sin excepción- se distribuyen amparados bajo la licencia Creative Commons 4.0 atribución-no comercial (CC BY-NC 4.0 internacional), que permite a terceros utilizar lo publicado siempre que mencionen la autoría del trabajo y a la primera publicación en esta revista.
Los autores/as pueden realizar otros acuerdos contractuales independientes y adicionales para la distribución no exclusiva de la versión del artículo publicado en Revista Mexicana de Ciencias Agrícolas (por ejemplo incluirlo en un repositorio institucional o darlo a conocer en otros medios en papel o electrónicos) siempre que indique clara y explícitamente que el trabajo se publicó por primera vez en Revista Mexicana de Ciencias Agrícolas.
Para todo lo anterior, los autores(as) deben remitir el formato de carta-cesión de la propiedad de los derechos de la primera publicación debidamente requisitado y firmado por los autores(as). Este formato debe ser remitido en archivo PDF al correo: revista_atm@yahoo.com.mx; revistaagricola@inifap.gob.mx.
Esta obra está bajo una licencia de Creative Commons Reconocimiento-No Comercial 4.0 Internacional.