https://doi.org/10.29312/remexca.v16i30.4055

elocation-id: e4055

Cerón-Rodríguez, Díaz-Elizondo, Enríquez-Medrano, Saade-Caballero, Benavides-Mendoza, and Medrano-Macías: Lignin extracted from pecan shells and its use as a biostimulant in plants

Journal Metadata

Journal Identifier: remexca [journal-id-type=publisher-id]

Journal Title Group

Journal Title (Full): Revista mexicana de ciencias agrícolas

Abbreviated Journal Title: Rev. Mex. Cienc. Agríc [abbrev-type=publisher]

ISSN: 2007-0934 [pub-type=ppub]

Publisher

Publisher’s Name: Instituto Nacional de Investigaciones Forestales, Agrícolas y Pecuarias

Article Metadata

Article Identifier: 10.29312/remexca.v16i30.4055 [pub-id-type=doi]

Article Identifier: 00018 [pub-id-type=other]

Article Grouping Data

Subject Group [subj-group-type=heading]

Subject Grouping Name: Essays

Title Group

Article Title: Lignin extracted from pecan shells and its use as a biostimulant in plants

Contributor Group

Contributor [contrib-type=author]

Name of Person [name-style=western]

Surname: Cerón-Rodríguez

Given (First) Names: Gabriel

X (cross) Reference [ref-type=aff; rid=aff1]

Superscript: 1

Contributor [contrib-type=author]

Name of Person [name-style=western]

Surname: Díaz-Elizondo

Given (First) Names: José Alejandro

X (cross) Reference [ref-type=aff; rid=aff2]

Superscript: 2

Contributor [contrib-type=author]

Name of Person [name-style=western]

Surname: Enríquez-Medrano

Given (First) Names: Francisco Javier

X (cross) Reference [ref-type=aff; rid=aff2]

Superscript: 2

Contributor [contrib-type=author]

Name of Person [name-style=western]

Surname: Saade-Caballero

Given (First) Names: Hened

X (cross) Reference [ref-type=aff; rid=aff2]

Superscript: 2

Contributor [contrib-type=author]

Name of Person [name-style=western]

Surname: Benavides-Mendoza

Given (First) Names: Adalberto

X (cross) Reference [ref-type=aff; rid=aff1]

Superscript: 1

Contributor [contrib-type=author]

Name of Person [name-style=western]

Surname: Medrano-Macías

Given (First) Names: Julia

X (cross) Reference [ref-type=aff; rid=aff1]

Superscript: 1

X (cross) Reference [ref-type=corresp; rid=c1]

Superscript: §

Affiliation [id=aff1]

Label (of an Equation, Figure, Reference, etc.): 1

Institution Name: in an Address: Departamento de Horticultura-Universidad Autónoma Agraria Antonio Narro. Calzada Antonio Narro 1923, Col. Buenavista, Saltillo, México. CP. 25315. [content-type=original]

Institution Name: in an Address: Universidad Autónoma Agraria Antonio Narro [content-type=normalized]

Institution Name: in an Address: Departamento de Horticultura [content-type=orgdiv1]

Institution Name: in an Address: Universidad Autónoma Agraria Antonio Narro [content-type=orgname]

Address Line

State or Province: Saltillo

Postal Code: 25315

Country: in an Address: Mexico [country=MX]

Affiliation [id=aff2]

Label (of an Equation, Figure, Reference, etc.): 2

Institution Name: in an Address: Centro de Investigación en Química Aplicada. Blvd. Enrique Reyna 140, Col. San José de los Cerritos, Saltillo, México. CP. 25294. [content-type=original]

Institution Name: in an Address: Centro de Investigación en Química Aplicada [content-type=orgname]

Address Line

City: Saltillo

Postal Code: 25294

Country: in an Address: México [country=MX]

Author Note Group

Correspondence Information: [§] Autor para correspondencia: julia.medrano@uaaan.edu.mx. [id=c1]

Publication Date [date-type=pub; publication-format=electronic]

Day: 15

Month: 10

Year: 2025

Publication Date [date-type=collection; publication-format=electronic]

Season: Sep-Oct

Year: 2025

Volume Number: 16

Issue Number: esp30

Electronic Location Identifier: e4055

History: Document History

Date [date-type=received]

Day: 00

Month: 07

Year: 2025

Date [date-type=accepted]

Day: 00

Month: 09

Year: 2025

Permissions

License Information [license-type=open-access; xlink:href=https://creativecommons.org/licenses/by-nc/4.0/; xml:lang=es]

Este es un artículo publicado en acceso abierto bajo una licencia Creative Commons

Abstract

Title: Abstract

The constant increase in the world’s population represents a significant challenge for the agricultural sector since there is a need to find efficient and non-polluting solutions that allow increasing the production of plant foods in quantity and quality, with fewer inputs, as well as dealing with the large amount of waste produced. One of the alternatives employed has been the use of biostimulants of plant metabolism, which improve plant growth and yield and increase tolerance to biotic and abiotic stress. Lignin and its derivatives (oligomers, monolignols, lignosulfonates, ammonium lignosulfonates, calcium lignosulfonates, etc.) are aromatic heteropolymers that constitute 40% of the plant cell wall and in recent years have been shown to function as biostimulants and fertilizer carriers, evidencing an increase in biomass, root, and production, due to a potentiation in the photosynthetic rate and metabolic pathways related to carbohydrates. One source for obtaining them can be agricultural waste, such as pecan shells, which are agro-residues produced on a large scale in northern Mexico and until today, have been poorly used; the objective of the manuscript focused on collecting and analyzing the state of the art of the use of lignin from the agro-residues of pecan cultivation and its potential use as a biostimulant of metabolism in plants.

Keyword Group [xml:lang=en]

Title: Keywords

Keyword: agro-residues

Keyword: crops

Keyword: enzymes

Keyword: lignin

Keyword: metabolites

Keyword: synthesis

Counts

Figure Count [count=5]

Table Count [count=1]

Equation Count [count=0]

Reference Count [count=35]

Abstract

The constant increase in the world’s population represents a significant challenge for the agricultural sector since there is a need to find efficient and non-polluting solutions that allow increasing the production of plant foods in quantity and quality, with fewer inputs, as well as dealing with the large amount of waste produced. One of the alternatives employed has been the use of biostimulants of plant metabolism, which improve plant growth and yield and increase tolerance to biotic and abiotic stress. Lignin and its derivatives (oligomers, monolignols, lignosulfonates, ammonium lignosulfonates, calcium lignosulfonates, etc.) are aromatic heteropolymers that constitute 40% of the plant cell wall and in recent years have been shown to function as biostimulants and fertilizer carriers, evidencing an increase in biomass, root, and production, due to a potentiation in the photosynthetic rate and metabolic pathways related to carbohydrates. One source for obtaining them can be agricultural waste, such as pecan shells, which are agro-residues produced on a large scale in northern Mexico and until today, have been poorly used; the objective of the manuscript focused on collecting and analyzing the state of the art of the use of lignin from the agro-residues of pecan cultivation and its potential use as a biostimulant of metabolism in plants.

Keywords

agro-residues, crops, enzymes, lignin, metabolites, synthesis.

The increase in the world’s population and a constant change in global environmental conditions are two of the main challenges of this century to achieve adequate plant food production (Shahrajabian et al., 2021). In this context, the use of biostimulants in agriculture has been an increasingly demanded practice to combat these problems that prevent the optimal development of crops, as well as to achieve a reduction in the use of inorganic inputs, such as fertilizers and pesticides. In addition, biostimulants are considered commercially very attractive, since the profits of this business exceed 2 billion dollars in annual sales (Yakhin et al., 2017).

Lignin can undergo various processes to generate high-value products, such as catalysts, carbonaceous materials, hydrogels, chemicals and fuels. On the other hand, due to its phenolic nature and the presence of various functional groups, lignin has the potential to be used in the preparation of biocomposites and antioxidant materials, which are useful in agribusiness as additives, coating agents, absorbents, plant growth stimulators for food production, packaging materials and fertilizers (Eraghi Kazzaz et al., 2019).

Publications on lignin focus mainly on biorefinery and bioenergy (Mahmud et al., 2023), so there is extensive literature on the use of lignin in these areas, which does not occur for agricultural applications. Despite this trend, some studies have shown that lignin and some derivatives increase and improve the quality of crop production (Savy and Cozzolino, 2022).

Lignin is a branched aromatic heteropolymer, randomly formed by phenylpropane units. Virgin and chemically modified lignin oligomers have recently attracted the attention of the scientific community due to the results obtained after their use in agronomy, where these macromolecules have worked as carriers and dispensers of essential macro- and microelements; likewise, they have had beneficial effects directly on growth, greater tolerance to stress, and increased production of different crops (Campobenedetto et al., 2020).

A significant advantage of the use of lignin as a biostimulant of plant metabolism is that this compound constitutes 40% of the cell wall of plants and an even higher percentage when it comes to timber and woody materials, so important sources of this biopolymer could be the different agro-residues generated by food and beverage production processes (Sánchez, 2009).

In northern Mexico, a crop of great economic significance is pecans, generating residues that account for around 40-50% of total production (Ranum et al., 2014; Suárez-Jacobo et al., 2016). The residues of this crop represent a source of molecules of commercial interest, such as lignin, hemicellulose, and phenolic compounds, which can be used to improve the production of vegetables and, at the same time, reduce the volume of these wastes or residues.

This review focused on promoting and visualizing the use of pecan agro-residues as a raw material for obtaining lignin, exploring its potential as a biostimulant of plant metabolism. In addition, the main methodologies to extract this biopolymer efficiently from the aforementioned sources are addressed.

Biostimulants overview

The definition of biostimulant is very broad; however, they can be considered of natural origin, they improve plant growth and production, and promote stress tolerance (Drobek et al., 2019). Currently, the classification of biostimulants is mainly based on their origin, their main components or their mode of action (Dipak Kumar and Aloke, 2020), so there is no general consensus.

Shahrajabian et al. (2021) proposed a simple and straightforward classification, which is as follows: biostimulants of biological origin and physical or chemical origin. Within the first group, they are subclassified into microbiological and non-microbiological; the former include mycorrhizae and plant growth-promoting bacteria, whereas the latter include extracts of algae and terrestrial plants, humic substances, and biopolymers such as chitosan. Figure 1 shows the classification described above.

Figure 1

Figure 1. General classification of biostimulants according to Shahrajabian et al. (2021).

2007-0934-remexca-16-esp30-e4055-gf6.png

Main chemical characteristics of lignin

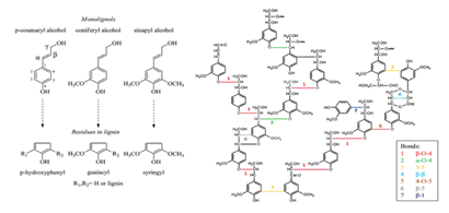
Lignin is an amorphous polymer composed of three basic monomers: coumaryl, coniferyl and sinapyl alcohol, synthesized from the phenylpropanoid pathway, which respectively form the units p-hydroxyphenyl (H), guaiacyl (G) and syringyl (S). This polymer is structured by the bonding of these units by ether bonds, mainly ß-O-4, α-O-4, 5-5, ß-ß, 4-O-5, ß-5, and ß-1 (Figure 2) (Maceda et al., 2021).

Figure 2

Figure 2. Illustration of the monomeric components of lignin and the main chemical bonds formed between them. Image taken from Ruwoldt (2020).

2007-0934-remexca-16-esp30-e4055-gf7.png

The molecular mass has been estimated to range from 1 000 to 20 000 g mol-1 and the rigidity of the wall depends on the balance of the polymer units; for example, a higher proportion of guaiacyl has been found in soft wood, and less guaiacyl and more syringyl have been found in hardwood (Florian et al., 2019)

The functional groups of the lignin units with the highest reactivity are aliphatic and aromatic hydroxyl, methoxy, and ethoxy groups; that is, widely reactive polyol groups. The presence of these groups would allow electrophilic substitution reactions to be carried out mainly, using a wide variety of compounds with an electrophilic nature to be incorporated into the aromatic ring, replacing a hydrogen atom. The high concentration of reactive groups is the reason why lignin has had a large number of applications, such as in construction, pharmaceuticals, etc. (Chio et al., 2019).

Use of lignin and its derivatives in agriculture: a new alternative plant biostimulant

In recent years, the use of lignin has expanded into the field of agronomy, where it has been used to improve plant food production. Its function as a controlled fertilizer releaser, urea coating, soil improver and growth regulator has been demonstrated. In this sense, (Ahmad et al., 2021) carried out an extensive literature review of what had been reported so far concerning the application of lignin in agriculture, showing a broad panorama of all its benefits.

Another recent and very complete review of the impact of the application of lignin and derivatives of these plants was conducted by Savy and Cozzolino (2022), who state that these macromolecules can not only function as a carrier of macro and micronutrients, but also as a powerful biostimulant of plant metabolism; where, in addition to achieving an increase in the growth rate, it is also possible to increase redox metabolism and cope with oxidative stress conditions.

The benefits on plant growth, development, and defense after the application of lignin, lignin oligomers, or lignosulfonates complexed with ions, such as Ca or Na, are not fully clarified; nevertheless, in a study conducted by Kok et al. (2021) on the impact on proteomics and biochemistry, they found an increase in chlorophyll, coupled with a greater activity of the Rubisco enzyme, as well as an increase in the concentration of total sugars and proteins, such as PS11, CP47, CP43, D1 and D2.

This explained part of the phenotypic effects. They also found a reduction in membrane peroxidation, so a reduction in reactive oxygen species or ROS, is inferred (Kok et al., 2021). In addition to the above, it has also been suggested that lignin fractions can mimic growth regulators, such as auxins and gibberellins, depending on the balance of the monomeric composition of the biopolymer.

For example, the effect related to auxins was attributed to the presence of gallic acid, protocatechuic acid, and phenylacetic acid. For its part, the gibberellic acid has been linked to hydroxybenzoic acid, vanillic acid, and syringic acid. This finding was observed in corn plants, with increased growth and production (Savy et al., 2016).

Another possible mechanism of action of lignin, after exogenous application in plants, has been attributed to the reactivity of phenolic compounds, as well as to the whole range of functional groups present in monomers such as ethoxy, methoxy, carboxy and hydroxy (Díaz-Elizondo et al., 2024), which, through electronic exchange, cause alterations in cell membranes, which triggers a series of physiological effects, such as improved water management by the plant, greater efficiency in the opening and closing of stomata, as well as an increase in photosynthesis and respiration rates.

In addition, they interact with different phytohormones and enzymes, modifying biosynthesis and redirecting the flow of carbon towards the formation of other metabolites (Ertani et al., 2011). The form and concentration of application of lignin have been very diverse, but in this review, it has been decided to recommend five different ones, as indicated in Table 1.

Table 1

Table 1. Forms and concentrations of application of lignin in crops.

Lignin form Concentration Result Reference
Lignin extracted from pecan shells applied foliarly 10-100 mg L-1 Improved growth of tomato seedlings Díaz-Elizondo et al. (2024)
Lignin extracted from urban and forest trees and applied directly to the soil 5-20 kg ha-1 Increased root biomass and increased activity of the dehydrogenase enzyme. Gebremikael et al. (2020)
Calcium or sodium lignosulfonates applied by seed imbibition 100-400 mg L-1 Increased biomass and proteins related to photosynthesis. Kok et al. (2021)
Lignin applied to the nutrient solution 1-100 mg L-1 C organic With 10 and 50 mg L-1 increase in length of radicle, lateral roots, and coleoptiles of corn seedlings. Savy et al. (2016)
Lignosulfonates drip-applied to soybeans 4.2% C organic from lignosulfonates Increase in area, perimeter, length, and width of seedlings, modulation in 879 genes involved in ribosomal assembly. Campobenedetto et al. (2020)

Agro-residues

Agro-residues are defined as the waste produced by any agronomic activity; they can be from plant stems, leaves, shells, roots, bagasse, among others (Lim and Matu, 2015). Population growth has been exponential in recent decades and food production has followed this same trend, resulting in an unprecedented accumulation of agro-residues, which, in general, are not properly discarded, adding to the increase in environmental pollution.

For the aforementioned reasons, it is of utmost importance to look for efficient alternatives for reuse and good management of this type of waste. An alternative for the use of some agro-residues is to apply them directly to crops to help improve the quality of plant products and influence the physiological functions of the plant, that is, to act as biostimulants (Ertani et al., 2017)

In general, agro-residues are potential sources of bioactive compounds, both primary metabolites such as proteins, carbohydrates, and lipids and secondary metabolites, such as antioxidants, phenolic compounds and other molecules with reducing power (Villamil-Galindo et al., 2021). Now, among the vast array of agro-residues that exist around the world, one of the most important, found in the northern region of Mexico, with commercial and biochemical interest, is that obtained from pecans, due to the large volumes produced annually in Mexico (Carrillo-Nieves et al., 2019).

In addition to the above, the rich chemical composition of pecan residues gives it the necessary qualities to become an ideal study model for obtaining usable molecules with high added value (Chen et al., 2024).

Agro-industrial pecan waste

The pecan tree [Carya illinoinensis (Wangenh) C. Koch.] is native to the southern United States of America and northern Mexico, so due to this climatic and soil adaptability, these two countries are the largest producers of pecans in the world (Orona et al., 2013). In Mexico, the states where the highest production takes place are Chihuahua, Coahuila, Durango, and Sonora.

In the last 15 years, the area planted has increased by 80%, currently reaching 146 000 ha (Figure 3). With a 2.8-fold increase in the area planted in the country, production increased 3.7 times, reaching a harvest of more than 135 000 tonnes in 2021, according to information provided by the Statistical Yearbook of Agricultural Production of the Agrifood and Fisheries Information Service (SIAP) (Figure 4).

Figure 3

Figure 3. Behavior of the area planted with pecan trees in the states with the highest production between 1985 and 2015.

2007-0934-remexca-16-esp30-e4055-gf8.jpg

Figure 4

Figure 4. Pecan production in the largest pecan-producing states in the year 2021.

2007-0934-remexca-16-esp30-e4055-gf9.png

Nonetheless, this crop generates a high amount of waste, from woody waste from the different pruning tasks, remains of the pericarp called husks and the shell, which represents between 40 and 50% of the total weight of the fruit produced (Hilbig et al., 2018). Based on the data previously shown, it is stated that pecan residues can become a very valuable raw material, with applications already reported in the pharmaceutical, food, cosmetic and decorative materials industries, among others; however, their exploitation or use in agronomic issues has not yet been thoroughly researched (Magallanes, 2020).

Chemical characteristics of pecan shell

Pecan shell is a lignocellulosic material consisting of crude fiber and polysaccharides that give it rigidity. Its main structural components reported are: 1) holocellulose, in a reported range between 45 and 50% (Prado et al., 2013), which is a mixture of polymers, basically cellulose and hemicellulose (pentoses, hexoses, and uronic acids) and 2) lignin, reported between 18 and 35% (de Prá-Andrade et al., 2021).

In a recent study characterizing the shell of the Mexican pecan varieties ‘Wichita’ and ‘Western’, it was found that they are made up of more than 90% of the total weight of the biomass by fiber, where 57% of insoluble acid lignin and 39% of holocellulose were observed. The lignin identified by microscopy formed particles of irregular morphology, due to the variability in its precursor alcohols, which gives it excellent thermal stability and a reduction of free radicals.

In this research, the authors established a great potential for the use of these macromolecules as aggregates in composite materials (Agustin-Salazar et al., 2018). Another similar work also reported an ash content of 0.93 to 2.49% (Loredo-Medrano et al., 2016) and 12.6% extractives, which refer to low molecular weight composites.

In this regard, after hydroalcoholic extraction, De la Rosa et al. (2011) found a range of between 12 to 16% of total phenolic compounds, with ellagic acid being the most abundant compound (4.6 to 5.5 mg kg-1), followed by gallic acid (0.19 to 0.25 mg kg-1), and protocatechuic acid (0.01 to 0.03 mg kg-1). In more recent research, Moccia et al. (2020) included the following polyphenols in the chemical characterization they performed on pecan shells: catechin, epicatechin and gallocatechol.

General methods for obtaining lignin from agro-residues

In order to use and give added value to pecan agro-residues, innovative techniques have been developed to obtain lignin from its shell, as shown in Figure 5, which are divided into four main groups: physical, thermal, biological and chemical means (Olivas Tarango et al., 2019).

Figure 5

Figure 5. Schematization of the main techniques reported for obtaining lignin and its derivatives.

2007-0934-remexca-16-esp30-e4055-gf10.png

Conclusions

The review of the state of the art broadened the vision on the use of agro-residues, focusing on one produced primarily in northern Mexico: pecan shells. These have molecules such as lignin, hemicellulose, and phenolic compounds, which are promising as biostimulants of plant metabolism.

A general idea of obtaining and potential use in the improvement of crop production is presented. A general idea of how to obtain it and apply it to plants is given. In this way, it is sought to address two major current problems: reducing the accumulation of agro-residues through the use and increasing tolerance to stress in crops.

Bibliography

1 

Agustin-Salazar, S.; Cerruti, P.; Medina-Juárez, L.; Scarinzi, G.; Malinconico, M. Soto-Valdez, H. and Gamez-Meza, N. 2018. Lignin and holocellulose from pecan nutshell as reinforcing fillers in poly (lactic acid) biocomposites. International Journal of Biological Macromolecules. 115:727-736. https://doi.org/10.1016/j.ijbiomac.2018.04.120.

2 

Ahmad, U.; Ji, N.; Li, H.; Wu, Q.; Song, C.; Liu, Q.; Ma, D. and Lu, X. 2021. Can lignin be transformed into agrochemicals? Recent advances in the agricultural applications of lignin. Industrial Crops and Products. 170. https://doi.org/10.1016/j.indcrop.2021.113646.

3 

Campobenedetto, C.; Grange, E.; Mannino, G.; Van-Arkel, J.; Beekwilder, J.; Karlova, R.; Garabello, C.; Contartese, V. and Bertea, C. 2020. A biostimulant seed treatment improved heat stress tolerance during cucumber seed germination by acting on the antioxidant system and glyoxylate cycle. Frontiers in Plant Science. 11:1-12. https://doi.org/10.3389/fpls.2020.00836.

4 

Carrillo-Nieves, D.; Rostro-Alanís, M.; Cruz-Quiroz, R.; Ruiz, H.; Iqbal, H. and Parra-Saldívar, R. 2019. Current status and future trends of bioethanol production from agro-industrial wastes in Mexico. Renewable and Sustainable Energy Reviews.102:63-74. https://doi.org/10.1016/j.rser.2018.11.031.

5 

Chen, X.; Moiser,N. and Ladisch, M. 2024. Valorization of lignin from aqueous-based lignocellulosic biorefineries. Trends in biotechnology. 42(11):1348-1362. https://doi.org/10.1016/j.tibtech.2024.07.004.

6 

Chio, C.; Sain, M. and Qin, W. 2019. Lignin utilization: a review of lignin depolymerization from various aspects. Renewable and Sustainable Energy Reviews. 107:232-249. https://doi.org/10.1016/j.rser.2019.03.008.

7 

De La Rosa, L.; Alvarez-Parrilla, E. and Shahidi, F. 2011. Phenolic compounds and antioxidant activity of kernels and shells of Mexican pecan (Carya illinoinensis). Journal of Agricultural and Food Chemistry. 59(1):152-162. https://doi.org/10.1021/jf1034306

8 

De Prá-Andrade, M.; Piazza, D. and Poletto, M. 2021. Pecan nutshell: morphological, chemical and thermal characterization. Journal of Materials Research and Technology. 13:2229-2238. https://doi.org/10.1016/j.jmrt.2021.05.106.

9 

Díaz-Elizondo, J.; Ayala-Velazco, A.; Benavides-Mendoza, A.; Enriquez-Medrano, F. and Medrano-Macías, J. 2024. Obtaining lignin from nutshells under mild extraction conditions and its use as a biostimulant in tomato seedlings. Horticulturae. 10(10):1079. https://doi.org/10.3390/horticulturae10101079.

10 

Dipak-Kumar, H. and Aloke, P. 2020. Role of biostimulant formulations in crop Production: an overview. International Journal of Agricultural Sciences and Veterinary Medicine. 8(2):38-46.

11 

Drobek, M.; Frąc, M. and Cybulska, J. 2019. Plant biostimulants: importance of the quality and yield of horticultural crops and the improvement of plant tolerance to abiotic stress-a review. Agronomy. 9(6). https://doi.org/10.3390/agronomy9060335.

12 

Eraghi Kazzaz, A.; Hosseinpour-Feizi, Z. and Fatehi, P. 2019. Grafting strategies for hydroxy groups of lignin for producing materials. Green Chemistry. 21(21):5714-5752. https://doi.org/10.1039/c9gc02598g.

13 

Ertani, A.; Francioso, O.; Tugnoli, V.; Righi, V. and Nardi, S. 2011. Effect of commercial lignosulfonate-humate on Zea mays L. metabolism. Journal of Agricultural and Food Chemistry . 59(22):11940-11948. https://doi.org/10.1021/jf202473e.

14 

Florian, T.; Villani, N. Aguedo, M.; Jacquet, N.; Thomas, H. G.; Gerin, P.; Magali, D. and Richel, A. 2019. Chemical composition analysis and structural features of banana rachis lignin extracted by two organosolv methods. Industrial Crops and Products . 132:269-274. https://doi.org/10.1016/j.indcrop.2019.02.022.

15 

Gebremikael, M.; Vandendaele, R.; Alarcon, M.; Torregrosa, R. and Neve, S. 2020. The efect of lignin application on plant growth and soil biological quality, EGU General Assembly. EGU2020-19535. https://doi.org/10.5194/egusphere-egu2020-19535.

16 

Hilbig, J.; Alves, V.; Müller, C.; Micke, G.; Vitali, L.; Pedrosa, R. and Block, J. 2018. Ultrasonic-assisted extraction combined with sample preparation and analysis using LC-ESI-MS/MS allowed the identification of 24 new phenolic compounds in pecan nut shell [Carya illinoinensis (Wangenh) C. Koch] extracts. Food Research International.106(2017):549-557. https://doi.org/10.1016/j.foodres.2018.01.010.

17 

Kok, A.; Wan Abdullah, W.; Tang, C.; Low, L.; Yuswan, M.; Ong-Abdullah, J.; Tan, N. and Lai, K. 2021. Sodium lignosulfonate improves shoot growth of Oryza sativa via enhancement of photosynthetic activity and reduced accumulation of reactive oxygen species. Scientific Reports. 11(1):1-13. https://doi.org/10.1038/s41598-021-92401-x.

18 

Lim, S. and Matu, S. 2015. Utilization of agro wastes to produce biofertilizer. International Journal of Energy and Environmental Engineering. 6(1):31-35. https://doi.org/10.1007/s40095-014-0147-8.

19 

Loredo-Medrano, J.; Bustos-Martínez, D.; Rivera-Rosa, J.; Carrillo-Pedraza, E.; Flores-Escamilla, G. and Ciuta, S. 2016. Particle pyrolysis modeling and thermal characterization of pecan nutshell. Journal of Thermal Analysis and Calorimetry. 126(2):969-979. https://doi.org/10.1007/s10973-016-5541-4.

20 

Maceda, A.; Soto-Herández, M.; Peña-Valdivia, C.; Trejo, C. y Terrazas, T. 2021. Lignina: composición, síntesis y evolución. Madera y Bosque. 27(2):e2722137. Doi: 10.21829/myb.2021.2722137.

21 

Magallanes, H.; Landeros, C. y Villegas, H. 2020. Desarrollo tecnológico para la optimización de la extracción de nuez pecanera. Revista Mexicana de Ciencias Agrícolas. 11(5):1111-1121. https://doi.org/10.29312/remexca.v11i5.2300.

22 

Mahmud, M.; Shamim-Hasan, M.; Islam-Sardar, M.; Adnan-Shafin, A.; Sohanur-Rahman, M.; Mosaddek-Hossen, M.; Md-Hasan, C.; Islam-Sardar, M.; Adnan-Shafin, A.; Rahman, M. and Hossen, M. 2023. Brief review on applications of lignin. Journal of chemical review. 5(1):56-82. https://doi.org/10.22034/JCR.2023.359861.1186.

23 

Moccia, F.; Agustin-Salazar, S.; Berg, A.; Setaro, B.; Micillo, R.; Pizzo, E.; Weber, F.; Gamez-Meza, N.; Schieber, A.; Cerruti, P.; Panzella, L. and Napolitano, A. 2020. Pecan (Carya illinoinensis (Wagenh.) K. Koch) nut shell as an accessible polyphenol source for active packaging and food colorant stabilization. ACS Sustainable Chemistry and Engineering. 8(17):6700-6712. https://doi.org/10.1021/acssuschemeng.0c00356.

24 

Olivas-Tarango, A.; Rodríguez-Peña, C.; Cabrera-Álvarez, E.; Obregón-Solís, E.; Longoria-Garza, G.; García-Fajardo, J.; Flores-Montaño, J.; Morales-Landa, J.; Reyes-Vázquez, N.; Santos-Moreno, O. and Tarango-Rivero, S. 2019. Agronomía sustentable y aprovechamiento alternativo de la nuez. https://ciatej.repositorioinstitucional.mx/jspui/bitstream/1023/671/1/libronueznoreste.pdf?fbclid=iwar0d1mzqfj-nbffi8hk9rw586e7v9fbdsumxy0t-teh7mi-3-j8-vlnvzce.

25 

Orona, I.; Sangerman, D.; Fortis, M.; Vázquez, C. and Gallegos, M. 2013. Producción y comercialización de nuez pecanera (Carya illinoensis Koch) en el norte de Coahuila, México. Revista Mexicana de Ciencias Agricolas. 4(3):461-476.

26 

Prado, A.; Manion, B.; Seetharaman, K.; Deschamps, F.; Barrera Arellano, D. and Block, J. 2013. Relationship between antioxidant properties and chemical composition of the oil and the shell of pecan nuts [Carya illinoensis (Wangenh) C. Koch]. Industrial Crops and Products . 45:64-73. https://doi.org/10.1016/j.indcrop.2012.11.042.

27 

Ranum, P.; Peña-Rosas, J. and Garcia-Casal, M. 2014. Global maize production, utilization, and consumption. Annals of the New York Academy of Sciences. 1(13-12):105-112. https://doi.org/10.1111/nyas.12396.

28 

Ruwoldt, J. 2020. A critical review of the physicochemical properties of lignosulfonates: chemical structure and behavior in aqueous solution, at surfaces and interfaces. Surfaces. 3(4):622-648. https://doi.org/10.3390/surfaces3040042.

29 

Sánchez, C. 2009. Lignocellulosic residues: biodegradation and bioconversion by fungi. Biotechnology Advances, 27(2):185-194. https://doi.org/10.1016/j.biotechadv.2008.11.001.

30 

Savy, D. and Cozzolino, V. 2022. Novel fertilising products from lignin and its derivatives to enhance plant development and increase the sustainability of crop production. Journal of Cleaner Production. 366:132832. https://doi.org/10.1016/j.jclepro.2022.132832.

31 

Savy, D.; Cozzolino, V.; Nebbioso, A.; Drosos, M.; Nuzzo, A.; Mazzei, P. and Piccolo, A. 2016. Humic-like bioactivity on emergence and early growth of maize (Zea mays L.) of water-soluble lignins isolated from biomass for energy. Plant and Soil. 402(1-2):221-233. https://doi.org/10.1007/s11104-015-2780-2.

32 

Shahrajabian, M.; Chaski, C.; Polyzos, N. and Petropoulos, S. A. 2021. Biostimulants application: a low input cropping management tool for sustainable farming of vegetables. Biomolecules. 11(6):1-18. https://doi.org/10.3390/biom11050698.

33 

Suárez-Jacobo, A.; Obregon, E.; Urzua, E. and García-Fajardo, J. 2016. Retos y oportunidades para el aprovechamiento de la nuez pecanera en México. CIATEJ: Guadalajara, México. ISBN 9-78607-974-2188.

34 

Villamil-Galindo, E.; Van-Velde, F. and Piagentini, A. 2021. Strawberry agro-industrial by-products as a source of bioactive compounds: effect of cultivar on the phenolic profile and the antioxidant capacity. Bioresources and Bioprocessing. 8(1):61. https://doi.org/10.1186/s40643-021-00416-z.

35 

Yakhin, O.; Lubyanov, A.; Yakhin, I.; Brown, P. and Pascale, S. 2017. Biostimulants in plant science : a global perspective. Frontiers in Plant Science . 7:2049. https://doi.org/10.3389/fpls.2016.02049.