https://doi.org/10.29312/remexca.v16i30.4055

elocation-id: e4055

Cerón-Rodríguez, Díaz-Elizondo, Enríquez-Medrano, Saade-Caballero, Benavides-Mendoza, and Medrano-Macías: Lignina extraída de cáscara de nuez y su uso como bioestimulante en plantas

Journal Metadata

Journal Identifier: remexca [journal-id-type=publisher-id]

Journal Title Group

Journal Title (Full): Revista mexicana de ciencias agrícolas

Abbreviated Journal Title: Rev. Mex. Cienc. Agríc [abbrev-type=publisher]

ISSN: 2007-0934 [pub-type=ppub]

Publisher

Publisher’s Name: Instituto Nacional de Investigaciones Forestales, Agrícolas y Pecuarias

Article Metadata

Article Identifier: 10.29312/remexca.v16i30.4055 [pub-id-type=doi]

Article Identifier: 00018 [pub-id-type=other]

Article Grouping Data

Subject Group [subj-group-type=heading]

Subject Grouping Name: Ensayos

Title Group

Article Title: Lignina extraída de cáscara de nuez y su uso como bioestimulante en plantas

Contributor Group

Contributor [contrib-type=author]

Name of Person [name-style=western]

Surname: Cerón-Rodríguez

Given (First) Names: Gabriel

X (cross) Reference [ref-type=aff; rid=aff1]

Superscript: 1

Contributor [contrib-type=author]

Name of Person [name-style=western]

Surname: Díaz-Elizondo

Given (First) Names: José Alejandro

X (cross) Reference [ref-type=aff; rid=aff2]

Superscript: 2

Contributor [contrib-type=author]

Name of Person [name-style=western]

Surname: Enríquez-Medrano

Given (First) Names: Francisco Javier

X (cross) Reference [ref-type=aff; rid=aff2]

Superscript: 2

Contributor [contrib-type=author]

Name of Person [name-style=western]

Surname: Saade-Caballero

Given (First) Names: Hened

X (cross) Reference [ref-type=aff; rid=aff2]

Superscript: 2

Contributor [contrib-type=author]

Name of Person [name-style=western]

Surname: Benavides-Mendoza

Given (First) Names: Adalberto

X (cross) Reference [ref-type=aff; rid=aff1]

Superscript: 1

Contributor [contrib-type=author]

Name of Person [name-style=western]

Surname: Medrano-Macías

Given (First) Names: Julia

X (cross) Reference [ref-type=aff; rid=aff1]

Superscript: 1

X (cross) Reference [ref-type=corresp; rid=c1]

Superscript: §

Affiliation [id=aff1]

Label (of an Equation, Figure, Reference, etc.): 1

Institution Name: in an Address: Departamento de Horticultura-Universidad Autónoma Agraria Antonio Narro. Calzada Antonio Narro 1923, Col. Buenavista, Saltillo, México. CP. 25315. [content-type=original]

Institution Name: in an Address: Universidad Autónoma Agraria Antonio Narro [content-type=normalized]

Institution Name: in an Address: Departamento de Horticultura [content-type=orgdiv1]

Institution Name: in an Address: Universidad Autónoma Agraria Antonio Narro [content-type=orgname]

Address Line

State or Province: Saltillo

Postal Code: 25315

Country: in an Address: Mexico [country=MX]

Affiliation [id=aff2]

Label (of an Equation, Figure, Reference, etc.): 2

Institution Name: in an Address: Centro de Investigación en Química Aplicada. Blvd. Enrique Reyna 140, Col. San José de los Cerritos, Saltillo, México. CP. 25294. [content-type=original]

Institution Name: in an Address: Centro de Investigación en Química Aplicada [content-type=orgname]

Address Line

City: Saltillo

Postal Code: 25294

Country: in an Address: México [country=MX]

Author Note Group

Correspondence Information: [§] Autor para correspondencia: julia.medrano@uaaan.edu.mx. [id=c1]

Publication Date [date-type=pub; publication-format=electronic]

Day: 15

Month: 10

Year: 2025

Publication Date [date-type=collection; publication-format=electronic]

Season: Sep-Oct

Year: 2025

Volume Number: 16

Issue Number: esp30

Electronic Location Identifier: e4055

History: Document History

Date [date-type=received]

Day: 00

Month: 07

Year: 2025

Date [date-type=accepted]

Day: 00

Month: 09

Year: 2025

Permissions

License Information [license-type=open-access; xlink:href=https://creativecommons.org/licenses/by-nc/4.0/; xml:lang=es]

Este es un artículo publicado en acceso abierto bajo una licencia Creative Commons

Abstract

Title: Resumen

El constante aumento de la población mundial representa un gran desafío para el sector agrícola, ya que se tiene la necesidad de encontrar soluciones eficientes y no contaminantes que permitan elevar la producción de los alimentos vegetales en cantidad y calidad, con menos insumos, así como lidiar con la gran cantidad de desechos producidos. Una alternativa empleada, ha sido el uso de bioestimulantes del metabolismo vegetal, los cuales mejoran el crecimiento y rendimiento vegetal e incrementan la tolerancia al estrés biótico y abiótico. La lignina y sus derivados (oligómeros, monolignoles, lignosulfonatos, amonio-lignosulfonatos, lignosulfonatos de calcio, etc.), son heteropolímeros aromáticos que constituyen el 40% de la pared celular vegetal y en años recientes han demostrado funcionar como bioestimulantes y acarreador de fertilizantes, evidenciando incremento en la biomasa, raíz y producción, debido a una potencialización en la tasa fotosintética y rutas metabólicas relacionadas con los carbohidratos. Una fuente de obtención de estos, pueden ser los desechos agrícolas, por ejemplo, las cáscaras de nuez, los cuales son agro residuos producidos a gran escala en el norte de México y hasta hoy, han sido pobremente aprovechados, el objetivo del manuscrito se enfocó en recopilar y analizar el estado del arte del uso de lignina a partir de los agroresiduos del cultivo de la nuez y su potencial uso como bioestimulante del metabolismo en plantas.

Keyword Group [xml:lang=es]

Title: Palabras clave

Keyword: agroresiduos

Keyword: cultivos

Keyword: enzimas

Keyword: lignina

Keyword: metabolitos

Keyword: síntesis

Counts

Figure Count [count=5]

Table Count [count=1]

Equation Count [count=0]

Reference Count [count=35]

Resumen

El constante aumento de la población mundial representa un gran desafío para el sector agrícola, ya que se tiene la necesidad de encontrar soluciones eficientes y no contaminantes que permitan elevar la producción de los alimentos vegetales en cantidad y calidad, con menos insumos, así como lidiar con la gran cantidad de desechos producidos. Una alternativa empleada, ha sido el uso de bioestimulantes del metabolismo vegetal, los cuales mejoran el crecimiento y rendimiento vegetal e incrementan la tolerancia al estrés biótico y abiótico. La lignina y sus derivados (oligómeros, monolignoles, lignosulfonatos, amonio-lignosulfonatos, lignosulfonatos de calcio, etc.), son heteropolímeros aromáticos que constituyen el 40% de la pared celular vegetal y en años recientes han demostrado funcionar como bioestimulantes y acarreador de fertilizantes, evidenciando incremento en la biomasa, raíz y producción, debido a una potencialización en la tasa fotosintética y rutas metabólicas relacionadas con los carbohidratos. Una fuente de obtención de estos, pueden ser los desechos agrícolas, por ejemplo, las cáscaras de nuez, los cuales son agro residuos producidos a gran escala en el norte de México y hasta hoy, han sido pobremente aprovechados, el objetivo del manuscrito se enfocó en recopilar y analizar el estado del arte del uso de lignina a partir de los agroresiduos del cultivo de la nuez y su potencial uso como bioestimulante del metabolismo en plantas.

Palabras clave

agroresiduos, cultivos, enzimas, lignina, metabolitos, síntesis.

El incremento en la población mundial y un constante cambio en las condiciones ambientales globales son dos de los principales retos de este siglo para lograr una adecuada producción de alimento vegetal (Shahrajabian et al., 2021). En este contexto, el uso de bioestimulantes en la agricultura ha sido una práctica cada vez más demandada para combatir estos problemas que impiden el desarrollo óptimo de los cultivos, así como lograr la reducción en el uso de insumos inorgánicos como fertilizantes y pesticidas. Adicionalmente, los bioestimulantes son considerados comercialmente muy atractivos, ya que las ganancias de este negocio sobrepasan los 2 billones de dólares de ventas anuales (Yakhin et al., 2017).

La lignina puede someterse a diversos procesos para generar productos de alto valor tales como: catalizadores, materiales carbonosos, hidrogeles, productos químicos y combustibles. Por otro lado, debido a su naturaleza fenólica y la presencia de diversos grupos funcionales, la lignina tiene el potencial de ser utilizada en la preparación de biocompuestos y materiales antioxidantes, los cuales son útiles en la agroindustria como aditivos, agentes de recubrimiento, absorbentes, estimuladores del crecimiento de plantas para la producción de alimentos, materiales de embalaje y fertilizantes (Eraghi Kazzaz et al., 2019).

Las publicaciones referentes a la lignina se centran principalmente en biorrefinería y bioenergía (Mahmud et al., 2023), por lo que existe una extensa literatura sobre el uso de lignina en estas áreas, lo cual no ocurre para aplicaciones agrícolas. A pesar de esta tendencia, algunos estudios han demostrado que la lignina y algunos derivados aumentan y mejoran la calidad en la producción de cultivos (Savy y Cozzolino, 2022).

La lignina es un heteropolímero aromático ramificado, formado aleatoriamente por unidades de fenilpropano. Los oligómeros de lignina virgen y químicamente modificada han llamado recientemente la atención de la comunidad científica debido a los resultados obtenidos tras su uso en la agronomía, donde estas macromoléculas han trabajado como portadoras y dispensadoras de elementos macro y micro esenciales; así como, con efectos benéficos directamente sobre el crecimiento, mayor tolerancia al estrés y aumento de la producción de diferentes cultivos (Campobenedetto et al., 2020).

Una gran ventaja del uso de la lignina como bioestimulante del metabolismo vegetal es que este compuesto constituye un 40% de la pared celular de las plantas y un porcentaje incluso mayor cuando se trata de materiales maderables y leñosos, por lo que fuentes importantes de este biopolímero podrían ser los distintos agroresiduos que generan los procesos productivos de alimentos y bebidas (Sánchez, 2009).

En el norte de México, un cultivo de gran significancia económica es la nuez, generando residuos que rondan el 40-50% del total de la producción (Ranum et al., 2014; Suárez-Jacobo et al., 2016). Los residuos de este cultivo representan una fuente de moléculas de interés comercial, como la lignina, hemicelulosa y compuestos fenólicos, los cuales puede ser aprovechada para la mejora en la producción de hortalizas y al mismo tiempo reducir el volumen de estos desechos o residuos.

Esta revisión se centró en promover y visualizar el aprovechamiento de los agroresiduos de la nuez como materia prima para la obtención de lignina, explorando su potencial como bioestimulante del metabolismo vegetal. Además, se abordan las principales metodologías para extraer este biopolímero de manera eficiente de las fuentes mencionadas.

Panorama general de los bioestimulantes

La definición de bioestimulante es muy amplia; sin embargo, estos pueden ser considerados de origen natural, mejoran el crecimiento y producción de las plantas, así como la promoción en la tolerancia al estrés (Drobek et al., 2019). En la actualidad, la clasificación de los bioestimulantes está basada principalmente en su origen, en sus componentes principales o en su modo de acción (Dipak Kumar y Aloke, 2020), por lo que no existe un consenso general.

Con base a lo que mencionan Shahrajabian et al. (2021) propusieron una clasificación simple y clara que es la siguiente: bioestimulantes de origen biológico y de origen físico o químico. Dentro del primer grupo, se subclasifican en microbiológicos y no-microbiológicos, los primeros incluyen a las micorrizas y las bacterias promotoras del crecimiento vegetal, mientras que los segundos incluyen los extractos de algas y plantas terrestres, sustancias húmicas y biopolímeros como el quitosano. En la Figura 1 se representa la clasificación descrita anteriormente.

Figura 1

Figura 1. Clasificación general de los bioestimulantes de acuerdo con Shahrajabian et al. (2021).

2007-0934-remexca-16-esp30-e4055-gf1.png

Principales características químicas de la lignina

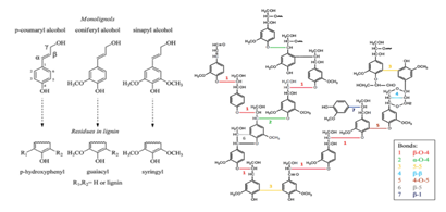
La lignina es un polímero amorfo compuesta por tres monómeros básicos; alcohol cumarílico, confierílico y sinapílico, sintetizados a partir de la ruta de los fenil propanoides, quienes respectivamente forman las unidades p-hidroxifenil (H), guayacil (G) y siringil (S). Este polímero está estructurado por la unión de estas unidades mediante enlaces éter principalmente ß-O-4, α-O-4, 5-5, ß-ß, 4-O-5, ß-5, ß-1 (Figura 2) (Maceda et al., 2021)

Figura 2

Figura 2. Ilustración de los componentes monoméricos de la lignina; así como, sus principales enlaces químicos llevados a cabo entre estos. Imagen tomada de Ruwoldt (2020).

2007-0934-remexca-16-esp30-e4055-gf2.png

Se há estimado que la masa molecular oscila entre 1 000-20 000 g mol-1 y dependiendo del balance de las unidades del polímero, se determina la rigidez de la pared; por ejemplo, se ha encontrado en la madera suave una mayor proporción de guayacil y en la madera dura menos guayacil y más siringil (Florian et al., 2019)

Los grupos funcionales de las unidades de la lignina con mayor reactividad son los hidroxilos alifáticos y aromáticos, los metoxi y etoxi; es decir, grupos polioles que son ampliamente reactivos. La presencia de estos grupos permitiría efectuar principalmente reacciones de sustitución electrofílica empelando una amplia variedad de compuestos con carácter electrófilo para ser estos incorporados al anillo aromático, sustituyendo a un átomo de hidrógeno. Debido a la alta concentración de grupos reactivos en la lignina, es que ha tenido un gran número de aplicaciones, como en la construcción, farmacéutica, etcétera (Chio et al., 2019).

Uso de la lignina y sus derivados en la agricultura: una nueva alternativa de bioestimulante vegetal

En años recientes, el uso de la lignina se ha expandido al campo de la agronomía, en donde se ha empleado para mejorar la producción del alimento vegetal. Se ha demostrado su función como liberador controlado de fertilizantes, recubierta de urea, mejorador de suelo y regulador de crecimiento. En este sentido, Ahmad et al. (2021) realizaron una amplia revisión literaria de lo reportado hasta entonces, en lo concerniente a la aplicación de la lignina en la agricultura, mostrando un amplio panorama de todos sus beneficios.

Otra reciente y muy completa revisión del impacto de la aplicación de la lignina y derivados de estas plantas, fue realizada por Savy y Cozzolino (2022), quienes exponen que estas macromoléculas no solo puede funcionar como acarreador de macro y micro nutrientes, sino como un potente bioestimulante del metabolismo vegetal; en donde, además de lograr un incremento en la tasa del crecimiento, también es posible incrementar el metabolismo redox y hacer frente a condiciones de estrés oxidativo.

Los beneficios sobre el crecimiento, desarrollo y defensa de las plantas tras la aplicación de lignina, oligómeros de lignina o lignosulfonatos acomplejados con iones como Ca o Na, no está plenamente esclarecidos; sin embargo, en un estudio realizado por Kok et al. (2021) sobre el impacto en la proteómica y bioquímica, encontraron un incremento en la clorofila, aunado a una mayor actividad de la enzima Rubisco, así como un incremento en la concentración de azúcares totales y proteínas, tales como el PS11, CP47, CP43, D1 y D2.

Lo cual explicó parte de los efectos fenotípicos. También encontraron una reducción en la peroxidación de las membranas, por lo que se deduce una reducción de las especies reactivas de oxígeno o ROS (Kok et al., 2021). Adicionalmente a lo mencionado, también se ha sugerido que fracciones de la lignina pueden mimetizar a reguladores de crecimiento como a las auxinas y giberelinas, dependiendo del balance de la composición monomérica del biopolímero.

Por ejemplo, el efecto relacionado con las auxinas fue atribuido a presencia de ácido gálico, protecatéico y fenilacético. Mientras que el giberélico a ácido hidroxibenzóico, vaníllico y sinigrílico. Este hallazgo fue observado en plantas de maíz, con un crecimiento y producción incrementados (Savy et al., 2016).

Otro posible mecanismo de acción de la lignina, tras la aplicación exógena en plantas, ha sido atribuido a la reactividad de los compuestos fenólicos, así como a toda la gama de grupos funcionales presentes en los monómeros como etoxi, metoxi, carboxi e hidroxi (Díaz-Elizondo et al., 2024), los cuales mediante el intercambio electrónico, provocan alteraciones en las membranas celulares, lo que desencadena una serie de efectos fisiológicos como la mejora en el manejo del agua por parte de la planta, una mayor eficiencia en la apertura y cierre de estomas, así como un aumento en las tasas de fotosíntesis y respiración.

Además, interactúan con distintas fitohormonas y enzimas, modificando la biosíntesis y redirigiendo el flujo de carbono hacia la formación de otros metabolitos (Ertani et al., 2011). La forma y concentración de aplicación de la lignina ha sido muy diversa, pero en el presente trabajo de revisión se ha decidido recomendar cinco distintas, como se indica en el Cuadro 1.

Cuadro 1

Cuadro 1. Formas y concentraciones de aplicación de la lignina en cultivos.

Forma de la lignina Concentración Resultado Referencia
Lignina extraída de cáscaras de nuez aplicada vía foliar 10-100 mg L-1 Mejora en el crecimiento de plántulas de tomate Díaz-Elizondo et al. (2024)
Lignina extraída de árboles urbanos y forestales aplicada directamente al suelo 5-20 kg ha-1 Incremento en la biomasa radicular e incremento en la actividad de la enzima deshidrogenasa Gebremikael et al. (2020)
Lignosulfonatos de calcio o sodio aplicados por imbibición de semillas 100-400 mg L-1 Incremento de biomasa y proteínas relacionadas con la fotosíntesis. Kok et al. (2021)
Lignina aplicada a la solución nutritiva 1-100 mg L-1 C orgánico Con 10 y 50 mg L-1 incremento de largo de radícula, raíces laterales y coleóptilos de las plántulas de maíz. Savy et al. (2016)
Lignosulfonatos aplicados por goteo sobre las semillas de soya 4.2% C orgánico proveniente de lignosulfonatos Incremento en área, perímetro, largo y anche de plántulas, modulación en 879 genes involucrados en ensamblaje ribosomal Campobenedetto et al. (2020)

Agroresiduos

Los agroresiduos son definidos como el desecho producido por cualquier actividad agronómica, estos pueden ser desde tallos de plantas, hojas, cáscaras, raíces, bagazos, entre otros (Lim y Matu, 2015). Y dado a que en las últimas décadas el crecimiento poblacional ha sido exponencial, la producción de alimentos ha seguido esta misma tendencia, teniendo como consecuencia una acumulación de agroresiduos sin precedentes y por lo general, estos no son descartados de manera adecuada, sumándose al incremento de la contaminación ambiental.

Por lo anteriormente mencionado, es de suma importancia buscar alternativas eficientes de reutilización y buen manejo de este tipo de residuos. Una alternativa de aprovechamiento de algunos agroresiduos, es aplicarlo directamente a los cultivos para ayudar a mejorar la calidad de los productos vegetales e influir en las funciones fisiológicas de la planta; es decir, que actúen como bioestimulantes (Ertani et al., 2017)

De manera general, los agroresiduos son potenciales fuentes de compuestos bioactivos; tanto metabolitos primarios como proteínas, carbohidratos y lípidos, como metabolitos secundarios, tales como antioxidantes, compuestos fenólicos, y otras moléculas con poder reductor (Villamil-Galindo et al., 2021). Ahora bien, de la inmensa variedad de agroresiduos que existen alrededor del mundo, uno de los más importantes encontrados en la región norte de México, con interés comercial y bioquímico, son los obtenidos de la nuez, debido a los grandes volúmenes que anualmente son producido en México (Carrillo-Nieves et al., 2019).

Además de lo anteriormente citado, la rica composición química de los residuos de la nuez que le otorga las cualidades necesarias para convertirse en modelo idóneo de estudio para la obtención de moléculas aprovechables con un alto valor agregado (Chen et al., 2024).

Residuos agroindustriales de la nuez

El nogal pecanero [Carya illinoinensis (Wangenh) C. Koch.] es originario del sur de Estados Unidos de América y norte de México, por lo que debido a esta adaptabilidad climática y edafológica estos dos países son los principales productores de la nuez pecanera en el mundo (Orona et al., 2013). En México, los estados donde se lleva a cabo la mayor producción son Chihuahua, Coahuila, Durango y Sonora.

En los últimos 15 años la superficie sembrada ha incrementado un 80% llegando actualmente a las 146 000 ha (Figura 3). Al incrementarse 2.8 veces el área sembrada en el país, se incrementó 3.7 veces la producción, llegando a cosechar más de 135 000 toneladas en 2021, de acuerdo con la información proporcionada por el anuario estadístico de la producción agrícola, del Servicio de Información Agroalimentaria y Pesquera (SIAP) (Figura 4).

Figura 3

Figura 3. Comportamiento del área sembrada con nogal pecanero en los estados donde mayor producción se tiene en el periodo comprendido entre 1985 y 2015.

2007-0934-remexca-16-esp30-e4055-gf3.jpg

Figura 4

Figura 4. Producción de nuez pecanera en los principales estados productores de nuez en el año 2021.

2007-0934-remexca-16-esp30-e4055-gf4.png

Sin embargo, este cultivo genera una elevada cantidad de residuos desde desechos leñosos de las distintas podas, restos del pericarpio llamados rueznos y la cáscara, la cual representa entre un 40 y 50% del peso total del fruto producido (Hilbig et al., 2018). Con base en los datos previamente mostrados, se afirma que los residuos de la nuez pueden llegar a ser una materia prima muy valiosa con aplicaciones ya reportadas en las industrias farmacéutica, alimentaria, cosmética, materiales decorativos, entre otras; sin embargo, su aprovechamiento o uso en temas agronómicos aún no ha sido profundamente investigado (Magallanes, 2020).

Características químicas de la cáscara de nuez

La cáscara de nuez es un material lignocelulósico, que consiste en fibra cruda y polisacáridos que le confieren rigidez. Sus principales componentes estructurales reportados son: 1) holocelulosa; en un intervalo reportado entre 45 y 50% (Prado et al., 2013), la cual es una mezcla de polímeros, básicamente de celulosa y hemicelulosa (penstosas, hexosas y ácidos urónicos) y 2) lignina reportada entre un 18 y 35% (de Prá-Andrade et al., 2021).

En un estudio reciente de caracterización de la cáscara de nuez mexicana de las variedades ‘Wichita’ y ‘Western’ se encontró que están constituidas por más del 90% del peso total de la biomasa por fibra, en donde se evidenció un 57% de lignina ácida insoluble y 39% de holocelulosa. La lignina identificada por microscopía formaba partículas de morfología irregular, esto debido a la variabilidad en sus alcoholes precursores, lo que le confiere una gran estabilidad térmica, así como reducción de radicales libres.

En esta investigación, los autores establecieron un gran potencial de uso de estas macromoléculas como agregados en materiales compositos (Agustin-Salazar et al., 2018). En otro trabajo similar, también se reportó un contenido de cenizas de 0.93 a 2.49% (Loredo-Medrano et al., 2016) y un 12.6% de extractivos, los cuáles se refiere a compuestos de bajo peso molecular.

Al respecto De la Rosa et al. (2011) encontraron posterior a una extracción hidroalcohólica un rango de entre 12 a 16% de compuestos fenólicos totales, siendo el ácido elágico el compuesto más abundante (4.6 a 5.5 mg kg-1), seguido por el ácido gálico (0.19 a 0.25 mg kg-1) y el ácido protocatéquico (0.01 a 0.03 mg kg-1). En una más reciente investigación, Moccia y colaboradores (2020) incluyeron a los siguientes polifenoles dentro de la caracterización química que realizaron a la cáscara de nuez: catequina, epicatequina y galocatequína.

Métodos generales de obtención de lignina a partir de agroresiduos

Con el fin de aprovechar y dar un valor agregado a los agroresiduos de la nuez, se han desarrollado técnicas innovadoras para la obtención de la lignina de su cáscara, como se muestra en la Figura 5, divididas en cuatro principales grupos: medios físicos, térmicos, biológicos y químicos (Olivas Tarango et al., 2019).

Figura 5

Figura 5. Esquematización de las principales técnicas reportadas para la obtención de lignina y sus derivados.

2007-0934-remexca-16-esp30-e4055-gf5.png

Conclusiones

La revisión del estado del arte amplió la visión sobre el aprovechamiento de agroresiduos, enfocándose en uno producido mayormente en el norte de México: la cáscara de nuez. Estas poseen moléculas como la lignina, hemicelulosa y compuestos fenólicos, los cuales son prometedores como bioestimulantes del metabolismo vegetal.

Se da una idea general de obtención y un potencial uso en la mejora de producción de cultivos. Se da una idea general de cómo obtenerla y aplicarla en plantas. De este modo, se trata de hacer frente a dos grandes problemáticas actuales, reducir la acumulación de agroresiduos mediante el aprovechamiento e incremento a la tolerancia al estrés en cultivos.

Bibliografía

1 

Agustin-Salazar, S.; Cerruti, P.; Medina-Juárez, L.; Scarinzi, G.; Malinconico, M. Soto-Valdez, H. and Gamez-Meza, N. 2018. Lignin and holocellulose from pecan nutshell as reinforcing fillers in poly (lactic acid) biocomposites. International Journal of Biological Macromolecules. 115:727-736. https://doi.org/10.1016/j.ijbiomac.2018.04.120.

2 

Ahmad, U.; Ji, N.; Li, H.; Wu, Q.; Song, C.; Liu, Q.; Ma, D. and Lu, X. 2021. Can lignin be transformed into agrochemicals? Recent advances in the agricultural applications of lignin. Industrial Crops and Products. 170. https://doi.org/10.1016/j.indcrop.2021.113646.

3 

Campobenedetto, C.; Grange, E.; Mannino, G.; Van-Arkel, J.; Beekwilder, J.; Karlova, R.; Garabello, C.; Contartese, V. and Bertea, C. 2020. A biostimulant seed treatment improved heat stress tolerance during cucumber seed germination by acting on the antioxidant system and glyoxylate cycle. Frontiers in Plant Science. 11:1-12. https://doi.org/10.3389/fpls.2020.00836.

4 

Carrillo-Nieves, D.; Rostro-Alanís, M.; Cruz-Quiroz, R.; Ruiz, H.; Iqbal, H. and Parra-Saldívar, R. 2019. Current status and future trends of bioethanol production from agro-industrial wastes in Mexico. Renewable and Sustainable Energy Reviews.102:63-74. https://doi.org/10.1016/j.rser.2018.11.031.

5 

Chen, X.; Moiser,N. and Ladisch, M. 2024. Valorization of lignin from aqueous-based lignocellulosic biorefineries. Trends in biotechnology. 42(11):1348-1362. https://doi.org/10.1016/j.tibtech.2024.07.004.

6 

Chio, C.; Sain, M. and Qin, W. 2019. Lignin utilization: a review of lignin depolymerization from various aspects. Renewable and Sustainable Energy Reviews. 107:232-249. https://doi.org/10.1016/j.rser.2019.03.008.

7 

De La Rosa, L.; Alvarez-Parrilla, E. and Shahidi, F. 2011. Phenolic compounds and antioxidant activity of kernels and shells of Mexican pecan (Carya illinoinensis). Journal of Agricultural and Food Chemistry. 59(1):152-162. https://doi.org/10.1021/jf1034306

8 

De Prá-Andrade, M.; Piazza, D. and Poletto, M. 2021. Pecan nutshell: morphological, chemical and thermal characterization. Journal of Materials Research and Technology. 13:2229-2238. https://doi.org/10.1016/j.jmrt.2021.05.106.

9 

Díaz-Elizondo, J.; Ayala-Velazco, A.; Benavides-Mendoza, A.; Enriquez-Medrano, F. and Medrano-Macías, J. 2024. Obtaining lignin from nutshells under mild extraction conditions and its use as a biostimulant in tomato seedlings. Horticulturae. 10(10):1079. https://doi.org/10.3390/horticulturae10101079.

10 

Dipak-Kumar, H. and Aloke, P. 2020. Role of biostimulant formulations in crop Production: an overview. International Journal of Agricultural Sciences and Veterinary Medicine. 8(2):38-46.

11 

Drobek, M.; Frąc, M. and Cybulska, J. 2019. Plant biostimulants: importance of the quality and yield of horticultural crops and the improvement of plant tolerance to abiotic stress-a review. Agronomy. 9(6). https://doi.org/10.3390/agronomy9060335.

12 

Eraghi Kazzaz, A.; Hosseinpour-Feizi, Z. and Fatehi, P. 2019. Grafting strategies for hydroxy groups of lignin for producing materials. Green Chemistry. 21(21):5714-5752. https://doi.org/10.1039/c9gc02598g.

13 

Ertani, A.; Francioso, O.; Tugnoli, V.; Righi, V. and Nardi, S. 2011. Effect of commercial lignosulfonate-humate on Zea mays L. metabolism. Journal of Agricultural and Food Chemistry . 59(22):11940-11948. https://doi.org/10.1021/jf202473e.

14 

Florian, T.; Villani, N. Aguedo, M.; Jacquet, N.; Thomas, H. G.; Gerin, P.; Magali, D. and Richel, A. 2019. Chemical composition analysis and structural features of banana rachis lignin extracted by two organosolv methods. Industrial Crops and Products . 132:269-274. https://doi.org/10.1016/j.indcrop.2019.02.022.

15 

Gebremikael, M.; Vandendaele, R.; Alarcon, M.; Torregrosa, R. and Neve, S. 2020. The efect of lignin application on plant growth and soil biological quality, EGU General Assembly. EGU2020-19535. https://doi.org/10.5194/egusphere-egu2020-19535.

16 

Hilbig, J.; Alves, V.; Müller, C.; Micke, G.; Vitali, L.; Pedrosa, R. and Block, J. 2018. Ultrasonic-assisted extraction combined with sample preparation and analysis using LC-ESI-MS/MS allowed the identification of 24 new phenolic compounds in pecan nut shell [Carya illinoinensis (Wangenh) C. Koch] extracts. Food Research International.106(2017):549-557. https://doi.org/10.1016/j.foodres.2018.01.010.

17 

Kok, A.; Wan Abdullah, W.; Tang, C.; Low, L.; Yuswan, M.; Ong-Abdullah, J.; Tan, N. and Lai, K. 2021. Sodium lignosulfonate improves shoot growth of Oryza sativa via enhancement of photosynthetic activity and reduced accumulation of reactive oxygen species. Scientific Reports. 11(1):1-13. https://doi.org/10.1038/s41598-021-92401-x.

18 

Lim, S. and Matu, S. 2015. Utilization of agro wastes to produce biofertilizer. International Journal of Energy and Environmental Engineering. 6(1):31-35. https://doi.org/10.1007/s40095-014-0147-8.

19 

Loredo-Medrano, J.; Bustos-Martínez, D.; Rivera-Rosa, J.; Carrillo-Pedraza, E.; Flores-Escamilla, G. and Ciuta, S. 2016. Particle pyrolysis modeling and thermal characterization of pecan nutshell. Journal of Thermal Analysis and Calorimetry. 126(2):969-979. https://doi.org/10.1007/s10973-016-5541-4.

20 

Maceda, A.; Soto-Herández, M.; Peña-Valdivia, C.; Trejo, C. y Terrazas, T. 2021. Lignina: composición, síntesis y evolución. Madera y Bosque. 27(2):e2722137. Doi: 10.21829/myb.2021.2722137.

21 

Magallanes, H.; Landeros, C. y Villegas, H. 2020. Desarrollo tecnológico para la optimización de la extracción de nuez pecanera. Revista Mexicana de Ciencias Agrícolas. 11(5):1111-1121. https://doi.org/10.29312/remexca.v11i5.2300.

22 

Mahmud, M.; Shamim-Hasan, M.; Islam-Sardar, M.; Adnan-Shafin, A.; Sohanur-Rahman, M.; Mosaddek-Hossen, M.; Md-Hasan, C.; Islam-Sardar, M.; Adnan-Shafin, A.; Rahman, M. and Hossen, M. 2023. Brief review on applications of lignin. Journal of chemical review. 5(1):56-82. https://doi.org/10.22034/JCR.2023.359861.1186.

23 

Moccia, F.; Agustin-Salazar, S.; Berg, A.; Setaro, B.; Micillo, R.; Pizzo, E.; Weber, F.; Gamez-Meza, N.; Schieber, A.; Cerruti, P.; Panzella, L. and Napolitano, A. 2020. Pecan (Carya illinoinensis (Wagenh.) K. Koch) nut shell as an accessible polyphenol source for active packaging and food colorant stabilization. ACS Sustainable Chemistry and Engineering. 8(17):6700-6712. https://doi.org/10.1021/acssuschemeng.0c00356.

24 

Olivas-Tarango, A.; Rodríguez-Peña, C.; Cabrera-Álvarez, E.; Obregón-Solís, E.; Longoria-Garza, G.; García-Fajardo, J.; Flores-Montaño, J.; Morales-Landa, J.; Reyes-Vázquez, N.; Santos-Moreno, O. and Tarango-Rivero, S. 2019. Agronomía sustentable y aprovechamiento alternativo de la nuez. https://ciatej.repositorioinstitucional.mx/jspui/bitstream/1023/671/1/libronueznoreste.pdf?fbclid=iwar0d1mzqfj-nbffi8hk9rw586e7v9fbdsumxy0t-teh7mi-3-j8-vlnvzce.

25 

Orona, I.; Sangerman, D.; Fortis, M.; Vázquez, C. and Gallegos, M. 2013. Producción y comercialización de nuez pecanera (Carya illinoensis Koch) en el norte de Coahuila, México. Revista Mexicana de Ciencias Agricolas. 4(3):461-476.

26 

Prado, A.; Manion, B.; Seetharaman, K.; Deschamps, F.; Barrera Arellano, D. and Block, J. 2013. Relationship between antioxidant properties and chemical composition of the oil and the shell of pecan nuts [Carya illinoensis (Wangenh) C. Koch]. Industrial Crops and Products . 45:64-73. https://doi.org/10.1016/j.indcrop.2012.11.042.

27 

Ranum, P.; Peña-Rosas, J. and Garcia-Casal, M. 2014. Global maize production, utilization, and consumption. Annals of the New York Academy of Sciences. 1(13-12):105-112. https://doi.org/10.1111/nyas.12396.

28 

Ruwoldt, J. 2020. A critical review of the physicochemical properties of lignosulfonates: chemical structure and behavior in aqueous solution, at surfaces and interfaces. Surfaces. 3(4):622-648. https://doi.org/10.3390/surfaces3040042.

29 

Sánchez, C. 2009. Lignocellulosic residues: biodegradation and bioconversion by fungi. Biotechnology Advances, 27(2):185-194. https://doi.org/10.1016/j.biotechadv.2008.11.001.

30 

Savy, D. and Cozzolino, V. 2022. Novel fertilising products from lignin and its derivatives to enhance plant development and increase the sustainability of crop production. Journal of Cleaner Production. 366:132832. https://doi.org/10.1016/j.jclepro.2022.132832.

31 

Savy, D.; Cozzolino, V.; Nebbioso, A.; Drosos, M.; Nuzzo, A.; Mazzei, P. and Piccolo, A. 2016. Humic-like bioactivity on emergence and early growth of maize (Zea mays L.) of water-soluble lignins isolated from biomass for energy. Plant and Soil. 402(1-2):221-233. https://doi.org/10.1007/s11104-015-2780-2.

32 

Shahrajabian, M.; Chaski, C.; Polyzos, N. and Petropoulos, S. A. 2021. Biostimulants application: a low input cropping management tool for sustainable farming of vegetables. Biomolecules. 11(6):1-18. https://doi.org/10.3390/biom11050698.

33 

Suárez-Jacobo, A.; Obregon, E.; Urzua, E. and García-Fajardo, J. 2016. Retos y oportunidades para el aprovechamiento de la nuez pecanera en México. CIATEJ: Guadalajara, México. ISBN 9-78607-974-2188.

34 

Villamil-Galindo, E.; Van-Velde, F. and Piagentini, A. 2021. Strawberry agro-industrial by-products as a source of bioactive compounds: effect of cultivar on the phenolic profile and the antioxidant capacity. Bioresources and Bioprocessing. 8(1):61. https://doi.org/10.1186/s40643-021-00416-z.

35 

Yakhin, O.; Lubyanov, A.; Yakhin, I.; Brown, P. and Pascale, S. 2017. Biostimulants in plant science : a global perspective. Frontiers in Plant Science . 7:2049. https://doi.org/10.3389/fpls.2016.02049.