https://doi.org/10.29312/remexca.v16i30.4045

elocation-id: e4045

Mendoza-Hernández, García-López, García-Mendoza, Dávila-Mendoza, and León-Martínez: Influence of meteorological variables on PM2.5 concentration in Saltillo

Journal Metadata

Journal Identifier: remexca [journal-id-type=publisher-id]

Journal Title Group

Journal Title (Full): Revista mexicana de ciencias agrícolas

Abbreviated Journal Title: Rev. Mex. Cienc. Agríc [abbrev-type=publisher]

ISSN: 2007-0934 [pub-type=ppub]

Publisher

Publisher’s Name: Instituto Nacional de Investigaciones Forestales, Agrícolas y Pecuarias

Article Metadata

Article Identifier: 10.29312/remexca.v16i30.4045 [pub-id-type=doi]

Article Identifier: 00008 [pub-id-type=other]

Article Grouping Data

Subject Group [subj-group-type=heading]

Subject Grouping Name: Articles

Title Group

Article Title: Influence of meteorological variables on PM2.5 concentration in Saltillo

Contributor Group

Contributor [contrib-type=author]

Name of Person [name-style=western]

Surname: Mendoza-Hernández

Given (First) Names: Juana María

X (cross) Reference [ref-type=aff; rid=aff1]

Superscript: 1

Contributor [contrib-type=author]

Name of Person [name-style=western]

Surname: García-López

Given (First) Names: Josué Israel

X (cross) Reference [ref-type=aff; rid=aff2]

Superscript: 2

Contributor [contrib-type=author]

Name of Person [name-style=western]

Surname: García-Mendoza

Given (First) Names: Silvia Giromi

X (cross) Reference [ref-type=aff; rid=aff1]

Superscript: 1

Contributor [contrib-type=author]

Name of Person [name-style=western]

Surname: Dávila-Mendoza

Given (First) Names: Alberto Jorge

X (cross) Reference [ref-type=aff; rid=aff1]

Superscript: 1

Contributor [contrib-type=author]

Name of Person [name-style=western]

Surname: León-Martínez

Given (First) Names: Patricia Adriana de

X (cross) Reference [ref-type=aff; rid=aff1]

Superscript: 1

X (cross) Reference [ref-type=corresp; rid=c1]

Superscript: §

Affiliation [id=aff1]

Label (of an Equation, Figure, Reference, etc.): 1

Institution Name: in an Address: Departamento de Agrometeorología-Universidad Autónoma Agraria Antonio Narro. Calz. Antonio Narro 1923, Buenavista, Saltillo, Coahuila, México. CP. 25315. Tel. 844 4110200, ext. 1903 y 1904. (snowind2004@gmail.com; garmen-76@hotmail.com; ajdm.1289@gmail.com). [content-type=original]

Institution Name: in an Address: Universidad Autónoma Agraria Antonio Narro [content-type=normalized]

Institution Name: in an Address: Departamento de Agrometeorología [content-type=orgdiv1]

Institution Name: in an Address: Universidad Autónoma Agraria Antonio Narro [content-type=orgname]

Address Line

City: Saltillo

State or Province: Coahuila

Postal Code: 25315

Country: in an Address: Mexico [country=MX]

Email Address: snowind2004@gmail.com

Email Address: garmen-76@hotmail.com

Email Address: ajdm.1289@gmail.com

Affiliation [id=aff2]

Label (of an Equation, Figure, Reference, etc.): 2

Institution Name: in an Address: Departamento de Fitomejoramiento-Universidad Autónoma Agraria Antonio Narro. Calz. Antonio Narro 1923, Buenavista, Saltillo, Coahuila, México. CP. 25315. Tel. 844 4110200, ext. 2623. (g.lopezj90@gmail.com). [content-type=original]

Institution Name: in an Address: Universidad Autónoma Agraria Antonio Narro [content-type=normalized]

Institution Name: in an Address: Departamento de Fitomejoramiento [content-type=orgdiv1]

Institution Name: in an Address: Universidad Autónoma Agraria Antonio Narro [content-type=orgname]

Address Line

City: Saltillo

State or Province: Coahuila

Postal Code: 25315

Country: in an Address: Mexico [country=MX]

Email Address: g.lopezj90@gmail.com

Author Note Group

Correspondence Information: [§] Autora para correspondencia: patricia.a-deleon-m@uaaan.edu.mx. [id=c1]

Publication Date [date-type=pub; publication-format=electronic]

Day: 15

Month: 10

Year: 2025

Publication Date [date-type=collection; publication-format=electronic]

Season: Sep-Oct

Year: 2025

Volume Number: 16

Issue Number: esp30

Electronic Location Identifier: e4045

History: Document History

Date [date-type=received]

Day: 00

Month: 04

Year: 2025

Date [date-type=accepted]

Day: 00

Month: 06

Year: 2025

Permissions

License Information [license-type=open-access; xlink:href=https://creativecommons.org/licenses/by-nc/4.0/; xml:lang=es]

Este es un artículo publicado en acceso abierto bajo una licencia Creative Commons

Abstract

Title: Abstract

The present work studied the relationship of meteorological conditions with the concentration of particulate matter with a diameter equal to or less than 2.5 μm (PM2.5) in the city of Saltillo, Coahuila, intending to identify the areas and times with the highest levels of pollution. Data on temperature, wind speed, relative humidity, solar radiation, and atmospheric pressure, as well as the daily concentration of PM2.5 particles, were collected through a network of ten air quality monitoring sensors and two atmospheric observatories, distributed throughout the city, during 2024. First, the data from the sensor network were analyzed, revealing that the Pearson coefficient showed a high or moderate correlation between the concentration recorded by the sensors, regardless of location, and that the West Zone presented the most days with low air quality. Subsequently, the data from the observatories were analyzed to relate meteorological conditions with daily average PM2.5 concentrations, and according to the behavior of PM2.5 per hour, it was found that meteorological factors do not present a significant relationship with PM2.5 concentration, when compared with the daily average; nevertheless, when the concentration throughout the day was observed, a relationship with atmospheric parameters was found.

Keyword Group [xml:lang=en]

Title: Keywords

Keyword: air quality

Keyword: boundary layer

Keyword: particulate matter

Keyword: pollution

Counts

Figure Count [count=6]

Table Count [count=2]

Equation Count [count=0]

Reference Count [count=21]

Abstract

The present work studied the relationship of meteorological conditions with the concentration of particulate matter with a diameter equal to or less than 2.5 μm (PM2.5) in the city of Saltillo, Coahuila, intending to identify the areas and times with the highest levels of pollution. Data on temperature, wind speed, relative humidity, solar radiation, and atmospheric pressure, as well as the daily concentration of PM2.5 particles, were collected through a network of ten air quality monitoring sensors and two atmospheric observatories, distributed throughout the city, during 2024. First, the data from the sensor network were analyzed, revealing that the Pearson coefficient showed a high or moderate correlation between the concentration recorded by the sensors, regardless of location, and that the West Zone presented the most days with low air quality. Subsequently, the data from the observatories were analyzed to relate meteorological conditions with daily average PM2.5 concentrations, and according to the behavior of PM2.5 per hour, it was found that meteorological factors do not present a significant relationship with PM2.5 concentration, when compared with the daily average; nevertheless, when the concentration throughout the day was observed, a relationship with atmospheric parameters was found.

Keywords

air quality, boundary layer, particulate matter, pollution.

Introduction

In recent years, rapid development has led to an increase in fuel consumption and deterioration of air quality in urban areas. Particulate matter (PM) is one of the most relevant pollutants due to its diverse composition, which includes metals, ions, minerals, organic compounds, soot, and microorganisms (Tai et al., 2010; Xu et al., 2015). In addition, it varies in size, shape and chemical, physical, and biological characteristics, giving it a significant impact on human health (Yadav et al., 2015).

PM is classified into three categories based on its size: coarse (PM10), fine (PM2.5), and ultrafine (PM1). PM10 can have both natural and anthropogenic origins and is mainly composed of materials from the Earth’s crust. On the other hand, finer particles, such as PM2.5 and PM1, come principally from combustion processes and the conversion of gases into particles within the atmosphere. Their main components include elemental and organic carbon, ammonium sulfate, nitrates and certain transition metals (Galindo et al., 2011; Al Jallad et al., 2013; Akinwumiju et al., 2021).

The danger of these particles is directly related to their size, as the finer ones can penetrate deep into the respiratory system and into the bloodstream (Galindo et al., 2011; West et al., 2016). Weather conditions play a key role in the ambient concentration of PM, influencing its dispersion, elimination, and chemical formation. Parameters such as wind speed, precipitation and solar radiation directly affect the levels of suspended particles (Akpinar et al., 2008; Galindo et al., 2011). Oguz et al. (2003) mention that, in general, air pollution concentrations are closely related to meteorological factors.

In cities such as Shanghai, it has been observed that, during periods of fog, daily PM concentrations increase significantly (Xu et al., 2020). Because of this, several studies in urban environments have analyzed the relationship between meteorological variables and PM levels. In Saltillo, Coahuila, rapid urbanization and industrialization have increased the problem of air quality.

In this context, understanding the influence of weather conditions on PM concentration is critical. The present research analyzed meteorological parameters (wind speed, temperature, relative humidity, solar radiation, and atmospheric pressure) and related them to the average and daily PM2.5 concentration for the city of Saltillo.

Materials and methods

Site description

The city of Saltillo is the capital of the state of Coahuila de Zaragoza, being the most populous municipality with 879 958 inhabitants. It is geographically located at the coordinates 25° 25’ 18” north latitude and 100° 59’ 59” west longitude, with an altitude of 1 600 m. The climate of Saltillo is semi-arid, semi-warm, with scarce rainfall all year round and very extreme (Mendoza, 2017).

The city is surrounded by hills, with the Sierra Madre Oriental to the east, which gives it the characteristic of being a valley; so thermal inversions are persistent, especially in autumn, winter and spring. It has nine industrial parks and together with the cities of Ramos Arizpe and Arteaga, it forms a large automotive cluster, which makes the metropolitan area exceed one million inhabitants and have a vehicle fleet of over 500 000 vehicles.

Data collection

In this study, data were collected from ten sensors of the monitoring network of the Municipal Planning Institute of Saltillo (IMPLAN, for its acronym in Spanish) during 2024. PM2.5 concentration levels were recorded using Purpleair Pa-Ii-Flex Air Quality Sensors, which allowed continuous monitoring with a temporal resolution of 2 min. The monitoring sites are distributed throughout the city, so the site was classified into five zones: north, south, center, east and west (Figure 1).

Figure 1

Figure 1. Location of air quality sensors.

2007-0934-remexca-16-esp30-e4045-gf7.png

Likewise, data on temperature, humidity, solar radiation, wind and atmospheric pressure were collected from the University Network of Atmospheric Observatories of the National Autonomous University of Mexico (UNAM), for its acronym in Spanish located at the Antonio Narro Agrarian University (UAAAN), for its acronym in Spanish and from the air quality monitoring system of the state of Coahuila de Zaragoza (ProAire) to correlate the sensor data. Data quality was assessed using the following tests: temporal consistency, internal consistency, data congruence in local segments, and range validation in daily data (Mendoza y Vázquez, 2017).

Data analysis

To group and evaluate air quality information, daily and monthly averages were calculated, generating time series to observe the behavior and trend of particle concentration. The spatial characteristics of PM2.5 concentrations were evaluated using Pearson’s correlation coefficient, to analyze the association between pairs of sampling sites, that is, to determine how similar the concentrations of particles are between different sites in the same period.

A linear regression of continuous variables was performed with a significance level of 0.05 to determine which meteorological parameters influence the air quality of the area. The results were classified according to the air and health index scale (NOM-172-SEMARNAT-2019). The categories assigned were as follows: good when the PM2.5 concentration is within 0-25 μg m-3, acceptable within 25-45 μg m-3 and poor when the concentration is above 45 μg m-3 (Table 1).

Table 1

Table 1. Air quality flagging.

Air and health index Level of associated risk PM₂.₅ (µg m⁻³)
Good Low 0-25
Acceptable Moderate 25-45
Poor High 45-79
Very poor Very high 79-147
Extremely poor Extremely high >147

Results and discussion

Zone monitoring

Overview of PM2.5 in the air in Saltillo

Figure 2 shows the average daily PM2.5 concentrations in 2024 with ten sensors. In all cases, high atypical concentrations were found, that is, events with high pollution. Most stations have a median ranging from 20 to 30 μg m-3, indicating that the city has areas with different concentrations of pollutants. In addition, variability across all sensors was high, indicating a great diversity of data across the city.

Figure 2

Figure 2. Average daily PM2.5 concentrations.

2007-0934-remexca-16-esp30-e4045-gf8.png

Pearson’s correlation coefficient was used to obtain the degree of correlation of PM2.5 concentrations between two sampling sites (Hama et al., 2020). A high or moderate correlation was observed in most of the sensors (Figure 3). That is, the pollution levels measured by one sensor were similar to the pollution levels measured by other sensors located in different areas of the city.

Figure 3

Figure 3. Pearson’s correlation matrix.

2007-0934-remexca-16-esp30-e4045-gf9.png

In some stations, the correlation is medium (0.7 to 0.6), suggesting that these sensors could be exposed to different sources of pollution or local factors (altitude), due to their location within the valley and the considerable distance between them. Authors such as Yangyang et al. (2015) in their study on the relationship of air pollutants in China took a Pearson correlation of 1-0.5 as high, 0.49-0.3 as moderate and 0.29-0 as low.

Air quality by zones

Table 2 shows the percentage of days with air quality classified as good, acceptable, and poor, by zones in the city. In 2024, the South Zone presented the highest percentage of days with good quality (71.7%); that is, the days in which the average PM2.5 concentration was less than 25 μg m-3. This zone showed the lowest percentage of days with acceptable quality (within 25-45 μg m-3) and only 1.7% of days with poor quality (concentrations above 45 μg m-3). The opposite was true in the West Zone, which showed the lowest percentage of days with good air quality and, in turn, the highest percentage of days with acceptable and poor air quality.

Table 2

Table 2. Air quality by zones in Saltillo.

Location Good (% days) Acceptable (% days) Poor (% days)
North Zone 50.2 44.8 5
South Zone 71.7 26.6 1.7
Central Zone 54.7 42.7 2.6
East Zone 64.5 33.1 2.3
West Zone 48.8 45.5 5.7

Meteorological variables

Relationship of meteorological variables and PM2.5

The average values of daily PM2.5 concentrations, obtained from the two observatories, were recorded and plotted together with the meteorological variables for the year 2024. Although the relationship between the average daily temperature and the average PM2.5 concentration is low (R2= 0.0329, p= 0.014), a slight increase in the concentration of this pollutant was observed as the temperature increased (Figure 4a); however, authors such as Oguz et al. (2003) have reported that PM2.5 concentration tends to decrease with increasing temperature and they have even considered this factor as a possible pollution control parameter. Marsh and Foster (1967) explored the relationship between temperature and air pollutant concentrations and indicated that, above a specific temperature, average daily pollution concentrations were not controlled by the average daily temperature.

Figure 4

Figure 4. Correlation. a) average daily temperature and b) average daily wind speed against daily average PM2.5 concentration.

2007-0934-remexca-16-esp30-e4045-gf10.png

In the case of mean wind speed (Figure 4b), the correlation (R2= 0.2266, p= 1.37E-13), although low, was higher than for the average daily temperature. Even so, with this correlation, the average PM2.5 concentration showed a slight decrease with the average wind speed.

This is likely because the wind is usually stronger in warm seasons, which favors the dilution and dispersion of pollutants. Authors such as Kartal and Özer (1998) mention that wind speed is one of the most important meteorological parameters that control pollutant concentrations because the volume and dilution of polluted air are controlled by wind speed and its direction.

Mean solar radiation, as well as mean relative humidity and mean atmospheric pressure (Figure 5a, 5b and 5c), showed a slight correlation (R2= 0.1322, p= 0.015, R2= 0.0257, p= 0.016 and R2= 0.1552, p= 1.03E-8, respectively). In all three cases, a slight increase in average daily PM2.5 concentration was found when the average of meteorological variables increased.

Figure 5

Figure 5. Correlation. a) average daily radiation; b) average daily humidity and c) average daily pressure against average daily PM2.5 concentration.

2007-0934-remexca-16-esp30-e4045-gf11.png

Recent studies, such as that by Zender-Świercz et al. (2024), mention that relative humidity is a key factor in the hygroscopic growth of particulate matter since it favors the absorption of water by suspended particles. This causes an increase in their size and density, changing PM2.5 concentration in the atmosphere since suspended particles can be deposited or sedimented depending on their size.

Daily pollution during summer and autumn

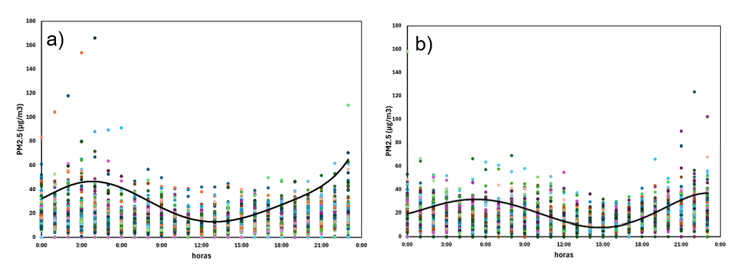
Figure 6 shows the daily behavior of PM2.5 concentration in summer and autumn. When comparing the relationship of daily averages (Figures 4 and 5), no relationship was found with meteorological factors; nevertheless, when evaluating the daily hourly concentration, the following was analyzed: in Figure 6a of summer, the maximum concentration values are observed around 24 h, whereas in autumn, they are around 6 h.

Figure 6

Average daily behavior of PM2.5 concentration, a) summer and b) autumn.

2007-0934-remexca-16-esp30-e4045-gf12.png

The lowest average concentration is recorded within 11-14 h in the summer and within 13-15 h during the autumn. In most cases, the maximum concentration is found at night. This is possibly because during the night, when temperatures are colder, the height of the boundary layer is shallower, probably associated with a thermal inversion (so common in valleys), so the volume of air in which pollutants are dispersed decreases, increasing the concentration of these pollutants and making it difficult for them to disperse in the atmosphere; likewise, it can be attributed to the release of industrial pollutants at night (Whiteman, 1982; Savov et al., 2000).

A similar case was mentioned by Islam et al. (2020) in Kathmandu Valley, Nepal. In this place, they observed that PM2.5 concentration increased at night, with maximum peaks of concentration at 8:00 h and the minimum peak was found around 17:00 h. They attributed this to i) a decrease in the boundary layer; ii) wind speed during the pre-monsoon season; and iii) external sources that transport pollutants into the valley. Atypical peaks associated with overnight discharges of industrial pollutants were also identified, similar to what was reported by Zhao et al. (2016) in a study conducted in China.

Conclusions

Pearson’s correlation coefficient showed a high or moderate correlation between the sensors, suggesting that pollution is relatively evenly distributed in various areas of the city. Nonetheless, other sensors showed medium correlations, which could be due to local or geographical factors. The spatial distribution of pollution indicates that the West Zone and the North Zone have the highest PM2.5 pollution, while the South Zone has the lowest pollution.

Meteorological factors did not present a significant relationship with PM2.5 concentration when the average daily values were compared. However, when the behavior of daily pollution was observed, that is, by hours, a relationship was found between the meteorological variables and the PM2.5 concentration.

Bibliography

1 

Akinwumiju, A. S.; Ajisafe, T. and Adelodun, A. A. 2021. Airborne particulate matter pollution in Akure metro city, Southwestern Nigeria, West Africa: attribution and meteorological influence. Journal of Geovisualization and Spatial Analysis. 5(1):01-17. https://doi.org/10.1007/s41651-021-00079-6.

2 

Akpinar, S.; Oztop, H. F. and Akpinar, E. K. 2008. Evaluation of relationship between meteorological parameters and air pollutant concentrations during winter season in Elaziǧ, Turkey. Environmental Monitoring and Assessment. 146(1-3):211-224. https://doi.org/10.1007/s10661-007-0073-9.

3 

Al Jallad, F. A.; Al Katheeri, E. A. and Al Omar, M. A. 2013. Concentrations of particulate matter and their relationships with meteorological variables. Sustainable Environment Research. 23(3):191-198.

4 

Whiteman, C. D. 1982. Breakup of temperature inversions in deep mountain valleys: Part I. Observations. Journal of Applied Meteorology and Climatology, 21(3):270-289.

5 

Galindo, N.; Varea, M.; Gil-Moltó, J.; Yubero, E. and Nicolás, J. 2011. The influence of meteorology on particulate matter concentrations at an urban mediterranean location. Water, Air and Soil Pollution. 215(1-4):365-372. https://doi.org/10.1007/s11270-010-0484-z.

6 

Hama, S. M. L.; Kumar, P.; Harrison, R. M.; Bloss, W. J.; Khare, M.; Mishra, S.; Namdeo, A.; Sokhi, R.; Goodman, P. and Sharma, C. 2020. Four-year assessment of ambient particulate matter and trace gases in the Delhi-NCR region of India. Sustainable Cities and Society. 54:102003. https://doi.org/10.1016/j.scs.2019.102003.

7 

Islam, Md. R.; Jayarathne, T.; Simpson, I. J.; Werden, B.; Maben, J.; Gilbert, A.; Praveen, P. S.; Adhikari, S.; Panday, A. K.; Rupakheti, M.; Blake, D. R.; Yokelson, R. J.; Decarlo, P. F.; Keene, W. C. and Stone, E. A. 2020. Ambient air quality in the Kathmandu Valley, Nepal, during the pre-monsoon: concentrations and sources of particulate matter and trace gases. Atmospheric Chemistry and Physics. 20(5):2927-2951. https://doi.org/10.5194/acp-20-2927-2020.

8 

Kartal, S. and Özer, U. 1998. Determination and parameterization of some air pollutants as a function of meteorological parameters in Kayseri, Turkey. Journal of the Air and Waste Management Association. 48(9):853-859. https://doi.org/10.1080/10473289.1998.10463738.

9 

Marsh, K. J. and Foster, M. D. 1967. An experimental study of the dispersion of emissions from chimneys in Reading-I: The study of long-term average concentrations of sulphur dioxide. Atmospheric Environment. 1(5):527-550.

10 

Mendoza, H. J. M. 2017. Diagnóstico climático para la zona de influencia inmediata de la UAAAN. Boletín Agrometeorológico. 99-100 pp.

11 

Oguz, E.; Kaya, M. D. and Nuhoglu, Y. 2003. Interaction between air pollution and meteorological parameters in Erzurum, Turkey. In Int. J. Environment and pollution. 19(3):292-300.

12 

Savov, P. B.; Skakalova, T. S.; Kolev, I. N. and Ludwig, F. L. 2000. Lidar investigation of the temporal and spatial distribution of atmospheric aerosols in mountain valleys. Journal of Applied Meteorology. 41(5):528-541. https://doi.org/10.1175/1520-0450(2002)041<0528:LIOTTA>2.0.CO;2.

13 

Tai, A. P. K.; Mickley, L. J. and Jacob, D. J. 2010. Correlations between fine particulate matter (PM2.5) and meteorological variables in the United States: implications for the sensitivity of PM2.5 to climate change. Atmospheric Environment . 44(32):3976-3984. https://doi.org/https://doi.org/10.1016/j.atmosenv.2010.06.060.

14 

Mendoza, U. I. y Vázquez, Z. M. A. 2017. Detección de extremos climáticos de precipitación y temperatura en el estado de Guerrero. Ingeniería Revista Académica 21(1):13-30.

15 

West, J. J.; Cohen, A.; Dentener, F.; Brunekreef, B.; Zhu, T.; Armstrong, B.; Bell, M. L.; Brauer, M.; Carmichael, G.; Costa, D. L.; Dockery, D. W.; Kleeman, M.; Krzyzanowski, M.; Künzli, N.; Liousse, C.; Lung, S. C. C.; Martin, R. V.; Pöschl, U.; Pope, C. A. and Wiedinmyer, C. 2016. What we breathe impacts our health: improving understanding of the link between air pollution and health. Environmental Science and Technology. 50(10):4895-4904. https://doi.org/10.1021/acs.est.5b03827.

16 

Xu, Y; Xue, W.; Lei, Y.; Huang, Q.; Zhao, Y.; Cheng, S.; Ren, Z. and Wang, J. 2020. Spatiotemporal variation in the impact of meteorological conditions on PM2.5 pollution in China from 2000 to 2017. Atmospheric Environment . 223:117215. https://doi.org/https://doi.org/10.1016/j.atmosenv.2019.117215.

17 

Xu, J.; Yan, F.; Xie, Y.; Wang, F.; Wu, J. and Fu, Q. 2015. Impact of meteorological conditions on a nine-day particulate matter pollution event observed in December 2013 shanghai, China. Particuology. 20:69-79. https://doi.org/10.1016/j.partic.2014.09.001.

18 

Yadav, S.; Praveen, O. D. and Satsangi, P. G. 2015. The effect of climate and meteorological changes on particulate matter in Pune, India. Environmental Monitoring and Assessment. 187(7):402. https://doi.org/10.1007/s10661-015-4634-z.

19 

Yangyang, X.; Bin, Z.; Lin, Z. and Rong, L. 2015. Spatiotemporal variations of PM2.5 and PM10 concentrations between 31 Chinese cities and their relationships with SO2, NO2, CO and O3. Particuology. 20:141-149. https://doi.org/10.1016/j.partic.2015.01.003.

20 

Zender-Świercz, E.; Galiszewska, B.; Telejko, M. and Starzomska, M. 2024. The effect of temperature and humidity of air on the concentration of particulate matter - PM2.5 and PM10. Atmospheric Research. 312:107733. https://doi.org/10.1016/j.atmosres.2024.107733.

21 

Zhao, S.; Yu, Y.; Yin, D.; He, J.; Liu, N.; Qu, J. and Xiao, J. 2016. Annual and diurnal variations of gaseous and particulate pollutants in 31 provincial capital cities based on in situ air quality monitoring data from China national environmental monitoring center. Environment International. 82:92-106. https://doi.org/10.1016/j.envint.2015.11.003.