DOI: https://doi.org/10.29312/remexca.v16i8.3906

elocation-id: e3906

Cruz-Hernández, Morales-Maldonado, and Ramírez-Otero: Humus and sand ratios on agave seedling growth

Journal Metadata

Journal Identifier: remexca [journal-id-type=publisher-id]

Journal Title Group

Journal Title (Full): Revista mexicana de ciencias agrícolas

Abbreviated Journal Title: Rev. Mex. Cienc. Agríc [abbrev-type=publisher]

ISSN: 2007-0934 [pub-type=ppub]

Publisher

Publisher’s Name: Instituto Nacional de Investigaciones Forestales, Agrícolas y Pecuarias

Article Metadata

Article Identifier: 10.29312/remexca.v16i8.3906 [pub-id-type=doi]

Article Grouping Data

Subject Group [subj-group-type=heading]

Subject Grouping Name: Articles

Title Group

Article Title: Humus and sand ratios on agave seedling growth

Contributor Group

Contributor [contrib-type=author]

Name of Person [name-style=western]

Surname: Cruz-Hernández

Given (First) Names: Cindy

X (cross) Reference [ref-type=aff; rid=aff1]

Superscript: 1

Contributor [contrib-type=author]

Name of Person [name-style=western]

Surname: Morales-Maldonado

Given (First) Names: Emilio Raymundo

X (cross) Reference [ref-type=aff; rid=aff1]

Superscript: 1

X (cross) Reference [ref-type=corresp; rid=c1]

Superscript: §

Contributor [contrib-type=author]

Name of Person [name-style=western]

Surname: Ramírez-Otero

Given (First) Names: Zeila Mariam

X (cross) Reference [ref-type=aff; rid=aff2]

Superscript: 2

Affiliation [id=aff1]

Label (of an Equation, Figure, Reference, etc.): 1

Institution Name: in an Address: Ingeniería en Innovación Agrícola Sustentable. Tecnológico Superior de Huichapan. Dirección Domicilio Conocido s/n, El Saucillo, Huichapan, Hidalgo, México. CP. 42411. Tel. 761 7248147 [content-type=original]

Institution Name: in an Address: Ingeniería en Innovación Agrícola Sustentable [content-type=orgdiv1]

Institution Name: in an Address: Tecnológico Superior de Huichapan [content-type=orgname]

Address Line

City: Huichapan

State or Province: Hidalgo

Postal Code: 42411

Country: in an Address: México [country=MX]

Affiliation [id=aff2]

Label (of an Equation, Figure, Reference, etc.): 2

Institution Name: in an Address: Ingenieria en Energías Renovables-Instituto Tecnológico Superior de Huichapan. Dirección Domicilio Conocido s/n, El Saucillo, Huichapan, Hidalgo, México. CP. 42411. Tel. 761 7248147. [content-type=original]

Institution Name: in an Address: Ingenieria en Energías Renovables [content-type=orgdiv1]

Institution Name: in an Address: Instituto Tecnológico Superior de Huichapan [content-type=orgname]

Address Line

City: Huichapan

State or Province: Hidalgo

Postal Code: 42411

Country: in an Address: México [country=MX]

Author Note Group

Correspondence Information: [§] Autor para correspondencia: ermorales@iteshu.edu.mx. [id=c1]

Publication Date [date-type=pub; publication-format=electronic]

Day: 6

Month: 12

Year: 2025

Publication Date [date-type=collection; publication-format=electronic]

Season: Nov-Dec

Year: 2025

Volume Number: 16

Issue Number: 8

Electronic Location Identifier: e3906

History: Document History

Date [date-type=received]

Day: 1

Month: 07

Year: 2025

Date [date-type=accepted]

Day: 1

Month: 10

Year: 2025

Permissions

License Information [license-type=open-access; xlink:href=https://creativecommons.org/licenses/by-nc/4.0/; xml:lang=es]

Este es un artículo publicado en acceso abierto bajo una licencia Creative Commons

Abstract

Title: Abstract

Obtaining agave plants from seed promotes genetic diversity and resistance to biotic and abiotic factors; however, seed-propagated plants take longer to reach maturity than those propagated by suckers. It has been proven that substrate mixtures favor plant growth; nevertheless, there are still few studies that firmly support their specific effect on seedling development. The objective of the work was to evaluate substrates with different proportions of humus and sand on the growth of A. salmiana seedlings. The research was conducted at the Higher Technological Institute of Huichapan; 60 days after sowing the seeds, plants with homogeneous heights were selected. The treatments were substrates prepared by mixing humus (H) and sand (S): T1(90:10 H: S), T2(70:30 H: S), T3(60:40 H: S), T4 (40:60 H: S), T5 (30:70 H: S) and T6 (10:90 H: S), with 15 replications. Agronomic variables, chlorophyll (a, b and total), dry biomass, and nutrients in plant tissue were evaluated. The data were checked for normality and homogeneity of variances using the Kolmogorov-Smirnov and Bartlett tests; subsequently, an analysis of variance and Tukey’s multiple comparison of means (α≤ 0.05) were performed. The results showed that plants in T2 (70:30 H:S) excelled in agronomic variables, chlorophyll, dry biomass, and leaf elements. A substrate with this proportion of sand and humus is an alternative to promote the nursery growth of agave plants from seeds.

Keyword Group [xml:lang=en]

Title: Keywords:

Keyword: alternative substrates

Keyword: CAM plants

Keyword: natural substrates

Keyword: seeds

Keyword: sexual reproduction

Counts

Figure Count [count=4]

Table Count [count=0]

Equation Count [count=3]

Reference Count [count=24]

Abstract

Obtaining agave plants from seed promotes genetic diversity and resistance to biotic and abiotic factors; however, seed-propagated plants take longer to reach maturity than those propagated by suckers. It has been proven that substrate mixtures favor plant growth; nevertheless, there are still few studies that firmly support their specific effect on seedling development. The objective of the work was to evaluate substrates with different proportions of humus and sand on the growth of A. salmiana seedlings. The research was conducted at the Higher Technological Institute of Huichapan; 60 days after sowing the seeds, plants with homogeneous heights were selected. The treatments were substrates prepared by mixing humus (H) and sand (S): T1(90:10 H: S), T2(70:30 H: S), T3(60:40 H: S), T4 (40:60 H: S), T5 (30:70 H: S) and T6 (10:90 H: S), with 15 replications. Agronomic variables, chlorophyll (a, b and total), dry biomass, and nutrients in plant tissue were evaluated. The data were checked for normality and homogeneity of variances using the Kolmogorov-Smirnov and Bartlett tests; subsequently, an analysis of variance and Tukey’s multiple comparison of means (α≤ 0.05) were performed. The results showed that plants in T2 (70:30 H:S) excelled in agronomic variables, chlorophyll, dry biomass, and leaf elements. A substrate with this proportion of sand and humus is an alternative to promote the nursery growth of agave plants from seeds.

Keywords

alternative substrates, CAM plants, natural substrates, seeds, sexual reproduction.

Introduction

In 1590, the Jesuit scientist, anthropologist, and naturalist José Acosta referred to the maguey (Agave salmiana L.) as ‘the tree of wonders’ (Luna-Morales, 2002), in connection with the diversity of uses attributed to it in the medicinal, cultural, agro-industrial, ecological and gastronomic fields (Sánchez-Licona et al., 2024). In Latin America, there are 211 species of Agave spp., of which 75% are distributed in the states of Tlaxcala, State of Mexico, Puebla, San Luis Potosí, and Hidalgo (García-Mendoza et al., 2019; Morales-Maldonado et al., 2022; Leal-Robles et al., 2024).

Various parts of A. salmiana, including seeds, thorns, leaves, fiber, flower stalk, flowers and sap, are utilized, which impacts the economic and social income of inhabitants of rural areas (García et al., 2016; Robles et al., 2024). Despite these qualities, the number of plants has been reduced (Chávez-Güitrón et al., 2019) due to poaching and little interest in propagation and cultivation, which includes fertilization (Morales et al., 2009) and low genetic variability of the species since it has been propagated by rhizome suckers (Cruz-Vasconcelos et al., 2024), aggravating their possible vulnerability to pests and diseases when they are propagated asexually and established in the field.

Recent studies mention that obtaining agave plants from seeds promotes greater genetic diversity, which allows us to select individuals with greater adaptation to biotic and abiotic factors (Flores-Morales et al., 2021). Nonetheless, the time it takes for seed-born plants to reach maturity is longer than that of those propagated asexually, which is why it is not accepted by most producers in the region.

It is known that, under nursery conditions, the physical and chemical characteristics of substrates in which agave plants are established affect their development, growth, and yield (Cardoza-Viera et al., 2024; Guillén et al., 2024). On the other hand, a wide range of materials used as growth mediums are classified as: 1) natural: sand, gravel, volcanic soil, peat moss, coconut fiber and bark and 2) artificial: perlite, rock wool, expanded clay, expanded polystyrene and vermiculite.

There is currently limited availability of studies that comprehensively address the effect of mixtures of organic and inorganic substrates on seedling growth. Therefore, in this context, it was considered necessary to identify the optimal proportion of humus and sand that favors the initial development of Agave salmiana; due to the above, the objective of the research was to evaluate the effect of different proportions of humus and sand on the growth of Agave salmiana seedlings under controlled conditions.

Materials and methods

Experiment location

The present research was conducted in Huichapan, Hidalgo, Mexico (20° 19’ 09.93” north latitude and 99° 42’ 29.27” west longitude), with an altitude of 2 172 m. The average annual temperature is 15.7 °C, and the precipitation is 516.4 mm.

Biological material and seedling selection

A. salmiana seeds were used and sown individually in each cavity in five expanded polystyrene trays measuring 30 cm long, 30 cm wide and 5 cm high, divided into 30 cavities of 190 cm3, containing commercial substrate Cosmopeat®. Sixty days after sowing, 150 seedlings were obtained, of which 90 were selected for being more homogeneous in size, with an average height of 3 cm.

Treatments

The seedlings were transplanted into 500-gram plastic containers (15 cm diameter x 12 cm height); six substrates (treatments) were prepared, corresponding to mixtures that varied in proportions of humus and sand (H:S), and there were 15 pots with each type of substrate. The humus comes from the excrement of Eisenia foetida fed with pre-composted material composed of 50% corn stover, 40% sheep excreta and 10% fruit and vegetable waste. A seedling was established in each container. The experimental unit consisted of three plants, with five replications per treatment. The treatments were as follows: T1 (90:10 H:S); T2 (70:30 H:S); T3 (60:40 H:S); T4 (40:60 H:S), and T5 (30:70 H:S).

Irrigation

Irrigation was applied to field capacity, which involved saturating the pot with water until it drained and then calculating the moisture content. All treatments were irrigated three times a week during the first 60 days, and from day 61 to day 365, irrigation was performed twice a week.

Agronomic variables

Plant height (cm) was measured using a digital caliper (Truper®, Mexico), placed from the neck of the plant to the tip of the stem. The leaves were counted visually; the specific leaf area (cm2) was determined for each leaf of the plant using the Easy Leaf Area program; the total leaf area (cm2) was determined for each plant by adding the areas of all its leaves; finally, for the stem diameter (cm), the digital caliper was placed on the neck of the plant.

Chlorophyll a, b, and total (μg g-1)

Chlorophyll was determined using the spectrophotometric method described by Hiscox and Israelstam (1979), which consisted of cutting 5 g of an agave leaf with a scalpel and macerating it inside a mortar with 5 ml of 80% acetone until all the pigment of the sample was extracted; then the sample was placed inside an Eppendorf tube and centrifuged at 2 000 rpm for 10 min. The supernatant was emptied into a quartz cuvette, which was then introduced into a spectrophotometer (Automatic UV Spectrophotometer, Juchuang 723N) and absorbance was measured at wavelengths of 645 and 663 nm using an 80% acetone sample as a blank.

The chlorophyll content was determined with the following formula:

C h l o r o p h y l l A = 12.7 * A b s 663 - 2.69 * A b s 645

C h l o r o p h y l l B = 22.9 * A b s 645 - 4.68 * A b s 663

T o t a l c h l o r o p h y l l = 20.2 * A b s 645 + ( 8.02 * A b s 663 )

Dry biomass (%)

To determine the dry biomass, the fresh weight of the whole plant (g) was recorded, then the plant was cut with a scalpel, separating the aerial part and the root to record the fresh weight of the aerial part (g) and the weight of the root part (g) using a digital scale (Truper® Base-5ep). Each sample was placed in a brown paper bag that had been previously identified with the treatment number. The bags were placed inside a convection drying oven (Luzeren® Mexico) for three days at a temperature of 70 °C or until they reached a constant weight. Finally, the samples were taken from the oven, and the dry weight (g) was recorded. The dry biomass content was determined with the following formula.

Nutrients in plant tissue

The aerial part of the agave samples was placed inside previously identified kraft paper bags. Subsequently, they were sent to the Soil Laboratory of the Chapingo Autonomous University (UACH), for its Spanish acronym where the following analyses were performed: total nitrogen (TN), subjected to digestion with diacid mixture and determined by steam distillation by the Kjeldahl method; phosphorus (P): digested with diacid mixture and determined by photocolorimetry by the molybdovanadate method; potassium (K): digested with diacid mixture and determined by flame emission spectrophotometry (FP8800 from Krüss Optronic); calcium and magnesium (Ca and Mg): digested with diacid mixture and determined by atomic absorption spectrophotometry (Spectrum DD10TZ-L SP-3500).

Statistical analysis

The data were analyzed for normality and homogeneity of variances with the Kolmogorov-Smirnov and Bartlett tests, respectively (Sokal and Rohlf, 1995). Subsequently, a one-way analysis of variance (Anova) was performed, and to identify the differences between the treatments, a Tukey mean test (α< 0.05) was used. In all cases, the statistical analysis program used was Infostat (Di Rienzo et al., 2010).

Results and discussion

Agronomic variables

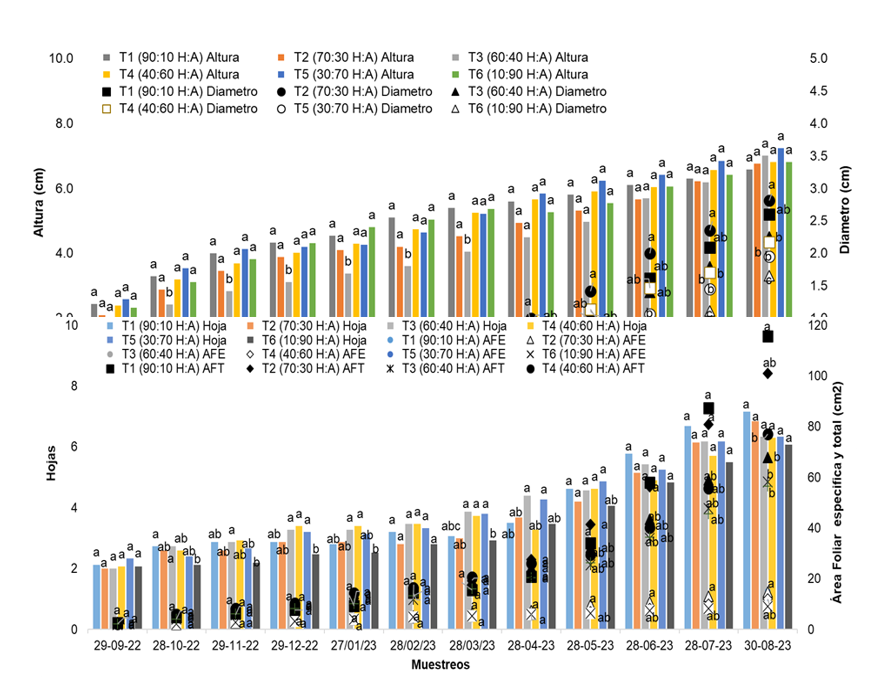
When comparing the final data with the initial data, statistically significant differences (p ≤ 0.05) were observed in height, diameter, number of leaves, and total leaf area, with the plants established in T1 (90:10 H:S) standing out. The plant established in the various substrates specifies that there were no statistical differences in leaf area; in contrast, the plants with the lowest height were those established in T2 (70:30 H:S), those with the lowest diameter were in T5 (30:70 H:S) and T6 (10:90 H:S) and those with the lowest number of leaves and total leaf area were in T6 (10:90 H:S) (Figure 1).

Figure 1

Figure 1. Agronomic variables of the treatments evaluated at the beginning and end of the experiment. Means with equal letters are not statistically different (Tukey, α ≤ 0.05). Altura= height; diametro= diameter; hoja= number of leaves; AFE= specific leaf area; AFT= total leaf area.

2007-0934-remexca-16-08-e3906-gf1.png

In this sense, Morales Maldonado et al. (2022), when evaluating the growth of Agave salmiana inoculated with mycorrhiza (Oftifert®) and established in a nursery for six months, obtained plants with heights of 7.7, 7.5 and 7.2 cm and a diameter of 0.24 cm, using 15, 10 and 5 g of mycorrhiza, respectively. These heights were 53, 52 and 50% higher than treatment T5 (30:70 H:S); however, the diameters were lower by 82.42, 82.71, and 83% compared to treatment T2 (70:30 H:S) in the experiment.

For their part, Enríquez del Valle et al. (2023) evaluated Agave angustifolia shoots that were initially grown in Murashige and Skoog medium and transferred, after nine months, to germination trays with mixtures of peat moss (PM) and perlite (PE), and they obtained plants with an average height of 7.09 cm. This value was lower than that recorded in treatment T5 (30:70 H:S) of the present study, which reached a height of 7.2 cm.

In their study, Canseco-Santiago et al. (2024) obtained in vitro plants of A. americana var. oaxacensis by organogenesis of adventitious shoots, which they transferred to substrate, and after one year of ex vitro growth in pots with agricultural soil and water, they reported values that were 9.8%, 2.04% and 33.3% higher in height, diameter and number of leaves, respectively, compared to T1 (90:10 H:S).

Leal-Robles et al. (2024) evaluated the growth of A. salmiana seedlings originating from seeds established in cosmopeat substrate, and after nine months, the plants were 5.4 cm in diameter, which was 94.25% larger than the stem diameter of the plants in T2 (70:30 H:S). In their research, Sánchez-Mendoza and Bautista-Cruz (2024) obtained seedlings of Agave angustifolia Haw., which, after 75 days, were placed in 20 × 25 cm polyethylene bags containing 9 kg of soil and placed in trays inside an 8 × 20 nursery (25% shade netting); these authors reported a height of 14.7 cm and a diameter of 6.2 cm, which are 51 and 67.7% higher than those of T5 (30:70 H:S).

Chlorophyll a, b and total (μg g-1)

The plants that presented the most chlorophyll per unit of fresh leaf weight were those that were in substrates with a high amount (60 to 90%) of humus. The highest chlorophyll a content (p ≤ 0.05) was present in: T1 (90: 10 H:S) 20.40 mg g-1, T2 (70: 30 H:S) 23.24 mg g-1, T3 (60: 40 H:S) 24.16 mg g-1, T4 (40:60 H:S) 19.53 mg g-1, and T5 (30: 70 H:S) 23.70 mg g-1, except for T6 (10:90 H:S) 10.58 (mg g-1), which registered the lowest chlorophyll a content.

As for chlorophyll b (p ≤ 0.05), the highest content was obtained by the plants of T3 (60: 40 H:S), with 49.82 mg g-1 and T4 (40:60 H:S), with 48.28 mg g-1, which were statistically similar (p ≤ 0.05) to T1 (90: 10 H:S), T2 (70: 30 H:S) and T5 (30:70 H:S); on the other hand, the lowest content of chlorophyll b was obtained by the plants of T6 (10:90 H:S). In terms of total chlorophyll, T3 (60:40 H:S) (73.94 mg g-1) and T4 (40:60 H:S) (71.97 mg g-1) stood out (p ≤ 0.05) and were similar (p ≤ 0.05) to T1 (90:10 H:S), T2 (70:30 H:S) and T5 (30:70 H:S); in contrast, T6 (10:90 H:S) recorded the lowest total chlorophyll content (Figure 2).

Figure 2

Figure 2. Determination of chlorophyll a, b and total of A. salmiana in each treatment. Means with equal letters are not statistically different (Tukey, α≤ 0.05).

2007-0934-remexca-16-08-e3906-gf2.png

Similarly, Ruiz et al. (2007) evaluated Agave salmiana plants for one year in a greenhouse with Xerosol soil and irrigation at field capacity and they reported 38.57 mg g-1 of chlorophyll a, 23.14 mg g-1 of chlorophyll b and 61.14 mg g-1 of total chlorophyll in leaves, values that were 37.3% higher in chlorophyll a, and 53.5 and 16.6% lower in chlorophyll b and total, respectively, compared to T3 (60:40 H:S) in the present research. In this regard, Morales-Maldonado et al. (2022) worked with A. salmiana plants in a substrate of worm humus and tezontle (70:30) and foliar applications of chitosan (1 mg L-1) for one year to evaluate the growth of A. salmiana seedlings from seeds and they reported 170.79 mg g-1 of total chlorophyll, a value 59% higher than that of T3 (60:40 H:S) in the present research.

Dry biomass (%)

The highest content (p ≤ 0.05) of dry biomass of whole plant (16.32%), aerial part (11.89%) and root part (9.51%) was recorded in T6 (10:90 H:S), being statistically similar (p ≤ 0.05) to T2 (70:30 H:S), T3 (60:40 H:S), T5 (30:70 H:S) and T4 (40:60 H:S), except for the root part; in contrast, T1 (90:10 H:S) had the lowest value in biomass of whole plant, aerial part and root part (Figure 3).

Figure 3

Figure 3. Biomass content of the whole plant, aerial part and root part of each treatment. Means with equal letters are not statistically different (Tukey, α≤ 0.05).

2007-0934-remexca-16-08-e3906-gf3.png

Morales-Maldonado et al. (2022) established A. salmiana plants in a substrate of worm humus and tezontle (70:30) and applied chitosan foliar sprays (1 mg L-1). After 12 months, they reported a value of 1.8% in dry biomass of the whole plant, which differs from the 16.32% reported for T6 (10:90 H:S) in the present work. For their part, Ríos-Ramírez et al. (2021) evaluated 18-month-old Agave angustifolia plants that were established in pots with sandy loam soil. The application of the 50% and 75% Steiner solution resulted in a dry leaf biomass of 10.64 mg kg-1 and a root biomass of 77.21%. These values were lower than those of treatment T6 (10:90 H:S) of the present study, which reached 10.8% in leaf biomass and 87.6% in root biomass.

Nutrients in plant tissue

Regarding nitrogen (N) and phosphorus (P) content, there were no differences (p ≤ 0.05) among the treatments evaluated; nevertheless, the plants established in T2 (70:30 H:S) had 5.49% potassium (K), a value similar (p ≤ 0.05) to that of T1 (90: 10 H:S), T3 (60: 40 H:S), T4 (40:60 H:S) and T5 (30: 70 H:S), with T6 (10:90 H:S) having the lowest K content. On the other hand, in calcium (Ca), the highest percentages (p ≤ 0.05) were reported in T3 (60:40 H:S) 0.76%, T4 (40:60 H:S) 0.8% and T6 (10:90 H:S) 0.73%, which are similar (p ≤ 0.05) to those of T1 (90:10 H:S) and T2 (70:30 H:S), with T5 (30:70 H:S) having the lowest Ca content.

In terms of magnesium (Mg) content, the highest values (p ≤ 0.05) were recorded in T1 (90:10 H:S), with 0.75%, they are similar (p ≤ 0.05) to T2 (70:30 H:S), T3 (60:40 H:S), T4 (40:60 H:S) and T5 (30:70 H:S); in contrast, T6 (10:90 H:S) registered the lowest value in mg (Figure 4).

Figure 4

Figure 4. Content of elements in leaves of the treatments evaluated. Means with equal letters are not statistically different (Tukey, α≤ 0.05).

2007-0934-remexca-16-08-e3906-gf4.png

For their part, Ríos-Ramírez et al. (2021) evaluated 18-month-old A. angustifolia plants obtained from inflorescence bulbils and established in pots with sandy loam soil. The plants to which the Steiner solution was applied at 50 and 75% had 5.01% of N, an amount 97.3% higher than the N content of the plants in T4 (40:60 H:S), and 16.2% of P, 57.4% higher than that of T1 (90:10 H:S).

Castillejos-Reyes (2023) observed the response of 7- to 8-month-old rhizomatous agave suckers fertilized with 100 g of Osmocote Plus, and they registered a content of 2 730 mg kg-1 of K and 391 mg kg-1 of Ca, values that are higher than those recorded in the present work. These results may be due to the low use of fertilizers in the field, resulting from losses caused by leaching, microorganisms, and retention by other plants, which causes problems in the internal structure of the plant.

Conclusions

The mixtures of humus and sand stimulate the growth of maguey seedlings derived from seeds, particularly in the plants that were established in the mixture of humus: sand (70:30), which excelled in agronomic variables, chlorophyll, dry biomass and leaf elements; therefore, this proportion is an alternative that agave producers can use in the Huichapan region, Hidalgo, and areas of influence to promote the growth of agave plants.

Acknowledgments

To the Tecnológico Nacional de México (TECNM) for funding the maguey research project, to the Nana Ya Ahí cooperative for the donation of substrates, and to the Secretariat of Agricultural Development (SEDAGRO).

Bibliography

1 

Arrazola-Cárdenas, L.; García-Nava, J. R.; Robledo-Paz, A.; Ybarra-Moncada, M. C. y Muratalla-Lúa, A. 2020. Sustratos y dosis de fertirrigación en la acumulación de azúcares totales y el crecimiento de Agave salmiana (Asparagaceae). Polibotánica. 50(25):109-118. https://doi.org/10.18387/polibotanica.50.8.

2 

Canseco-Santiago, D. E.; Del Valle, J. R. E.; Rodríguez-Ortiz, G.; Rodríguez-Vásquez, M. E.; García-Aguilar, J. A. y Pérez-Félix, G. P. 2024. Desarrollo de Agave americana var. oaxacensis por efecto de nutrición orgánica, fertirriego y bencilaminopuruna: desarrollo de agave. Revista Mexicana de Agroecosistemas. 11(2):126-135. https://doi.org/10.60158/rma.v11i2.431.

3 

Cardoza-Viera, A.; Arévalo-Valladolid, D.; Javier-Alva, J.; Peña-Castillo, R.; Chanduví-García, R.; Quiroz-Calderón, M.; Álvarez-Bernaola, L.; Galecio-Julca, M.; Calero-Merino, M. y Morales-Pizarro, A. 2024. Sustratos orgánicos alternos en la germinación y crecimiento inicial de plántulas de maíz (Zea mays L.) en condiciones de vivero. Terra Latinoamericana. 42(1):1-11e1867. https://doi.org/10.28940/terra.v42i0.1867.

4 

Castillejos-Reyes, C.; Bautista-Cruz, A.; Sánchez-Mendoza, S. y Quiñones-Aguilar, E. E. 2023. Respuesta de agave coyote (Agave spp.) a la aplicación de fertilizantes de liberación lenta en condiciones de campo. Response of agave coyote (Agave spp.) to the application of slow-release fertilizers under field conditions. Revista Bio Ciencias. 10(1):e1431. 1-14. https://doi.org/10.15741/revbio.10.e1431.

5 

Chávez-Güitrón, L. E.; Salinas-Pérez, F. D. C.; Pérez-Salinas, E. A.; Caballero, J.; Vallejo-Zamora, A. y Sandoval-Zapotitla, E. 2019. Variación de caracteres epidérmico-foliares de Agave salmiana subsp. salmiana (Asparagaceae) en el centro de México. Botanical Sciences. 97(4):711-724. https://doi.org/10.17129/botsci.2159.

6 

Cruz-Vasconcelos, S. T.; Ramírez-Herrera, C.; Cruz-Huerta, N.; Gómez-Guerrero, A. and Reyes-Hernández, V. J. 2024. Through cultural practices and índole 3 butyric acid. Revista Fitotecnia Mexicana. 47(1):27-33. https://doi.org/10.35196/rfm.2024.1.27.

7 

Di-Rienzo, J.; Balzarini, M. G.; González, L. A.; Casanoves, F.; Tablada, E. M. y Robledo, C. W. 2010. INFOSTAT. Manual del Usuario. Grupo InfoStat, FCA. Universidad Nacional de Córdoba. 1 Ed. Editorial Brujas Argentina. software para análisis estadístico. 329 p. https://repositorio.catie.ac.cr/handle/11554/10346.

8 

Enríquez-Valle, J. R.; Chávez-Cruz, I. L.; Rodríguez-Ortiz, G. y Campos-Ángeles, G. V. 2023. Vitroplantas de Agave angustifolia Haw. Obtenidas en ambientes de incubación contrastantes, aclimatadas en diferentes sustratos. Revista Fitotecnia Mexicana. 46(3):291-298. https://doi.org/10.35196/rfm.2023.3.298.

9 

Enríquez-Valle, J. R.; Estrada-Silias, A.; Rodríguez-Ortiz, G.; Velasco-Velasco, V. A. y Campos-Ángeles, G. V. 2013. Sustrato y dosis de fertirriego en la aclimatización de vitroplantas de Agave americana var. oaxacencis. Revista de la Facultad de Ciencias Agrarias. Universidad Nacional de Cuyo. 45(2):341-348. https://www.scielo.org.ar/pdf/refca/v45n2/v45n2a26.pdf.

10 

Flores-Morales, A.; Chávez-Ávila, V. M. y Jiménez-Estrada, M. 2021. Evaluación de una alternativa de propagación de maguey pulquero (Agave salmiana) variedad púa larga. Revista Mexicana de Agroecosistemas. 8(1):46-58. ISSN:2007-9559.

11 

García, A. V.; Fernández, M. M. A.; Chulim, N. G. E.; Torres, E. O.; Juárez, J. R. y Ramírez, A. M. 2016. El maguey pulquero, una planta multifuncional y polifacética: los usos desde una visión mestiza e indígena. Scripta Ethnologica. 38(1):65-87. https://www.redalyc.org/journal/148/14849184004/.

12 

García-Mendoza, A. J.; Franco-Martínez, I. S. y Sandoval-Gutiérrez. D. 2019. Cuatro especies nuevas de Agave (Asparagaceae, Agavoideae) del sur de México. Acta Botanica Mexicana. 126(1):e1461-1-18. Doi: 10.21829/ abm126.2019.1461.

13 

Guillén, P. I. V.; Sumba, W. A. T.; Quiróz, P. H. C. y Haro, C. A. P. 2024. Efecto de tres sustratos y dos fórmulas de fertilizantes en el crecimiento de plántulas de cacao (Theobroma cacao L.), Naranjal, provincia del Guayas. SATHIRI. 19(2):164-177.

14 

Hiscox, J. D. and Israelstam, G. F. 1979. A method for the extraction of chlorophyll from leaf tissue without maceration. Canadian Journal of Botany. 57(12):1332-1334. https://doi.org/10.1139/b79-163.

15 

Leal-Robles, A. I.; Méndez-Lopez, A.; Hidalgo-De León, A.; Pérez-Rivera, M. F. y Núñez-Colima, J. A. 2024. Efecto del compost con bagazo de lechuguilla en el crecimiento de Agave salmiana. Ecosistemas y Recursos Agropecuarios. 11(4):1-10. https://doi.org/10.19136/era.a11nIV.4066.

16 

Luna-Morales, C. D. C. 2002. Ciencia conocimiento tradicional y etnobotánica. Etnobiología. 2(1):120-136. https://revistaetnobiologia.mx/index.php/etno/article/view/51/51.

17 

Morales, A. F.; Hidalgo, C. E.; Pérez, F. S.; Aguilar, L. R. y Luna, J. R. 2009. Mecanismos de conservación y uso del maguey pulquero Agave salmiana en el Altiplano Mexicano. SOMAS AC. 6(1):1-10. https://www.academia.edu/3635993/Agave.

18 

Morales-Maldonado, E. R.; Ramírez-Otero, Z. M.; Cruz-Álvarez, O.; Hernández-Rodríguez, O. A. y Ojeda-Barrios, D. L. 2022. Aplicación foliar de quitosano en plántulas de Agave salmiana y su respuesta en algunos parámetros morfofisiológicos. Terra Latinoamericana. 40(1-7):e1571-1-7. https://doi.org/10.28940/terra.v40i0.1571.

19 

Ríos-Ramírez, S. D. C.; Enríquez-Valle, J. R.; Rodríguez-Ortiz, G.; Ruíz-Luna, J. y Velasco-Velasco, V. A. 2021. El crecimiento de Agave angustifolia Haw. con relación a la condición nutrimental. Revista Mexicana de Ciencias Agrícolas. 12(5):865-873. https://www.scielo.org.mx/pdf/remexca/v12n5/2007-0934-remexca-12-05-865.pdf

20 

Robles, A. I. L.; López, A. M.; León, A. H.; Rivera, M. F. P. y Colima, J. A. N. 2024. Efecto del compost con bagazo de lechuguilla en el crecimiento de Agave salmiana. Ecosistemas y Recursos Agropecuarios. 11(4):1-10. https://doi.org/10.19136/era.a11nIV.4066 .

21 

Ruiz, G. S.; Peña-Valdivia, C. B.; Trejo, L. y Sánchez, A. B. 2007. Reacción fisiológica del maguey (Agave salmiana Otto ex Salm-Dyck) a la sequía intermitente. Revista de la Facultad de Agronomía Luz. 24(1):318-325. https://www.revfacagronluz.org.ve/PDF/supl-mayo-2007/v24supl54.pdf .

22 

Sánchez-Licona, A.; Rivera-Ramírez, J. M. y Velázquez-Cigarroa, E. 2024. Management and cultural preservation of maguey (Agave salmiana var. salmiana) in San Mateo Tlajomulco, Hidalgo. Textual. 83(1):137-171 Doi: https://doi.org/10.5154/r.textual/2023.83.06.

23 

Sánchez-Mendoza, S. y Bautista-Cruz, A. 2024. Respuesta de Agave potatorum Zucc a dos dosis de fertilizante de liberación lenta y reguladores de crecimiento. Fertilización en Agave potatorum. Revista Bio Ciencias. 11(1):1-18. https://doi.org/10.15741/revbio.11.e1661.

24 

Sokal, R. R. and Rohlf, F. J.1995. Biometry, 3rd Ed. W.H. Freeman, New York. 915 p. ISBN-13:978-0-7167-8604-4. https://archive.org/details/biometryprincipl00soka/mode/2up.