DOI: https://doi.org/10.29312/remexca.v16i8.3906

elocation-id: e3906

Cruz-Hernández, Morales-Maldonado, and Ramírez-Otero: Proporciones de humus y arena en el crecimiento de plántulas de agave

Journal Metadata

Journal Identifier: remexca [journal-id-type=publisher-id]

Journal Title Group

Journal Title (Full): Revista mexicana de ciencias agrícolas

Abbreviated Journal Title: Rev. Mex. Cienc. Agríc [abbrev-type=publisher]

ISSN: 2007-0934 [pub-type=ppub]

Publisher

Publisher’s Name: Instituto Nacional de Investigaciones Forestales, Agrícolas y Pecuarias

Article Metadata

Article Identifier: 10.29312/remexca.v16i8.3906 [pub-id-type=doi]

Article Grouping Data

Subject Group [subj-group-type=heading]

Subject Grouping Name: Artículo

Title Group

Article Title: Proporciones de humus y arena en el crecimiento de plántulas de agave

Contributor Group

Contributor [contrib-type=author]

Name of Person [name-style=western]

Surname: Cruz-Hernández

Given (First) Names: Cindy

X (cross) Reference [ref-type=aff; rid=aff1]

Superscript: 1

Contributor [contrib-type=author]

Name of Person [name-style=western]

Surname: Morales-Maldonado

Given (First) Names: Emilio Raymundo

X (cross) Reference [ref-type=aff; rid=aff1]

Superscript: 1

X (cross) Reference [ref-type=corresp; rid=c1]

Superscript: §

Contributor [contrib-type=author]

Name of Person [name-style=western]

Surname: Ramírez-Otero

Given (First) Names: Zeila Mariam

X (cross) Reference [ref-type=aff; rid=aff2]

Superscript: 2

Affiliation [id=aff1]

Label (of an Equation, Figure, Reference, etc.): 1

Institution Name: in an Address: Ingeniería en Innovación Agrícola Sustentable. Tecnológico Superior de Huichapan. Dirección Domicilio Conocido s/n, El Saucillo, Huichapan, Hidalgo, México. CP. 42411. Tel. 761 7248147 [content-type=original]

Institution Name: in an Address: Ingeniería en Innovación Agrícola Sustentable [content-type=orgdiv1]

Institution Name: in an Address: Tecnológico Superior de Huichapan [content-type=orgname]

Address Line

City: Huichapan

State or Province: Hidalgo

Postal Code: 42411

Country: in an Address: México [country=MX]

Affiliation [id=aff2]

Label (of an Equation, Figure, Reference, etc.): 2

Institution Name: in an Address: Ingenieria en Energías Renovables-Instituto Tecnológico Superior de Huichapan. Dirección Domicilio Conocido s/n, El Saucillo, Huichapan, Hidalgo, México. CP. 42411. Tel. 761 7248147. [content-type=original]

Institution Name: in an Address: Ingenieria en Energías Renovables [content-type=orgdiv1]

Institution Name: in an Address: Instituto Tecnológico Superior de Huichapan [content-type=orgname]

Address Line

City: Huichapan

State or Province: Hidalgo

Postal Code: 42411

Country: in an Address: México [country=MX]

Author Note Group

Correspondence Information: [§] Autor para correspondencia: ermorales@iteshu.edu.mx. [id=c1]

Publication Date [date-type=pub; publication-format=electronic]

Day: 6

Month: 12

Year: 2025

Publication Date [date-type=collection; publication-format=electronic]

Season: Nov-Dec

Year: 2025

Volume Number: 16

Issue Number: 8

Electronic Location Identifier: e3906

History: Document History

Date [date-type=received]

Day: 1

Month: 07

Year: 2025

Date [date-type=accepted]

Day: 1

Month: 10

Year: 2025

Permissions

License Information [license-type=open-access; xlink:href=https://creativecommons.org/licenses/by-nc/4.0/; xml:lang=es]

Este es un artículo publicado en acceso abierto bajo una licencia Creative Commons

Abstract

Title: Resumen

La obtención de plantas de agave por semillas promueve la diversidad genética y resistencia a factores bióticos y abióticos; no obstante, las plantas de semilla tardan más tiempo el tiempo para llegar a su madurez que las propagadas por hijuelos. Se ha comprobado que las mezclas de sustratos favorecen el crecimiento de las plantas; sin embargo, aún existen pocos estudios que respalden de manera sólida su efecto específico en el desarrollo de plántulas. El objetivo del trabajo fue evaluar sustratos con diferentes proporciones de humus y arena en el crecimiento de plántulas de A. salmiana. La investigación se realizó en el Instituto Tecnológico Superior de Huichapan, después de 60 días después de la siembra de semillas se seleccionaron plantas con altura homogénea. Los tratamientos fueron sustratos preparados al mezclar humus (H) y arena (A): T1(90:10 H: A), T2(70:30 H: A), T3(60:40 H: A), T4(40:60 H: A), T5(30:70 H: A) y T6(10:90 H: A) con 15 repeticiones. Se evaluaron variables agronómicas, clorofila a, b y total, biomasa seca y nutrientes en tejido vegetal. A los datos se les verificó la normalidad y homogeneidad de varianzas con la prueba de Kolmogórov-Smirnov y Bartlett y posteriormente, se realizó el análisis de varianza y la comparación múltiple de medias Tukey (α≤ 0.05). Los resultados demostraron que las plantas en el T2 (70:30 H: A) sobresalió en variables agronómicas, clorofila, biomasa seca y elementos en hoja. El sustrato con dicha proporción de arena y humus es una alternativa para promover el crecimiento en vivero de plantas de agave proveniente de semillas.

Keyword Group [xml:lang=es]

Title: Palabras clave:

Keyword: plantas CAM

Keyword: reproducción sexual

Keyword: semillas

Keyword: sustratos alternativos

Keyword: sustratos naturales

Counts

Figure Count [count=4]

Table Count [count=0]

Equation Count [count=3]

Reference Count [count=24]

Abstract

La obtención de plantas de agave por semillas promueve la diversidad genética y resistencia a factores bióticos y abióticos; no obstante, las plantas de semilla tardan más tiempo el tiempo para llegar a su madurez que las propagadas por hijuelos. Se ha comprobado que las mezclas de sustratos favorecen el crecimiento de las plantas; sin embargo, aún existen pocos estudios que respalden de manera sólida su efecto específico en el desarrollo de plántulas. El objetivo del trabajo fue evaluar sustratos con diferentes proporciones de humus y arena en el crecimiento de plántulas de A. salmiana. La investigación se realizó en el Instituto Tecnológico Superior de Huichapan, después de 60 días después de la siembra de semillas se seleccionaron plantas con altura homogénea. Los tratamientos fueron sustratos preparados al mezclar humus (H) y arena (A): T1(90:10 H: A), T2(70:30 H: A), T3(60:40 H: A), T4(40:60 H: A), T5(30:70 H: A) y T6(10:90 H: A) con 15 repeticiones. Se evaluaron variables agronómicas, clorofila a, b y total, biomasa seca y nutrientes en tejido vegetal. A los datos se les verificó la normalidad y homogeneidad de varianzas con la prueba de Kolmogórov-Smirnov y Bartlett y posteriormente, se realizó el análisis de varianza y la comparación múltiple de medias Tukey (α≤ 0.05). Los resultados demostraron que las plantas en el T2 (70:30 H: A) sobresalió en variables agronómicas, clorofila, biomasa seca y elementos en hoja. El sustrato con dicha proporción de arena y humus es una alternativa para promover el crecimiento en vivero de plantas de agave proveniente de semillas.

Palabras clave

plantas CAM, reproducción sexual, semillas, sustratos alternativos, sustratos naturales.

Introducción

En 1590, el científico jesuita, antropólogo y naturalista José Acosta se refirió al maguey (Agave salmiana L.) como ‘el árbol de las maravillas’ (Luna-Morales, 2002), en alusión a la diversidad de usos que le atribuyen en los ámbitos medicinal, cultural, agroindustrial, ecológico y gastronómico (Sánchez-Licona et al., 2024). En América Latina existen 211 especies de Agave spp., de las que 75% están distribuidas en los estados de Tlaxcala, Estado de México, Puebla, San Luis Potosí e Hidalgo (García-Mendoza et al., 2019; Morales-Maldonado et al., 2022; Leal-Robles et al., 2024).

Diversas partes del A. salmiana, desde semilla, espina, hoja, fibra, quiote, flores hasta aguamiel se les aprovecha, lo que impacta en el ingreso económico y social de habitantes de zonas rurales (García et al., 2016; Robles et al., 2024). Pese a estas cualidades el número de plantas se ha reducido (Chávez-Güitrón et al., 2019), debido a recolección furtiva y escaso interés en la propagación y cultivo en que se incluye la fertilización y (Morales et al., 2009), baja variabilidad genética de la especie ya que ha sido propagada mediante hijuelos de rizoma (Cruz-Vasconcelos et al., 2024), agravando su posible vulnerabilidad ante plagas y enfermedades cuando se propagan asexualmente y se establecen en campo.

Estudios recientes mencionan que la obtención de plantas originadas de agave por semillas promueve mayor diversidad genética, en que sea posible seleccionar individuos con mayor adaptación a factores bióticos y abióticos (Flores-Morales et al., 2021). Sin embargo, el tiempo en que las plantas originadas de semilla llegan a la madurez es mayor que las propagadas por vía asexual es motivo por las que no es aceptado por la mayoría de los productores de la región.

Se sabe que en condiciones de vivero las características físicas y químicas de sustratos en que se establecen las plantas de agave tienen efecto en su desarrollo, crecimiento y rendimiento (Cardoza-Viera et al., 2024; Guillén et al., 2024). Por otro lado, una amplia gama de materiales utilizados como medios de crecimiento se clasifican en: 1) naturales: arena, grava, tierra volcánica, turba, fibra de coco y corteza y 2) artificiales: perlita, lana de roca, arcilla expandida, poliestireno expandido, y vermiculita.

Actualmente existe una limitada disponibilidad de estudios que aborden de manera integral el efecto de mezclas de sustratos orgánicos e inorgánicos sobre el crecimiento de plántulas. Por lo cual en este contexto se consideró necesario identificar la proporción óptima de humus y arena que favorezca el desarrollo inicial de Agave salmiana por ello el objetivo de la investigación fue evaluar el efecto de diferentes proporciones de humus y arena sobre el crecimiento de plántulas de Agave salmiana bajo condiciones controladas

Materiales y métodos

Ubicación del experimento

La presente investigación se realizó en Huichapan, Hidalgo, México (20° 19’ 09.93’’ latitud norte y 99° 42’ 29.27’’ longitud oeste), con una altitud de 2 172 m. La temperatura media anual es de 15.7 °C y la precipitación de 516.4 mm.

Material biológico y selección de plántulas

Se utilizaron semillas de A. salmiana que se sembraron individualmente en cada cavidad en cinco charolas de unicel de 30 cm de longitud, 30 cm de ancho y 5 cm de altura divididas en 30 cavidades de 190 cm3 que contenían sustrato comercial Cosmopeat®. A los 60 días después de la siembra se tuvieron 150 plántulas de las que se seleccionaron 90 seleccionaron plántulas más homogéneas en tamaño con una altura promedio de 3 cm.

Tratamientos

Las plántulas se trasplantaron a recipientes de plástico (15 cm de diámetro x 12 cm de altura) con capacidad de 500 g se prepararon seis sustratos (tratamientos) que fueron mezclas que variaron en proporciones de humus y arena (H: A) y se tuvieron 15 macetas con cada tipo de sustrato. El humus proviene del excremento de Eisenia foetida, alimentada con material precompostado compuesto de 50% de rastrojo de maíz, 40% excreta de borrego y 10% de desechos de frutas y verduras. Se estableció una plántula en cada recipiente. La unidad experimental consistió en tres plantas y se tuvieron cinco repeticiones por tratamiento. Los tratamientos fueron los siguientes: T1 (90:10 H: A); T2 (70:30 H: A); T3 (60:40 H: A); T4 (40:60 H: A) y T5 (30:70 H: A).

Riego

El riego se aplicó a capacidad de campo, lo que implicó saturar la maceta con agua hasta drenarse y posteriormente calcular el contenido de humedad. Los riegos se aplicaron a todos tratamientos tres veces por semana durante los primeros 60 días y a partir del día 61 hasta el día 365 se realizó dos veces por semana.

Variables agronómicas

Altura de planta (cm) se utilizó un calibrador digital marca (Truper®, México) que se colocó desde el cuello de la planta hasta la punta del tallo. El conteo del número de hojas se realizó de forma visual, el Área foliar especifica (cm2) se determinó para cada hoja de la planta usando el programa Easy Leaf Area, el área foliar total (cm2) se determinó para cada planta sumando las áreas de todas sus hojas y para el diámetro del tallo (cm) se colocó el calibrador digital en el cuello de la planta.

Clorofila a, b y total (µg g-1)

Para la determinación de la clorofila se utilizó el método espectrofotométrico descrito por Hiscox e Israelstam (1979) y consistió en cortar con bistury 5 g de una hoja de agave y macerarlo dentro de un mortero con 5 ml de acetona al 80%, hasta extraer todo el pigmento de la muestra, posteriormente la muestra se colocó dentro de un tubo eppendorf y se centrifugó a 2 000 rpm por 10 min. El sobrenadante se vació en una cubeta de cuarzo que se introdujo en un espectrofotómetro (Espectrofotómetro UV automático Juchuang 723N) y se midió la absorbancia a longitudes de onda de 645 y 663 nm utilizando una muestra de acetona al 80% como blanco.

El contenido de clorofila se determinó con la siguiente fórmula:

C l o r o f i l a A = 12.7 * A b s 663 - 2.69 * A b s 645

C l o r o f i l a B = 22.9 * A b s 645 - 4.68 * A b s 663

C l o r o f i l a t o t a l = 20.2 * A b s 645 + ( 8.02 * A b s 663 )

Biomasa seca (%)

Para la determinación de la biomasa seca se registró el peso fresco de la planta entera (g), posteriormente con un bistury la planta se cortó separando la parte aérea y la raíz para registrar el peso fresco de la parte aérea (g) y el peso de la parte radicular (g) con ayuda de una báscula digital (Truper® Base-5ep). Cada muestra se introdujo en bolsas de papel estraza previamente identificadas con el número de tratamiento. Las bolsas se colocaron al interior de una estufa de secado por convección marca (Luzeren® México) durante tres días a una temperatura de 70 °C y hasta que alcanzaron peso constante. Finalmente, las muestras se sacaron de la estufa y se registró el peso seco (g). El contenido de biomasa seca se determinó con la siguiente fórmula.

Nutrientes en tejido vegetal

La parte aérea de las muestras de agave se colocaron dentro de bolsas de papel estraza previamente identificadas. Posteriormente se enviaron al Laboratorio de suelos de la Universidad Autónoma Chapingo (UACH) donde se realizaron los análisis de nitrógeno total (NT): sujetado a digestión con mezcla diacida y determinado por arrastre de vapor por el método de Kjeldahl; fósforo (P): digestado con mezcla diacida y determinado por fotocolorimetria por el método del malibdovanatado; potasio (K) digestado con mezcla diácida y determinado por espectrofometría de emisión de flama (FP8800 de Krüss Optronic); calcio y magnesio (Ca y Mg): digestado con mezcla diacida y determinado por espectrofotometría de absorción atómica (Spectrum DD10TZ-L SP-3500).

Análisis estadístico

A los datos obtenidos se les verificó su normalidad y homogeneidad de varianzas con la prueba de Kolmogórov-Smirnov y Bartlett, respectivamente (Sokal y Rohlf, 1995). Posteriormente, se realizó el análisis de varianza (Anova) de clasificación simple y para identificar las diferencias entre los tratamientos se utilizó una prueba de medias de Tukey (α< 0.05). En todos los casos se empleó el programa de análisis estadístico Infostat (Di Rienzo et al., 2010).

Resultados y discusión

Variables agronómicas

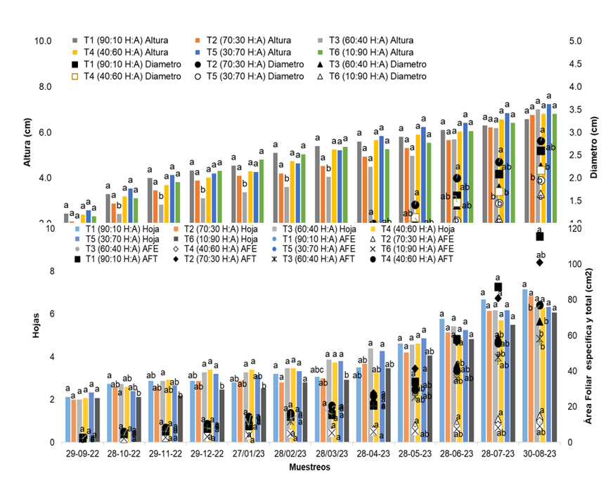
Al momento de contrastar los datos finales vs iniciales se observaron diferencias estadísticas significativas (p≤ 0.05) en altura, diámetro, número de hojas y área foliar total donde sobresalieron las plantas que se establecieron en T1 (90:10 H: A). La planta establecida en los diversos sustratos especifica que no se presentaron diferencias estadísticas en área foliar; en contraste, las plantas de menor altura fueron las que se establecieron en T2(70:30 H: A), diámetro T5 (30:70 H: A) y T6(10:90 H: A), número de hojas y área foliar total T6(10:90 H: A) (Figura 1).

Figura 1

Figura 1. Variables agronómicas de los tratamientos evaluados al inicio y al final del experimento . Medias con letras iguales no son estadísticamente diferentes (Tukey, α ≤ 0.05). A= altura; D= diámetro; NH= número de hojas; AFE= área foliar especifica; AFT= área foliar total.

2007-0934-remexca-16-08-e3906-gf1.png

En este sentido Morales Maldonado et al. (2022), al evaluar el crecimiento de Agave salmiana inoculado con micorriza (Oftifert®) y establecido en vivero durante seis meses, obtuvieron plantas con alturas de 7.7, 7.5 y 7.2 cm y un diámetro de 0.24 cm, utilizando 15, 10 y 5 g de micorriza, respectivamente. Estas alturas fueron superiores en un 53, 52 y 50% con respecto al tratamiento T5 (30: 70 H: A), aunque los diámetros fueron inferiores en un 82.42, 82.71 y 83% en comparación con el tratamiento T2 (70:30 H: A) del experimento.

Datos de Enríquez del Valle et al. (2023), al evaluar brotes de Agave angustifolia cultivados inicialmente en medio Murashige y Skoog y transferidos, después de nueve meses, a charolas de germinación con mezclas de turba (T) y perlita (P), obtuvieron plantas con una altura promedio de 7.09 cm. Este valor fue inferior al registrado en el tratamiento T5 (30:70 H: A) del presente estudio, que alcanzó una altura de 7.2 cm.

El estudio de Canseco-Santiago et al. (2024) obtuvieron in vitro plantas de A. americana var. oaxacensis mediante organogénesis de brotes adventicios las que transfirieron a sustrato y durante un año de crecimiento ex vitro en macetas con suelo agrícola y agua reportaron porcentajes de 9.8%, 2.04% y 33.3% en altura, diámetro y número de hojas superior al T1 (90:10 H: A).

Leal-Robles et al. (2024) al evaluar el crecimiento de plántulas de A. salmiana originadas de semillas establecidas en sustrato cosmopeat, después de nueve meses las plantas tuvieron 5.4 cm de diámetro que fue 94.25% superior al diámetro del tallo de las plantas en T2(70:30 H: A). La investigación de Sánchez-Mendoza y Bautista-Cruz (2024) obtuvieron plántulas de Agave angustifolia Haw. y después de 75 días se colocaron en bolsas de polietileno de 20 × 25 cm, que contenían con 9 kg de suelo y colocadas en charolas dentro de un vivero (malla sombra 25%) de 8 × 20 m, reportando una altura de 14.7 cm y diámetro de 6.2 cm superior en 51 y 67.7% al T5 (30:70 H: A).

Clorofila a, b y total (µg g-1)

Las plantas que presentaron más clorofila por unidad de peso fresco foliar fueron las que estuvieron en los sustratos con cantidad alta (60 a 90%) de humus. El mayor contenido de clorofila a (p≤ 0.05) se presentó en: T1 (90: 10 H: A) 20.4 mg g-1, T2 (70: 30 H: A) 23.24 mg g-1, T3 (60: 40 H: A) con 24.16 mg g-1, T4 (40:60 H: A) con 19.53 mg g y T5 (30: 70 H: A) 23.70 mg g-1, excepto en el T6 (10:90 H: A) 10. 58 (mg g-1) que registró el menor contenido de clorofila a.

En cuanto clorofila b (p≤ 0.05) el mayor contenido lo obtuvieron las plantas del T3 (60: 40 H: A) con 49.82 mg g-1 y T4 (40:60 H: A) con 48.28 mg g-1, siendo estadísticamente similar (p≤ 0.05) a T1 (90: 10 H: A), T2 (70: 30 H: A) y T5 (30:70 H: A); en tanto, el menor contenido en clorofila b lo obtuvieron las plantas del T6 (10:90 H: A). En cuanto a clorofila total sobresalieron (p≤ 0.05) T3 (60:40 H: A) 73.94 mg g-1 y T4 (40:60 H: A) (71.97 mg g-1) siendo similar (p≤ 0.05) a T1 (90:10 H: A), T2 (70:30 H: A) y T5 (30:70 H: A); en contraste, el T6 (10:90 H: A) registró el contenido más bajo en clorofila total (Figura 2).

Figura 2

Figura 2. Determinación de clorofila a, b y total de A. salmiana en cada tratamiento. Medias con letras iguales no son estadísticamente diferentes (Tukey, α≤ 0.05).

2007-0934-remexca-16-08-e3906-gf2.png

De igual manera Ruiz et al. (2007), evaluaron durante un año plantas de Agave salmiana en invernadero con suelo de tipo Xerosol y riego a capacidad de campo reportaron en hojas 38.57 mg g-1 de clorofila a, 23.14 mg g-1, de clorofila b y 61.14 mg g-1 de clorofila total, resultando superior en clorofila a 37.3% e inferior 53.5 y 16.6% en clorofila b y total con respecto al T3 (60:40 H: A) de esta investigación. Al respecto Morales-Maldonado et al. (2022) plantas de A. salmiana en sustrato de humus de lombriz y tezontle (70:30) foliares de quitosano (1 mg L-1) durante un año para evaluar el crecimiento de plántulas de A. salmiana provenientes de semillas reportando 170.79 mg g de clorofila total 59% superior al T3 (60:40 H: A) en la presente investigación.

Biomasa seca (%)

El mayor contenido (p≤ 0.05) de biomasa seca de planta entera (16.32%), parte aérea (11.89%) y radicular (9.51%) se registró en el T6 (10:90 H: A), siendo similar estadísticamente (p≤ 0.05) al T2 (70:30 H: A), T3 (60:40 H: A), T5 (30:70 H: A) y al T4 (40:60 H: A) con excepción en la parte radicular; siendo el T1 (90:10 H: A), con el valor más bajo valor en biomasa de planta entera, parte aérea y radicular (Figura 3).

Figura 3

Figura 3. Contenido de biomasa de la planta entera, parte aérea y parte radicular de cada tratamiento. Medias con letras iguales no son estadísticamente diferentes (Tukey, α≤ 0.05).

2007-0934-remexca-16-08-e3906-gf3.png

De acuerdo con Morales-Maldonado et al. (2022) establecieron plantas de A. salmiana en sustrato de humus de lombriz y tezontle (70:30) y les aplicaron aspersiones foliares de quitosano (1 mg L-1). Transcurridos 12 meses reportaron en planta entera 1.8% de biomasa seca contra los 16.32% del T6 (10:90 H: A) citado en este trabajo. Con base a lo mencionado por Ríos-Ramírez et al. (2021) evaluaron plantas de Agave angustifolia de 18 meses de edad, establecidas en macetas con suelo franco-arenoso. La aplicación de la solución Steiner al 50% y 75% resultó en una biomasa seca foliar de 10.64 mg kg-1 y una biomasa radicular del 77.21%. Estos valores fueron inferiores al tratamiento T6 (10:90 H: A) del presente estudio, que alcanzó 10.8% en biomasa foliar y 87.6% en biomasa de raíz.

Nutrientes en tejido vegetal

En cuanto al contenido de nitrógeno (N) y fósforo (P) no se presentaron diferencias (p≤ 0.05) en los tratamientos evaluados; sin embargo, las plantas establecidas T2 (70:30 H: A) tuvieron 5.49% de potasio (k) datos similares (p≤ 0.05) a T1 (90: 10 H: A), T3 (60: 40 H: A), T4 (40:60 H: A) y T5 (30: 70 H: A) siendo el T6 (10:90 H: A) con el menor contenido en K. Mientras que en calcio (Ca) los porcentajes más altos (p≤ 0.05) se reportaron en T3 (60:40 H: A) 0.76%, T4 (40:60 H: A) 0.8% y T6 (10:90 H: A) 0.73% son similares (p≤ 0.05) a T1 (90: 10 H: A) y T2 (70:30 H: A) ocupando T5 (30:70 H: A) el contenido más bajo en Ca.

Con respecto al contenido de magnesio (mg) los valores más altos (p≤ 0.05) se registraron en T1 (90:10 H: A) 0.75% se reportan de igual forma a (p≤ 0.05) a T2 (70:30 H: A), T3 (60:40 H: A), T4 (40:60 H: A) y T5 (30:70 H: A); en contraste al T6 (10:90 H: A), que registro el valor más bajo en mg (Figura 4).

Figura 4

Figura 4. Contenido de elementos en hoja de los tratamientos evaluados. Medias con letras iguales no son estadísticamente diferentes (Tukey, α≤ 0.05).

2007-0934-remexca-16-08-e3906-gf4.png

Mientras que Ríos-Ramírez et al., (2021) evaluaron plantas de A. angustifolia de 18 meses de edad obtenidas de bulbillos de inflorescencia, establecida en macetas con suelo franco-arenosa. Las plantas a las que se les aplicó solución Steiner al 50 y 75% tuvieron 5.01% de N cantidad superior 97.3% al contenido de N de las plantas T4(40:60 H: A) y 16.2% de P superior 57.4% al T1(90:10 H: A).

De acuerdo con Castillejos-Reyes (2023) observaron la respuesta de hijuelos de agave rizomatosos de 7 a 8 meses de edad fertilizados con 100 g de Osmocote plus, registraron un contenido de 2 730 mg kg-1 de K y 391 mg kg-1 de Ca superiores a los registrados en el presente trabajo. Estos resultados pueden deberse al bajo aprovechamiento de los fertilizantes en campo debido a pérdidas por lixiviación, microrganismos y retención por otras plantas, lo que provoca problemas en la constitución interna de la planta.

Conclusiones

Las mezclas de humus y arena estimulan el crecimiento de plántulas de maguey provenientes de semillas, en particular las plantas que se establecieron en la mezcla de humus: arena (70:30) que sobresalieron en variables agronómicas, clorofila, biomasa seca y elementos en hoja por lo que dicha proporción es una alternativa que puede utilizarse por productores de agave en la región de Huichapan, Hidalgo y áreas de influencia para promover el crecimiento de plantas de agave.

Agradecimientos

Al Tecnológico Nacional de México (TECNM) por financiar el proyecto de investigación del maguey, a la cooperativa Nana Ya Ahí por la donación de los sustratos y a la Secretaría de Desarrollo Agropecuario (SEDAGRO).

Bibliografía

1 

Arrazola-Cárdenas, L.; García-Nava, J. R.; Robledo-Paz, A.; Ybarra-Moncada, M. C. y Muratalla-Lúa, A. 2020. Sustratos y dosis de fertirrigación en la acumulación de azúcares totales y el crecimiento de Agave salmiana (Asparagaceae). Polibotánica. 50(25):109-118. https://doi.org/10.18387/polibotanica.50.8.

2 

Canseco-Santiago, D. E.; Del Valle, J. R. E.; Rodríguez-Ortiz, G.; Rodríguez-Vásquez, M. E.; García-Aguilar, J. A. y Pérez-Félix, G. P. 2024. Desarrollo de Agave americana var. oaxacensis por efecto de nutrición orgánica, fertirriego y bencilaminopuruna: desarrollo de agave. Revista Mexicana de Agroecosistemas. 11(2):126-135. https://doi.org/10.60158/rma.v11i2.431.

3 

Cardoza-Viera, A.; Arévalo-Valladolid, D.; Javier-Alva, J.; Peña-Castillo, R.; Chanduví-García, R.; Quiroz-Calderón, M.; Álvarez-Bernaola, L.; Galecio-Julca, M.; Calero-Merino, M. y Morales-Pizarro, A. 2024. Sustratos orgánicos alternos en la germinación y crecimiento inicial de plántulas de maíz (Zea mays L.) en condiciones de vivero. Terra Latinoamericana. 42(1):1-11e1867. https://doi.org/10.28940/terra.v42i0.1867.

4 

Castillejos-Reyes, C.; Bautista-Cruz, A.; Sánchez-Mendoza, S. y Quiñones-Aguilar, E. E. 2023. Respuesta de agave coyote (Agave spp.) a la aplicación de fertilizantes de liberación lenta en condiciones de campo. Response of agave coyote (Agave spp.) to the application of slow-release fertilizers under field conditions. Revista Bio Ciencias. 10(1):e1431. 1-14. https://doi.org/10.15741/revbio.10.e1431.

5 

Chávez-Güitrón, L. E.; Salinas-Pérez, F. D. C.; Pérez-Salinas, E. A.; Caballero, J.; Vallejo-Zamora, A. y Sandoval-Zapotitla, E. 2019. Variación de caracteres epidérmico-foliares de Agave salmiana subsp. salmiana (Asparagaceae) en el centro de México. Botanical Sciences. 97(4):711-724. https://doi.org/10.17129/botsci.2159.

6 

Cruz-Vasconcelos, S. T.; Ramírez-Herrera, C.; Cruz-Huerta, N.; Gómez-Guerrero, A. and Reyes-Hernández, V. J. 2024. Through cultural practices and índole 3 butyric acid. Revista Fitotecnia Mexicana. 47(1):27-33. https://doi.org/10.35196/rfm.2024.1.27.

7 

Di-Rienzo, J.; Balzarini, M. G.; González, L. A.; Casanoves, F.; Tablada, E. M. y Robledo, C. W. 2010. INFOSTAT. Manual del Usuario. Grupo InfoStat, FCA. Universidad Nacional de Córdoba. 1 Ed. Editorial Brujas Argentina. software para análisis estadístico. 329 p. https://repositorio.catie.ac.cr/handle/11554/10346.

8 

Enríquez-Valle, J. R.; Chávez-Cruz, I. L.; Rodríguez-Ortiz, G. y Campos-Ángeles, G. V. 2023. Vitroplantas de Agave angustifolia Haw. Obtenidas en ambientes de incubación contrastantes, aclimatadas en diferentes sustratos. Revista Fitotecnia Mexicana. 46(3):291-298. https://doi.org/10.35196/rfm.2023.3.298.

9 

Enríquez-Valle, J. R.; Estrada-Silias, A.; Rodríguez-Ortiz, G.; Velasco-Velasco, V. A. y Campos-Ángeles, G. V. 2013. Sustrato y dosis de fertirriego en la aclimatización de vitroplantas de Agave americana var. oaxacencis. Revista de la Facultad de Ciencias Agrarias. Universidad Nacional de Cuyo. 45(2):341-348. https://www.scielo.org.ar/pdf/refca/v45n2/v45n2a26.pdf.

10 

Flores-Morales, A.; Chávez-Ávila, V. M. y Jiménez-Estrada, M. 2021. Evaluación de una alternativa de propagación de maguey pulquero (Agave salmiana) variedad púa larga. Revista Mexicana de Agroecosistemas. 8(1):46-58. ISSN:2007-9559.

11 

García, A. V.; Fernández, M. M. A.; Chulim, N. G. E.; Torres, E. O.; Juárez, J. R. y Ramírez, A. M. 2016. El maguey pulquero, una planta multifuncional y polifacética: los usos desde una visión mestiza e indígena. Scripta Ethnologica. 38(1):65-87. https://www.redalyc.org/journal/148/14849184004/.

12 

García-Mendoza, A. J.; Franco-Martínez, I. S. y Sandoval-Gutiérrez. D. 2019. Cuatro especies nuevas de Agave (Asparagaceae, Agavoideae) del sur de México. Acta Botanica Mexicana. 126(1):e1461-1-18. Doi: 10.21829/ abm126.2019.1461.

13 

Guillén, P. I. V.; Sumba, W. A. T.; Quiróz, P. H. C. y Haro, C. A. P. 2024. Efecto de tres sustratos y dos fórmulas de fertilizantes en el crecimiento de plántulas de cacao (Theobroma cacao L.), Naranjal, provincia del Guayas. SATHIRI. 19(2):164-177.

14 

Hiscox, J. D. and Israelstam, G. F. 1979. A method for the extraction of chlorophyll from leaf tissue without maceration. Canadian Journal of Botany. 57(12):1332-1334. https://doi.org/10.1139/b79-163.

15 

Leal-Robles, A. I.; Méndez-Lopez, A.; Hidalgo-De León, A.; Pérez-Rivera, M. F. y Núñez-Colima, J. A. 2024. Efecto del compost con bagazo de lechuguilla en el crecimiento de Agave salmiana. Ecosistemas y Recursos Agropecuarios. 11(4):1-10. https://doi.org/10.19136/era.a11nIV.4066.

16 

Luna-Morales, C. D. C. 2002. Ciencia conocimiento tradicional y etnobotánica. Etnobiología. 2(1):120-136. https://revistaetnobiologia.mx/index.php/etno/article/view/51/51.

17 

Morales, A. F.; Hidalgo, C. E.; Pérez, F. S.; Aguilar, L. R. y Luna, J. R. 2009. Mecanismos de conservación y uso del maguey pulquero Agave salmiana en el Altiplano Mexicano. SOMAS AC. 6(1):1-10. https://www.academia.edu/3635993/Agave.

18 

Morales-Maldonado, E. R.; Ramírez-Otero, Z. M.; Cruz-Álvarez, O.; Hernández-Rodríguez, O. A. y Ojeda-Barrios, D. L. 2022. Aplicación foliar de quitosano en plántulas de Agave salmiana y su respuesta en algunos parámetros morfofisiológicos. Terra Latinoamericana. 40(1-7):e1571-1-7. https://doi.org/10.28940/terra.v40i0.1571.

19 

Ríos-Ramírez, S. D. C.; Enríquez-Valle, J. R.; Rodríguez-Ortiz, G.; Ruíz-Luna, J. y Velasco-Velasco, V. A. 2021. El crecimiento de Agave angustifolia Haw. con relación a la condición nutrimental. Revista Mexicana de Ciencias Agrícolas. 12(5):865-873. https://www.scielo.org.mx/pdf/remexca/v12n5/2007-0934-remexca-12-05-865.pdf

20 

Robles, A. I. L.; López, A. M.; León, A. H.; Rivera, M. F. P. y Colima, J. A. N. 2024. Efecto del compost con bagazo de lechuguilla en el crecimiento de Agave salmiana. Ecosistemas y Recursos Agropecuarios. 11(4):1-10. https://doi.org/10.19136/era.a11nIV.4066 .

21 

Ruiz, G. S.; Peña-Valdivia, C. B.; Trejo, L. y Sánchez, A. B. 2007. Reacción fisiológica del maguey (Agave salmiana Otto ex Salm-Dyck) a la sequía intermitente. Revista de la Facultad de Agronomía Luz. 24(1):318-325. https://www.revfacagronluz.org.ve/PDF/supl-mayo-2007/v24supl54.pdf .

22 

Sánchez-Licona, A.; Rivera-Ramírez, J. M. y Velázquez-Cigarroa, E. 2024. Management and cultural preservation of maguey (Agave salmiana var. salmiana) in San Mateo Tlajomulco, Hidalgo. Textual. 83(1):137-171 Doi: https://doi.org/10.5154/r.textual/2023.83.06.

23 

Sánchez-Mendoza, S. y Bautista-Cruz, A. 2024. Respuesta de Agave potatorum Zucc a dos dosis de fertilizante de liberación lenta y reguladores de crecimiento. Fertilización en Agave potatorum. Revista Bio Ciencias. 11(1):1-18. https://doi.org/10.15741/revbio.11.e1661.

24 

Sokal, R. R. and Rohlf, F. J.1995. Biometry, 3rd Ed. W.H. Freeman, New York. 915 p. ISBN-13:978-0-7167-8604-4. https://archive.org/details/biometryprincipl00soka/mode/2up.