DOI: https://doi.org/10.29312/remexca.v16i7.3874

elocation-id: e3874

Nieto-Flores, Barrales-Domínguez, Trejo-Téllez, and Gómez-Merino: Dry matter accumulation and partitioning in three varieties of amaranth

Journal Metadata

Journal Identifier: remexca [journal-id-type=publisher-id]

Journal Title Group

Journal Title (Full): Revista mexicana de ciencias agrícolas

Abbreviated Journal Title: Rev. Mex. Cienc. Agríc [abbrev-type=publisher]

ISSN: 2007-0934 [pub-type=ppub]

Publisher

Publisher’s Name: Instituto Nacional de Investigaciones Forestales, Agrícolas y Pecuarias

Article Metadata

Article Identifier: 10.29312/remexca.v16i7.3874 [pub-id-type=doi]

Article Grouping Data

Subject Group [subj-group-type=heading]

Subject Grouping Name: Articles

Title Group

Article Title: Dry matter accumulation and partitioning in three varieties of amaranth

Contributor Group

Contributor [contrib-type=author]

Name of Person [name-style=western]

Surname: Nieto-Flores

Given (First) Names: José Bernardo

X (cross) Reference [ref-type=aff; rid=aff1]

Superscript: 1

Contributor [contrib-type=author]

Name of Person [name-style=western]

Surname: Barrales-Domínguez

Given (First) Names: José Sergio

X (cross) Reference [ref-type=aff; rid=aff2]

Superscript: 2

Contributor [contrib-type=author]

Name of Person [name-style=western]

Surname: Trejo-Téllez

Given (First) Names: Libia Iris

X (cross) Reference [ref-type=aff; rid=aff1]

Superscript: 1

Contributor [contrib-type=author]

Name of Person [name-style=western]

Surname: Gómez-Merino

Given (First) Names: Fernando Carlos

X (cross) Reference [ref-type=aff; rid=aff1]

Superscript: 1

X (cross) Reference [ref-type=corresp; rid=c1]

Superscript: §

Affiliation [id=aff1]

Label (of an Equation, Figure, Reference, etc.): 1

Institution Name: in an Address: Colegio de Postgraduados- Campus Montecillo. Carretera México-Texcoco km 36.5, Montecillo, Texcoco, Estado de México, México. CP. 56264. Tel. 595 9520200, ext. 1188. (nieto.bernardo@colpos.mx; tlibia@colpos.mx). [content-type=original]

Institution Name: in an Address: Campus Montecillo [content-type=orgdiv1]

Institution Name: in an Address: Colegio de Postgraduados [content-type=orgname]

Address Line

City: Montecillo

State or Province: Texcoco

Postal Code: 56264

Country: in an Address: México [country=MX]

Affiliation [id=aff2]

Label (of an Equation, Figure, Reference, etc.): 2

Institution Name: in an Address: Departamento de Fitotecnia-Universidad Autónoma Chapingo. Carretera México-Texcoco km 38.5, Chapingo, Texcoco, Estado de México, México. CP. 56227. Tel. 595 9521500, ext. 6284. (jbarralesd@chapingo.mx). [content-type=original]

Institution Name: in an Address: Departamento de Fitotecnia [content-type=orgdiv1]

Institution Name: in an Address: Universidad Autónoma Chapingo [content-type=orgname]

Address Line

City: Chapingo

State or Province: Texcoco

Postal Code: 56227

Country: in an Address: México [country=MX]

Author Note Group

Correspondence Information: [§] Autor para correspondencia: fernandg@colpos.mx. [id=c1]

Publication Date [date-type=pub; publication-format=electronic]

Day: 14

Month: 11

Year: 2025

Publication Date [date-type=collection; publication-format=electronic]

Season: Oct-Nov

Year: 2025

Volume Number: 16

Issue Number: 7

Electronic Location Identifier: e3874

History: Document History

Date [date-type=received]

Day: 1

Month: 07

Year: 2025

Date [date-type=accepted]

Day: 1

Month: 10

Year: 2025

Permissions

License Information [license-type=open-access; xlink:href=https://creativecommons.org/licenses/by-nc/4.0/; xml:lang=es]

Este es un artículo publicado en acceso abierto bajo una licencia Creative Commons

Abstract

Title: Abstract

The revaluation of amaranth crops has a significant boom as a food of great value in human nutrition and a greater presence in the diet of the Mexican population and other countries. This study aimed to determine the dynamics of dry matter accumulation and partitioning by morphological organ in three varieties of amaranth (Amaranthus hypochondriacus L.): Areli, Diego and PQ2. An experiment was established in a completely randomized experimental design with four replications, under rainfed field conditions in the experimental field of Phytotechnics of the Chapingo Autonomous University, during the spring-summer cycle of 2023. From day 21 after the emergence, 17 whole plant samplings were performed every seven days, divided by organs and dried for the determination of dry biomass. The data were subjected to an analysis of variance (α= 0.05) and a comparison of means test (Tukey, α= 0.05). Of the total dry biomass, roots accounted for about 11%, stems ranged from 43 to 60%, and leaves made up about 32% of the total. Dry grain biomass accounted for about 11.2, 17.2 and 19% of total dry biomass in Areli, Diego and PQ2, respectively. Statistically significant differences were observed in the development of the three varieties. Diego and PQ2 showed greater accumulation of dry matter compared to Areli, under limited soil moisture conditions caused by low precipitation during the cycle.

Keyword Group [xml:lang=en]

Title: Keywords:

Keyword: Amaranthaceae

Keyword: grain yield

Keyword: pseudocereal

Keyword: total biomass

Counts

Figure Count [count=8]

Table Count [count=0]

Equation Count [count=2]

Reference Count [count=20]

Abstract

The revaluation of amaranth crops has a significant boom as a food of great value in human nutrition and a greater presence in the diet of the Mexican population and other countries. This study aimed to determine the dynamics of dry matter accumulation and partitioning by morphological organ in three varieties of amaranth (Amaranthus hypochondriacus L.): Areli, Diego and PQ2. An experiment was established in a completely randomized experimental design with four replications, under rainfed field conditions in the experimental field of Phytotechnics of the Chapingo Autonomous University, during the spring-summer cycle of 2023. From day 21 after the emergence, 17 whole plant samplings were performed every seven days, divided by organs and dried for the determination of dry biomass. The data were subjected to an analysis of variance (α= 0.05) and a comparison of means test (Tukey, α= 0.05). Of the total dry biomass, roots accounted for about 11%, stems ranged from 43 to 60%, and leaves made up about 32% of the total. Dry grain biomass accounted for about 11.2, 17.2 and 19% of total dry biomass in Areli, Diego and PQ2, respectively. Statistically significant differences were observed in the development of the three varieties. Diego and PQ2 showed greater accumulation of dry matter compared to Areli, under limited soil moisture conditions caused by low precipitation during the cycle.

Keywords

Amaranthaceae, grain yield, pseudocereal, total biomass.

Introduction

Amaranth (Amaranthus hypochondriacus L.) is strategic for human food. Its grain has a higher concentration of proteins and less carbohydrates than corn, rice and wheat grains. Its leaves, which are consumed as a vegetable, exceed the nutritional values of spinach in protein (1.4 vs 0.7 g 100 g-1), calcium (200 vs 100 mg 100 g-1), phosphorus (70 vs 50 mg 100 g-1), iron (12 vs 4 mg 100 g-1) and ascorbic acid or vitamin C (42 vs 30 mg 100 g-1) (Matías-Luis et al., 2018). The popped grain provides about 71% of carbohydrates; without being a fabaceous, it provides 13.5% of protein, and without being an oilseed, it contains 8.2% of fats; likewise, it provides 292 mg of calcium, 517 mg of phosphorus, and 1.6 mg of iron per 100 g of popped amaranth consumed (Espitia-Rangel, 2012). This grain also contains squalene and folic acid (Barrales-Domínguez et al., 2010).

Extreme environmental conditions aggravated by climate change have imposed new limitations on national agriculture (Murray-Tortarolo, 2021) and specifically, on amaranth cultivation (Matías-Luis et al., 2018). Nevertheless, given that Mexico and Central America are considered centers of origin and domestication of several species of the genus Amaranthus (Aguilera-Cauich et al., 2021), there is a wide genetic diversity that would potentially allow the selection of outstanding genotypes and the establishment of genetic improvement plans (Martínez-Salvador, 2016). Recently, Salvador-Martínez et al. (2024) evaluated 43 genotypes of different amaranth species and found great similarity in the nutritional value for consumption as a vegetable. In addition, the genetic improvement program of the varieties considered in this study has generated genotypes with better resistance to droughts and hailstorms (SNICS, 2019).

However, this crop is not very technified, and detailed studies are required to develop better practices and management of inputs, such as fertilizers, to increase its growth, production and productivity (Romero-Romano et al., 2017). The growth of a plant is due to two main factors: cell division and cell elongation. To achieve this, the plant requires various molecules that are produced during photosynthesis. Dry matter accumulation is a criterion used to measure the growth and development of a plant, which was reflected in the final yield (Taiz et al., 2023). Understanding the process of biomass accumulation by organs is essential to improve crop productivity, especially under limiting climate and soil conditions (Cai et al., 2023).

The purpose of this study was to determine the dynamics of accumulation and partitioning of dry matter by morphological organ in three varieties of amaranth (A. hypochondriacus), under a rainfed production system. The hypothesis to be tested is that each of the three amaranth varieties behaves differently with respect to the dynamics of accumulation and partitioning of dry matter by morphological organ.

Materials and methods

Experimental site

The experiment was established in Lot X-16 of the Experimental Agricultural Field of Phytotechnics (CAEF, for its acronym in Spanish) of the Chapingo Autonomous University (UACH), for its acronym in Spanish, located in Chapingo, State of Mexico, Mexico (19° 29’ 30.1986” north latitude, 98° 52’ 41.469” west longitude, at 2 240 m altitude). The soil of the experimental lot had a pH of 7.3, electrical conductivity of 0.247 dS m-1, 0.68% organic matter, 0.1% N, 12 mg NO3 - kg-1, cation exchange capacity of 17.93 cmol(+) kg-1, and a sandy clay loam textural class.

Plant material

The amaranth (A. hypochondriacus L.) varieties used were Areli, Diego and PQ2. These varieties have the breeder’s titles 2150, 215 and 2152, respectively, issued by the Secretariat of Agriculture and Rural Development (SADER), for its acronym in Spanish in favor of the UACH. According to Barrales-Domínguez et al. (2010), some of the most outstanding characteristics of these varieties are the following.

In the seedling stage, the Areli variety is reddish green and in flowering, it is dark green; at high population densities (≥10 plants m-2), a single stem dominates. At low population densities, it branches from the base, with an inflorescence that is green when emerging, then turns brown and ends in light pink, which intensifies with grain filling. This variety can reach 50% of flowering between 80 and 105 days after emergence (dae) and maturation at harvest between 150 and 170 dae, with a final height of 180 to 220 cm, and white grain.

Diego is a variety that is reddish green in the seedling stage and dark green in flowering. With high population densities (≥10 plants m-2), a single stem dominates. At low population densities, it branches little, with a purple inflorescence. Diego can achieve 50% of flowering between 80 and 100 dae and maturation at harvest at 150 dae, with a final height between 160 and 220 cm, and white grain.

PQ2 is a variety that is green both in seedling and flowering. At high population densities (≥10 plants m-2), a single stem dominates. At low population densities, it branches from the base, with a light green inflorescence. PQ2 can reach 50% flowering between 85 and 105 dae, and maturation at harvest between 150 and 170 dae, with a final height of 180 to 250 cm, and white grain.

Agronomic crop management

The establishment of the experiment began with the preparation of the land: fallowing, harrowing and furrowing at 80 cm. The sowing was done with a manual seeder adapted for amaranth seed. At 10 and 24 dae, the first weeding and thinning to a population density of 100 000 plants ha-1 were carried out. At 26 dae, together with the first weeding, a basal fertilization of 40 kg N ha-1 (from urea) and 20 kg P ha-1 (from diammonium phosphate) was applied. The second weeding was carried out 34 dae. Once harvest maturity was reached, the plant was cut from ground level, and threshing was subsequently performed. The weeding was done manually, approximately every four weeks until harvest maturity was reached.

Experimental unit and design

The treatments to be tested were the three varieties of amaranth: Areli, Diego and PQ2. Three experimental units were established, with four randomized replications, each with 12 furrows for Areli, 20 furrows for PQ2 and 24 furrows for Diego, all 50 m long. A completely randomized experimental design was drawn. The choice of surface area was determined by the availability of space and seed, ensuring that there was enough plant to perform the necessary samplings.

Weekly accumulated precipitation and average temperatures

To measure the weekly rainfall, a rain gauge was adapted with a funnel. With the catchment area and the weekly volume, the pertinent calculations were made using the following formula:

P = V / A

Where: P= weekly accumulated precipitation (mm); V= weekly volume (L), and A= funnel area (m2). For the study period, the maximum temperature ranged between 24 and 28 °C and the minimum between 11 and 13 °C.

Dry biomass

From day 14 after emergence, 17 whole plant samplings were carried out in each of the three varieties at seven-day intervals with four replications in each case, in which four plants were taken per sampling. The following phenological phases were considered in the sampling: vegetative [V3 (23 dae), V4 (28 dae), V5 (35 dae), V6 (42 dae), and V7 (49 dae)], panicle initiation [R1 (56 dae), R1.3 (63 dae), R1.5 (70 dae), and R2 (77 dae)], panicle end [R3 (84 dae)], anthesis [R4 (91 dae) and R4.7 (98 dae)], grain filling [R5 (105 dae)], milky grain (112 dae), doughy grain (119 dae), physiological maturity [R6 (126 dae)] and harvest maturity [R7 (133 dae)] (Aguilar-Delgado et al., 2018). The plants were sectioned by organs, subjected to drying to constant weight for 72 h at 72 °C in a forced-air oven (Riossa, HCF-125D, Monterrey, NL., Mexico). Once dried and with a constant weight, the samples were weighed on an analytical balance (Adventurer Pro AV213C, Ohaus; Parsippany, NJ, USA). The accumulation of total dry biomass was analyzed as an indicator of the general growth of the plant.

Data analysis

The data obtained was subjected to an analysis of variance (α= 0.05) and the means were compared by Tukey’s test (α= 0.05) with the statistical package of Sas 9.4 (SAS Institute, 2010).

Results and discussion

Accumulation of dry root biomass

The dynamics of dry biomass accumulation in roots throughout the biological cycle shows a similar behavior during crop establishment, with slow growth in the first 56 dae, followed by accelerated growth (Figure 1A). During the crop cycle, there was a total of 228 mm of rainwater, a value that was considered low, which is associated with the slow initial growth observed in the crop.

Figure 1

Accumulation of dry biomass in root (A); stem (B) and leaves (C) of three varieties of amaranth (Amaranthus hypochondriacus L.) during the biological cycle. Means with different letters between varieties in each assessment indicate statistically significant differences (Tukey, p < 0.05).

2007-0934-remexca-16-7-e3874-gf1.png

In the initial stages and at one point of grain filling, the Areli variety had less root biomass than Diego and PQ2 at 35, 56 and 63 dae and than Diego at 28, 42, 49 and 105 dae. After the peak of root biomass accumulation, all three varieties showed a reduction with respect to this variable (Figure 1A). This decrease can be attributed to the reduction in the translocation of photoassimilates to the roots to direct them to the grain, which occurs when the plant reaches physiological maturity (León-Burgos et al., 2021). Although, in general, the three varieties showed similarity, Diego and PQ2 were more similar in the accumulation of dry biomass in the root, with a statistical difference only at 105 dae.

Before 98 dae, a hailstorm affected the crop, which could have activated survival mechanisms that include catabolic processes in which the degradation of proteins, nucleic acids, or polysaccharides are involved (Martínez-González et al., 2017), which reduces the accumulation of dry matter (Jarma-Orozco et al., 2012). Between 98 and 105 dae, the Diego and Areli varieties showed a slight decrease in dry root biomass. This reduction is associated with the loss of moisture in the soil, which represented a water deficit for the crop, which accelerates the death of many of its branches. This period is critical for the crop because it coincides with the days after floral induction and the beginning of grain formation. At the end of the biological cycle, no significant differences were observed in the weights of dry root biomass among the varieties evaluated. In all three varieties, this variable decreased (Figure 1A), which implied a possible translocation of reserves from the root to the aerial part of the plant (Taiz et al., 2023) induced by physiological maturity.

Accumulation of dry biomass in stem

The stem is the support of a plant and contains the main conductance tissues. The behavior of dry biomass accumulation in the stems of the three amaranth varieties evaluated, as in the root, showed a slow growth up to 56 dae, with no significant differences between the Diego and PQ2 varieties, compared to Areli (Figure 1B). Then, between 56 and 84 dae, an accelerated accumulation of dry biomass in stems was observed, reaching on average, around 60 g of dry matter, which marks a stage of rapid growth. Subsequently, the growth in dry biomass accumulation differed until the end of the cycle, mainly between the Diego and Areli varieties, with 107.3 and 103.9 g at 126 and 133 dae, respectively (Figure 1B). This decline, as in the root, can be attributed to translocation processes due to a previous hailstorm, presenting survival mechanisms which involve the degradation of proteins, nucleic acids, or polysaccharides (Martínez-González et al., 2017). This showed the resilience of amaranth, with a metabolic adjustment response to the damage, and a good recovery (Riggins et al., 2021). These biomass reduction behaviors at the end of the cycle in the varieties, at 133 dae, is due to senescence, reducing their photosynthetic capacity and using the remaining reserves to translocate them to demand organs, such as grains (Martínez-González et al., 2017).

Accumulation of dry biomass in leaves

A plant’s leaves are the main source of photoassimilates, which allow the plant to grow and develop. The dynamics of biomass accumulation in leaves of the three amaranth varieties evaluated in this research can be observed in (Figure 1C). As in the other organs, amaranth leaves showed a slow growth up to 56 dae. Between 56 and 84 dae, an accelerated growth was observed in the three varieties, reaching an average of around 30 g of dry matter. In this period, there were no statistical differences between the three varieties evaluated. Subsequently, a stabilization follows until 126 dae, in which they reached an average of 30 g.

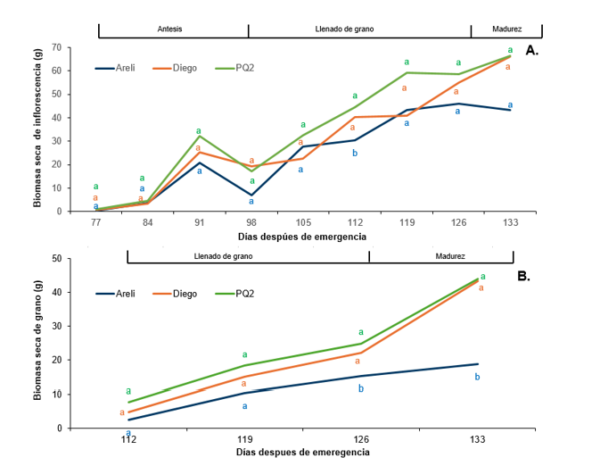
Accumulation of dry biomass in inflorescence

Floral induction in the evaluated varieties occurred at 63 dae, and the first biomass sampling at 77 dae (Figure 2A).

Figure 2

Accumulation of dry biomass in inflorescence (A) and grain (B) of three varieties of amaranth (Amaranthus hypochondriacus L.) during the biological cycle. Means with different letters between varieties indicate statistically significant differences (Tukey, p < 0.05).

2007-0934-remexca-16-7-e3874-gf2.png

The three varieties showed accelerated growth of the panicle, reaching a dry biomass weight of 32.1, 25.3 and 20.8 g in PQ2, Diego and Areli, respectively, at 91 dae. Then, between 91 and 98 dae, there were hailstorms , which significantly reduced the accumulation of dry biomass in the inflorescences (Figure 2A). This represents a direct impact on yield since the panicle was in full growth. Nonetheless, the three materials evaluated recovered and subsequently showed accelerated growth; on average, the weight of dry biomass of panicle was 36.4 g, with no significant differences between them (Figure 2A).

Accumulation of dry biomass in grain

The beginning of grain filling occurred 105 dae, and milky grains could be observed at 112 dae. This was consistent in all three varieties. From 119 dae, doughy grains were recorded, reaching physiological maturity at 133 dae, which was the last sampling. In the three varieties, similar trends were observed in the accumulation of dry matter in grains, which were constant and increasing until 133 dae. Between 126 and 133 dae, there were increases in dry grain biomass weights of 76.7% in PQ2, 96.4% in Diego and 22.1% in Areli. The latter variety was significantly lower in this variable than Diego and PQ2 at 126 and 133 dae (Figure 2B).

Total dry biomass accumulation

The results presented here show a significant decrease in the weights of dry root, leaf, and stem biomass at 112 dae, which influence the total dry biomass (Figure 3). In contrast, this decrease was of lesser magnitude in the inflorescence, particularly in Diego and PQ2. This is because plants seek to perpetuate their species through different mechanisms, including greater reproductive efficiency (Lustre-Sánchez, 2022). Like the sessile plant, amaranth is drastically affected by abiotic environmental factors, such as droughts, frosts, or hailstorms (Martínez-González et al., 2017).

Figure 3

Proportion of dry biomass (root, stem, leaf, inflorescence and grain) to the total biomass in three varieties of amaranth (Amaranthus hypochondriacus L.) during the biological cycle.

2007-0934-remexca-16-7-e3874-gf3.png

Up to 56 dae, a low accumulation of total dry biomass was recorded in the three varieties evaluated (Figure 4). On the contrary, from 84 dae, dry biomass increased significantly. Despite the two periods of drought recorded (at 76 and 104 dae) and the hailstorm (occurring at 98 dae), the constant accumulation of total dry biomass demonstrated the resilience of this species.

Figure 4

Total dry biomass accumulation of three varieties of amaranth (Amaranthus hypochondriacus L.) during the biological cycle. Means with different letters between varieties indicate statistically significant differences (Tukey, p < 0.05).

2007-0934-remexca-16-7-e3874-gf4.png

There were differences in growth between the three varieties. Between 91 and 98 dae, a drop in dry matter accumulation was observed in the Areli and PQ2 varieties, which coincides with the phenological phase of anthesis. Between 98 and 133 dae, dry matter accumulation was positive in the three varieties, whereas, from 119 dae, a decreasing trend in dry matter accumulation was observed again in the Areli and PQ2 varieties; in this sampling, the beginning of senescence was evident given the loss of leaves that was recorded (Figure 3).

Senescence was characterized by the absence of biosynthesis of photoassimilates, but in these varieties, the development of the grain continued, which implied translocation of nutrients and biomolecules towards this demand organ. At the end of the biological cycle (133 dae), the highest total biomass was recorded in Diego, followed by PQ2 with 242.2 g on average, statistically surpassing Areli, which reached 167.5 g.

When analyzing dry matter partitioning, the following stood out: in the three varieties, about 11% of the dry biomass corresponded to the root. This value was maintained throughout the cycle (Figure 4). At 84 dae, the stem showed to be the structure with the highest biomass of the plant, representing 46% of the total dry biomass in Diego, 43% in Areli, and 60% in PQ2 (Figure 4). The appearance of floral organs reduced the dry biomass of leaves, which must have implied processes of photosynthate translocation from the source organ (leaf) to the demand organ (flower) (Rosado-Souza et al., 2023).

Finally, the grain showed an accelerated growth in the final part of the cycle, representing the highest demand in the plant and accumulating most of the photoassimilates produced after 105 dae. At the end of the cycle (133 dae), the dry biomass of the grain accounted for about 11.2, 17.2, and 19% of the total dry biomass in Areli, Diego, and PQ2, respectively (Figure 4). In the Revancha amaranth variety, the grain represented 20.1% of the total dry biomass (Monroy-Pedroza et al., 2021), a value close to that shown by the PQ2 variety in this study. The inflorescence is a demand organ that has a constant growth since 70 dae and even in the period of grain development, reaching a percentage of 29 of the total for PQ2 and around 26 for Areli and Diego at 126 dae (last evaluation).

Conclusions

This study demonstrated that the three varieties of amaranth (Amaranthus hypochondriacus L.) evaluated, Areli, Diego and PQ2, showed some differences and some similarities in growth and accumulation of dry matter. Regarding dry stem and grain biomass, the Areli variety was the one with the lowest average values compared to Diego and PQ2. At the end of the cycle, Diego and PQ2 showed greater accumulation of dry matter compared to Areli. However, in the three varieties, it was observed that the vegetative stage up to 63 dae was characterized by slow growth, followed by accelerated growth in the reproductive phase until anthesis at 91 dae and finally, a stabilization of growth to maturity at harvest at 133 dae.

Acknowledgements

To the National Council of Humanities, Sciences, and Technologies (CONAHCYT), for its acronym in Spanish for the Master of Science scholarship awarded to José Bernardo Nieto-Flores and F. To the Chapingo Autonomous University for the support provided.

Bibliography

1 

     

Aguilar-Delgado, M. J.; Acosta-García, G.; Espitia-Rangel, E.; González-Chavira, M. M.; Lozano-Sotomayor, P.; Folter, S.; Sánchez-Segura, L.; Barrales-López, A. and Guevara-Olvera, L. 2018. Indeterminate and determinate growth habit in Amaranthus hypochondriacus. Agrociencia. 52(5):695-711. https://agrociencia-colpos.org/index.php/agrociencia/article/view/1698.

   

2 

     

Aguilera-Cauich, E. A.; Solís-Fernández, K. Z.; Ibarra-Morales, A.; Cifuentes-Velásquez, R. y Sánchez-del Pino, I. 2021. Amaranto: distribución y diversidad morfológica del recurso genético en partes de la región Maya sureste de México, Guatemala y Honduras. Acta Botánica Mexicana. 128:1-14. https://doi.org/10.21829/abm128.2021.1738.

   

3 

     

Barrales-Domínguez, J. S.; Barrales-Brito, E. y Barrales-Brito, E. 2010. Amaranto: recomendaciones para su producción. Plaza y Valdés. Universidad Autónoma Chapingo (UAC). Fundación Produce Tlaxcala, AC. 168 p.

   

4 

     

Cai, F.; Mi, N.; Ming, H.; Zhang, Y.; Zhang, H.; Zhang, S.; Zhao, X. and Zhang, B. 2023. Responses of dry matter accumulation and partitioning to drought and subsequent rewatering at different growth stages of maize in Northeast China. Frontiers in Plant Science. 14:1-15. https://doi.org/10.3389/fpls.2023.1110727.

   

5 

     

Espitia-Rangel, E. 2012. Amaranto: ciencia y tecnología. Instituto Nacional de Investigaciones Forestales, Agrícolas y Pecuarias (INIFAP). Celaya, Guanajuato, México. 384 p.

   

6 

     

Jarma-Orozco, A.; Cardona, A. C. y Araméndiz, T. H. 2012. Efecto del cambio climático sobre la fisiología de las plantas cultivadas: una revisión. Revista UDCA. Actualidad y Divulgación Científica. 15(1):63-76. https://doi.org/10.31910/rudca.v15.n1.2012.803.

   

7 

     

León-Burgos, A. F.; Beltrán-Cortes, G. Y.; Barragán-Pérez. A. L. and Balaguera-López, H. E. 2021. Distribution of photoassimilates in sink organs of plants of Solanaceas, tomato and potato. A review. Ciencia y Agricultura. 18(3):79-97. https://doi.org/10.19053/01228420.v18.n3.2021.13566.

   

8 

     

Lustre-Sánchez, H. 2022. Los superpoderes de las plantas: los metabolitos secundarios en su adaptación y defensa. Revista Digital Universitaria. 23(2):1-8. https://doi.org/10.22201/cuaieed.16076079e.2022.23.2.10.

   

9 

     

Martínez-González, M. E.; Balois-Morales, R.; Alia-Tejacal, I.; Cortes-Cruz, M. A.; Palomino-Hermosillo, Y. A. y López-Guzmán, G. G. 2017. Postcosecha de frutos: maduración y cambios bioquímicos. Revista Mexicana de Ciencias Agrícolas. 19(esp):4075-4087. https://doi.org/10.29312/remexca.v0i19.674.

   

10 

     

Martínez-Salvador, L. 2016. Seguridad alimentaria, autosuficiencia y disponibilidad del amaranto en México. Problemas del Desarrollo. 47(186):107-132. https://doi.org/10.1016/j.rpd.2016.08.004.

   

11 

     

Matías-Luis, G.; Hernández-Hernández, B. R.; Peña-Caballero, V.; Torres-López, N. G., Espinoza-Martínez, V. A. y Ramírez-Pacheco, L. 2018. Usos actuales y potenciales del amaranto (Amaranthus spp.). Journal of Negative and No Positive Results. 3(6):423-436. https://doi.org/10.19230/jonnpr.2410.

   

12 

     

Monroy-Pedroza, D.; Martínez-Hernández, J. J.; Gavi-Reyes, F.; Torres-Aquino, M. y Hernández-Ríos, I. 2021. Crecimiento, acumulación y distribución de materia seca en dos cultivares de amaranto (Amaranthus hypochondriacus y A. cruentus) bajo fertigación. Biotecnia. 23(3):14-21. https://doi.org/10.18633/biotecnia.v23i3.1399.

   

13 

     

Murray-Tortarolo, G. N. 2021. Seven decades of climate change across Mexico. Atmósfera. 34(2):217-226. https://doi.org/10.20937/ATM.52803.

   

14 

     

Riggins, C. W.; Barba-Rosa, A. P.; Blair, M. W. and Espitia-Rangel, E. 2021. Editorial. Amaranthus: naturally stress-resistant resources for improved agriculture and human health. Frontiers in Plant Science. 12:1-13. https://doi.org/10.3389/fpls.2021.726875.

   

15 

     

Romero-Romano, C. O.; Ocampo-Mendoza, J.; Sandoval-Castro, E.; Navarro-Garza, H.; Franco-Mora, O. y Calderón-Sánchez, F. 2017. Fertilización orgánica-mineral del cultivo de amaranto (Amaranthus hypochondriacus L.). Revista Mexicana de Ciencias Agrícolas. 8(12):1759-1771. https://doi.org/10.29312/remexca.v8i8.700.

   

16 

     

Rosado-Souza, L.; Yokoyama, R.; Sonnewald, U. and Fernie, A. R.2023. Understanding source-sink interactions: progress in model plants and translational research to crops. Molecular Plant. 16(1):96-121. https://doi.org/10.1016/j.molp.2022.11.015.

   

17 

     

Salvador-Martínez, G.; Ortiz-Torres, E.; Guerrero-Rodríguez, J. D.; Taboada-Gaytán, O. R.; Herrera-Corredor, J. A. y Gómez-Aldapa, J. A. 2024. Características composicionales de especies de amarantoizadas como verdura. Revista Mexicana de Ciencias Agrícolas. 15(8):e3094. https://doi.org/10.29312/remexca.v15i8.3094.

   

18 

     

SAS Institute. 2010. STAT-SAS, Version 9.4. SAS Institute, Cary, North Carolina, USA.

f  

19 

     

SNICS. 2019. Servicio Nacional de Inspección y Certificación de Semillas. Innovaciones Vegetales. SNICS: Ciudad de México. 2-3 pp. https://www.gob.mx/cms/uploads/attachment/file/545892/cat-innocaciones-veg-new.pdf.

   

20 

     

Taiz, L.; Moller, I. M.; Murphy, A. and Zeiger, E. 2023. Plant physiology and development. Seventh Ed. Sinauer Associates: Sunderland, MA, USA. 752 p.