DOI: https://doi.org/10.29312/remexca.v16i7.3874

elocation-id: e3874

Nieto-Flores, Barrales-Domínguez, Trejo-Téllez, and Gómez-Merino: Acumulación y partición de materia seca en tres variedades de amaranto

Journal Metadata

Journal Identifier: remexca [journal-id-type=publisher-id]

Journal Title Group

Journal Title (Full): Revista mexicana de ciencias agrícolas

Abbreviated Journal Title: Rev. Mex. Cienc. Agríc [abbrev-type=publisher]

ISSN: 2007-0934 [pub-type=ppub]

Publisher

Publisher’s Name: Instituto Nacional de Investigaciones Forestales, Agrícolas y Pecuarias

Article Metadata

Article Identifier: 10.29312/remexca.v16i7.3874 [pub-id-type=doi]

Article Grouping Data

Subject Group [subj-group-type=heading]

Subject Grouping Name: Artículos

Title Group

Article Title: Acumulación y partición de materia seca en tres variedades de amaranto

Contributor Group

Contributor [contrib-type=author]

Name of Person [name-style=western]

Surname: Nieto-Flores

Given (First) Names: José Bernardo

X (cross) Reference [ref-type=aff; rid=aff1]

Superscript: 1

Contributor [contrib-type=author]

Name of Person [name-style=western]

Surname: Barrales-Domínguez

Given (First) Names: José Sergio

X (cross) Reference [ref-type=aff; rid=aff2]

Superscript: 2

Contributor [contrib-type=author]

Name of Person [name-style=western]

Surname: Trejo-Téllez

Given (First) Names: Libia Iris

X (cross) Reference [ref-type=aff; rid=aff1]

Superscript: 1

Contributor [contrib-type=author]

Name of Person [name-style=western]

Surname: Gómez-Merino

Given (First) Names: Fernando Carlos

X (cross) Reference [ref-type=aff; rid=aff1]

Superscript: 1

X (cross) Reference [ref-type=corresp; rid=c1]

Superscript: §

Affiliation [id=aff1]

Label (of an Equation, Figure, Reference, etc.): 1

Institution Name: in an Address: Colegio de Postgraduados- Campus Montecillo. Carretera México-Texcoco km 36.5, Montecillo, Texcoco, Estado de México, México. CP. 56264. Tel. 595 9520200, ext. 1188. (nieto.bernardo@colpos.mx; tlibia@colpos.mx). [content-type=original]

Institution Name: in an Address: Campus Montecillo [content-type=orgdiv1]

Institution Name: in an Address: Colegio de Postgraduados [content-type=orgname]

Address Line

City: Montecillo

State or Province: Texcoco

Postal Code: 56264

Country: in an Address: México [country=MX]

Affiliation [id=aff2]

Label (of an Equation, Figure, Reference, etc.): 2

Institution Name: in an Address: Departamento de Fitotecnia-Universidad Autónoma Chapingo. Carretera México-Texcoco km 38.5, Chapingo, Texcoco, Estado de México, México. CP. 56227. Tel. 595 9521500, ext. 6284. (jbarralesd@chapingo.mx). [content-type=original]

Institution Name: in an Address: Departamento de Fitotecnia [content-type=orgdiv1]

Institution Name: in an Address: Universidad Autónoma Chapingo [content-type=orgname]

Address Line

City: Chapingo

State or Province: Texcoco

Postal Code: 56227

Country: in an Address: México [country=MX]

Author Note Group

Correspondence Information: [§] Autor para correspondencia: fernandg@colpos.mx. [id=c1]

Publication Date [date-type=pub; publication-format=electronic]

Day: 14

Month: 11

Year: 2025

Publication Date [date-type=collection; publication-format=electronic]

Season: Oct-Nov

Year: 2025

Volume Number: 16

Issue Number: 7

Electronic Location Identifier: e3874

History: Document History

Date [date-type=received]

Day: 1

Month: 07

Year: 2025

Date [date-type=accepted]

Day: 1

Month: 10

Year: 2025

Permissions

License Information [license-type=open-access; xlink:href=https://creativecommons.org/licenses/by-nc/4.0/; xml:lang=es]

Este es un artículo publicado en acceso abierto bajo una licencia Creative Commons

Abstract

Title: Resumen

La revalorización del cultivo de amaranto tiene un auge significativo como un alimento de gran valor en la nutrición humana y mayor presencia en la dieta de la población mexicana y de otros países. El objetivo de este estudio fue determinar la dinámica de acumulación y partición por órgano morfológico de la materia seca en tres variedades de amaranto (Amaranthus hypochondriacus L.): Areli, Diego y PQ2. En condiciones de temporal en campo, se estableció un experimento en un diseño experimental completamente al azar con cuatro repeticiones, en el campo experimental de Fitotecnia de la Universidad Autónoma Chapingo, durante el ciclo primavera-verano 2023. A partir del día 21 después de la emergencia, se hicieron 17 muestreos de planta completa cada siete días, se dividieron por órganos y se secaron para la determinación de la biomasa seca. Los datos se sometieron a un análisis de varianza (α= 0.05) y una prueba de comparación de medias (Tukey, α= 0.05). De la biomasa seca total, las raíces representaron alrededor del 11%, los tallos variaron entre el 43 y el 60% y las hojas constituyeron aproximadamente el 32% del total. La biomasa seca del grano representó alrededor del 11.2, 17.2 y 19% de la biomasa seca total en Areli, Diego y PQ2, respectivamente. En el desarrollo de las tres variedades se observaron diferencias estadísticas significativas. Diego y PQ2 mostraron mayor acumulación de materia seca en comparación de Areli, bajo condiciones limitadas de humedad en el suelo, ocasionadas por la escasa precipitación durante el ciclo.

Keyword Group [xml:lang=es]

Title: Palabras clave:

Keyword: Amaranthaceae

Keyword: biomasa total

Keyword: pseudocereal

Keyword: rendimiento en grano

Counts

Figure Count [count=8]

Table Count [count=0]

Equation Count [count=2]

Reference Count [count=20]

Resumen

La revalorización del cultivo de amaranto tiene un auge significativo como un alimento de gran valor en la nutrición humana y mayor presencia en la dieta de la población mexicana y de otros países. El objetivo de este estudio fue determinar la dinámica de acumulación y partición por órgano morfológico de la materia seca en tres variedades de amaranto (Amaranthus hypochondriacus L.): Areli, Diego y PQ2. En condiciones de temporal en campo, se estableció un experimento en un diseño experimental completamente al azar con cuatro repeticiones, en el campo experimental de Fitotecnia de la Universidad Autónoma Chapingo, durante el ciclo primavera-verano 2023. A partir del día 21 después de la emergencia, se hicieron 17 muestreos de planta completa cada siete días, se dividieron por órganos y se secaron para la determinación de la biomasa seca. Los datos se sometieron a un análisis de varianza (α= 0.05) y una prueba de comparación de medias (Tukey, α= 0.05). De la biomasa seca total, las raíces representaron alrededor del 11%, los tallos variaron entre el 43 y el 60% y las hojas constituyeron aproximadamente el 32% del total. La biomasa seca del grano representó alrededor del 11.2, 17.2 y 19% de la biomasa seca total en Areli, Diego y PQ2, respectivamente. En el desarrollo de las tres variedades se observaron diferencias estadísticas significativas. Diego y PQ2 mostraron mayor acumulación de materia seca en comparación de Areli, bajo condiciones limitadas de humedad en el suelo, ocasionadas por la escasa precipitación durante el ciclo.

Palabras clave

Amaranthaceae, biomasa total, pseudocereal, rendimiento en grano.

Introducción

El amaranto (Amaranthus hypochondriacus L.) es estratégico para la alimentación humana. Su grano posee mayor concentración de proteínas y menor cantidad de carbohidratos que los granos de maíz, arroz y trigo. Sus hojas que se consumen como verdura, superan los valores nutrimentales de la espinaca en proteínas (1.4 vs 0.7 g 100 g-1), calcio (200 vs 100 mg 100 g-1), fósforo (70 vs 50 mg 100 g-1), hierro (12 vs 4 mg 100 g-1) y ácido ascórbico o vitamina C (42 vs 30 mg 100 g-1) (Matías-Luis et al., 2018). El grano reventado aporta alrededor de 71% de carbohidratos, sin ser una fabácea aporta 13.5% de proteína y sin ser una oleaginosa, contiene 8.2% de grasas, además del aporte de 292 mg de calcio, 517 mg de fósforo y 1.6 mg de hierro por cada 100 g de amaranto reventado consumido (Espitia-Rangel, 2012). Este grano también contiene escualeno y ácido fólico (Barrales-Domínguez et al., 2010).

Las condiciones ambientales extremas agravadas por el cambio climático han impuesto nuevas limitantes a la agricultura nacional (Murray-Tortarolo, 2021) y en específico, al cultivo del amaranto (Matías-Luis et al., 2018). No obstante, dado que México y Centroamérica se consideran centros de origen y domesticación de varias especies del género Amaranthus (Aguilera-Cauich et al., 2021), existe una diversidad genética amplia que potencialmente permitiría seleccionar genotipos sobresalientes y establecer esquemas de mejoramiento genético (Martínez-Salvador, 2016). Recientemente, Salvador-Martínez et al. (2024) evaluaron 43 genotipos de diferentes especies de amaranto y encontraron gran similitud en el valor nutrimental para su consumo como verdura. Además, el programa de mejoramiento genético de las variedades consideradas en este estudio ha generado genotipos con mejor capacidad de resistencia a sequías y granizadas (SNICS, 2019).

No obstante, este cultivo se encuentra poco tecnificado, y se requieren estudios detallados para desarrollar mejores prácticas y manejo de insumos como los fertilizantes que permitan incrementar su crecimiento, producción y productividad (Romero-Romano et al., 2017). El crecimiento de una planta se debe a dos factores principales: la división celular y la elongación de las células. Para lograr esto, la planta requiere diversas moléculas que se producen durante la fotosíntesis. La acumulación de materia seca es un criterio utilizado para medir el crecimiento y desarrollo de una planta, lo cual se reflejó en el rendimiento final (Taiz et al., 2023). Comprender el proceso de acumulación de biomasa por órganos es esencial para mejorar la productividad de los cultivos, especialmente en condiciones limitantes de clima y suelo (Cai et al., 2023).

El objetivo de este estudio fue determinar la dinámica de acumulación y partición de materia seca por órgano morfológico en tres variedades de amaranto (A. hypochondriacus), bajo un sistema de producción en condiciones de temporal. La hipótesis que se pretende comprobar es que cada una de las tres variedades de amaranto fue evaluar distinto comportamiento respecto a la dinámica de acumulación y partición de materia seca por órgano morfológico.

Materiales y métodos

Sitio experimental

El experimento se estableció en el Lote X-16, del Campo Agrícola Experimental de Fitotecnia (CAEF), de la Universidad Autónoma Chapingo (UACH), ubicada en Chapingo, Estado de México, México (19° 29’ 30.1986” de latitud norte, 98° 52’ 41.469” de longitud oeste, a 2 240 m de altitud). El suelo del lote experimental tuvo un pH de 7.3, conductividad eléctrica de 0.247 dS m-1, 0.68% de materia orgánica, 0.1% de N, 12 mg NO3 - kg-1, la capacidad de intercambio catiónico fue de 17.93 cmol(+) kg-1 y con clase textural franco arcillo arenosa.

Material vegetal

Se utilizaron las variedades de amaranto (A. hypochondriacus L.) Areli, Diego y PQ2. Estas variedades cuentan con los títulos de obtentos 2150, 215 y 2152, respectivamente, expedidos por la Secretaría de Agricultura y Desarrollo Rural (SADER) en favor de la UACH. De acuerdo con Barrales-Domínguez et al. (2010), algunas de las características más sobresalientes de estas variedades son:

En fase de plántula, la variedad Areli es verde rojizo y en floración verde oscuro; en altas densidades de población (≥10 plantas m-2) domina un solo tallo. En bajas densidades de población ramifica desde la base, con una inflorescencia que al emerger es verde, después se torna parda y termina en rosa claro que se intensifica con el llenado de grano. Esta variedad puede alcanzar el 50% de la floración entre 80 y 105 días después de la emergencia (dde) y la maduración a cosecha entre 150 y 170 dde, con una altura final de 180 a 220 cm y grano de color blanco.

Diego es una variedad verde rojizo en fase de plántula y en floración es verde oscuro. Con densidades altas de población (≥10 plantas m-2) domina un solo tallo. En bajas densidades de población ramifica poco con una inflorescencia color púrpura. Diego puede lograr 50% de la floración entre 80 y 100 dde y la maduración a cosecha a los 150 dde, con una altura final de 160 y 220 cm y grano de color blanco.

PQ2 es una variedad de color verde, tanto en plántula como en floración. En altas densidades de población (≥10 plantas m-2) domina un solo tallo. En bajas densidades de población, ramifica desde la base; con una inflorescencia verde claro. PQ2 puede alcanzar 50% de la floración entre 85 y 105 dde y la maduración a cosecha entre 150 y 170 dde, con una altura final de 180 a 250 cm y grano de color blanco.

Manejo agronómico del cultivo

El establecimiento del experimento se inició con la preparación del terreno: barbecho, paso de rastra y surcado a 80 cm. La siembra, se hizo con una sembradora manual, adaptada para la semilla de amaranto. A los 10 y 24 dde se regó, se hizo el primer deshierbe y aclareo a una densidad de población de 100 000 plantas ha-1. A los 26 dde, junto con la primera escarda, se aplicó una fertilización de fondo 40 kg N ha-1 (a parir de urea) y 20 kg P ha-1 (a partir de fosfato diamónico). La segunda escarda se realizó 34 dde. Una vez alcanzada la madurez de cosecha, la planta se cortó desde el ras del suelo para posteriormente hacer la trilla. Las escardas se hicieron de forma manual, aproximadamente cada cuatro semanas hasta alcanzar la madurez de cosecha.

Unidad y diseño experimental

Los tratamientos para probar fueron las tres variedades de amaranto: Areli, Diego y PQ2. Se establecieron tres unidades experimentales, con cuatro repeticiones aleatorizadas, cada una de 12 surcos para Areli, 20 surcos para PQ2 y 24 surcos para Diego, todos de 50 m de largo. Se trazó un diseño experimental completamente al azar. La elección de la superficie estuvo determina por la disponibilidad de espacios y de semilla, asegurando que se contara con suficiente planta para realizar los muestreos necesarios.

Precipitación acumulada semanal y temperaturas promedio

Para medir la precipitación semanal se realizó una adaptación de un pluviómetro con un embudo. Con el área de captación y el volumen semanal se realizaron los cálculos pertinentes, con la siguiente fórmula:

P = V / A

Donde: P= precipitación acumulada semanal (mm); V= volumen semanal (L) y A= área del embudo (m2). Para el periodo de estudio, la temperatura máxima osciló entre los 24 y los 28 °C y la mínima entre los 11 y los 13 °C.

Biomasa seca

A partir del día 14 después de la emergencia, en cada una de las tres variedades se realizaron 17 muestreos de planta completa en intervalos de siete días con cuatro repeticiones en cada caso, en que se tomaron cuatro plantas por muestreo. En los muestreos se consideraron las siguientes fases fenológicas: vegetativa [V3 (23 dde), V4 (28 dde), V5 (35 dde), V6 (42 dde) y V7 (49 dde)], inicio de panoja [R1 (56 dde), R1.3 (63 dde), R1.5 (70 dde) y R2 (77 dde)], término de panoja [R3 (84 dde)], antesis [R4 (91 dde) y R4.7 (98 dde)], llenado de grano [R5 (105 dde), grano lechoso (112 dde), grano pastoso (119 dde)], madurez fisiológica [R6 (126 dde)] y madurez de cosecha [R7 (133 dde)] (Aguilar-Delgado et al., 2018). Las plantas se seccionaron por órganos, se sometieron a secado, hasta peso constante, por 72 h a 72 °C, en una estufa de aire forzado (Riossa, HCF-125D, Monterrey, NL., México). Una vez secas y con peso constante, las muestras fueron pesadas en una balanza analítica (Adventurer Pro AV213C, Ohaus; Parsippany, NJ, EE. UU.). Se analizó la acumulación de biomasa seca total como indicador del crecimiento general de la planta.

Análisis de datos

Los datos obtenidos fueron sometidos a un análisis de varianza (α= 0.05) y las medias fueron comparadas por la prueba de Tukey (α= 0,05), con el paquete estadístico de Sas 9.4 (SAS Institute, 2010).

Resultados y discusión

Acumulación de biomasa seca en raíz

La dinámica de acumulación de biomasa seca en raíz a lo largo del ciclo biológico muestra un comportamiento similar durante el establecimiento del cultivo, con un crecimiento lento en los primeros 56 dde, seguido por un crecimiento acelerado (Figura 1A). Durante el ciclo de cultivo se tuvo un total de 228 mm de agua de lluvia, valor que se consideró bajo, lo que se asocia al lento crecimiento inicial que se observó en el cultivo.

Figura 1

Acumulación de biomasa seca en raíz (A); tallo (B) y hojas (C) de tres variedades de amaranto (Amaranthus hypochondriacus L.) durante el ciclo biológico. Medias entre variedades con letras distintas entre variedades en cada evaluación indican diferencias estadísticas significativas (Tukey, p < 0.05).

2007-0934-remexca-16-7-e3874-gf1.png

En las etapas iniciales y en un punto del llenado de grano, la variedad Areli tuvo menor biomasa de raíz que Diego y PQ2 a los 35, 56 y 63 dde y que Diego a los 28, 42, 49 y 105 dde. Después del punto máximo de acumulación de biomasa en raíz, las tres variedades mostraron una reducción respecto a esta variable (Figura 1A). Esta disminución puede ser atribuida a la reducción en la translocación de fotoasimilados hacia las raíces, para dirigirlos al grano, lo cual ocurre cuando la planta alcanzó la madurez fisiológica (León-Burgos et al., 2021).

Aunque en general, las tres variedades mostraron similitud, Diego y PQ2 fueron más parecidas en la acumulación de biomasa seca en la raíz, con diferencia estadística solo a los 105 dde. Previo a los 98 dde, una granizada afectó al cultivo, lo cual pudo haber activado mecanismos de supervivencia que incluyen procesos catabólicos, en los que intervienen la degradación de proteínas, ácidos nucleicos o polisacáridos (Martínez-González et al., 2017), lo cual reduce la acumulación de materia seca (Jarma-Orozco et al., 2012). Entre los 98 y 105 dde, las variedades Diego y Areli mostraron una ligera disminución en la biomasa seca de raíz. Esta reducción se asocia con la pérdida de la humedad en el suelo que representó un déficit hídrico para el cultivo lo que acelera la muerte de muchas de sus ramificaciones.

Este periodo es crítico para el cultivo porque coincide con los días posteriores a la inducción floral y el inicio de la formación de grano. Al final del ciclo biológico, no se observaron diferencias significativas en los pesos de biomasa seca de raíz entre las variedades evaluadas. En las tres variedades disminuyó esta variable (Figura 1A), lo que implicó una posible translocación de reservas de la raíz a la parte aérea de la planta (Taiz et al., 2023) inducida por la madurez fisiológica.

Acumulación de biomasa seca en tallo

El tallo es el soporte de una planta y contiene los principales tejidos de conductancia. El comportamiento de acumulación de biomasa seca en tallos de las tres variedades de amaranto evaluadas, al igual que en la raíz, se observó un crecimiento lento hasta los 56 dde sin diferencias significativas entre las variedades Diego y PQ2, respecto a Areli (Figura 1B). Después, entre los 56 y 84 dde se observó una acumulación acelerada de biomasa seca en tallos, alcanzando en promedio, alrededor de 60 g de materia seca, lo que marca una etapa de rápido crecimiento. Posteriormente, se diferenció el crecimiento en acumulación de biomasa seca hasta el final del ciclo, principalmente entre la variedad Diego respecto a Areli, con 107.3 y 103.9 g a los 126 y 133 dde, respectivamente (Figura 1B). Este descenso, al igual que en la raíz, puede atribuirse a procesos de translocación debidos a una granizada previa, presentando mecanismos de supervivencia en los que intervienen la degradación de proteínas, ácidos nucleicos o polisacáridos (Martínez-González et al., 2017). Lo anterior, mostró la capacidad de resiliencia que posee el amaranto, con una respuesta de ajuste metabólico ante las afectaciones, y una buena recuperación (Riggins et al., 2021). Estos comportamientos de reducción de biomasa al final del ciclo en las variedades, a los 133 dde, es por la senescencia, reduciendo su capacidad fotosintética y utilizando las reservas restantes para translocarlas a órganos de demanda como los granos (Martínez-González et al., 2017).

Acumulación de biomasa seca en hoja

Las hojas de una planta son la principal fuente de fotoasimilados, los cuales permiten a la planta crecer y desarrollarse. La dinámica de acumulación de biomasa en hojas de tres variedades de amaranto evaluadas en esta investigación se muestra en la (Figura 1C). Al igual que en los otros órganos, las hojas de amaranto presentaron un crecimiento lento hasta los 56 dde. Entre los 56 y 84 dde, se observó un crecimiento acelerado de las tres variedades, alcanzando en promedio alrededor de 30 g de materia seca. En este periodo no se presentaron diferencias estadísticas entre las tres variedades evaluadas. Posteriormente, sigue una estabilización hasta los 126 dde, en la cual alcanzaron en promedio 30 g.

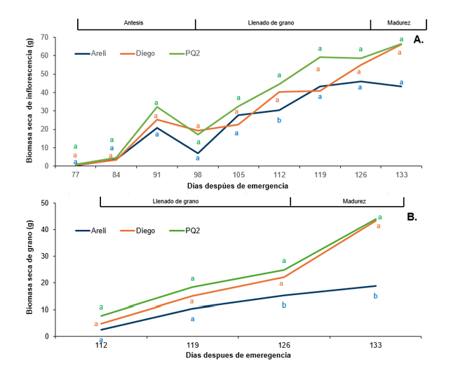
Acumulación de biomasa seca en inflorescencia

La inducción floral en las variedades evaluadas ocurrió 63 dde y el primer muestreo de biomasa a los 77 dde (Figura 2A).

Figura 2

Acumulación de biomasa seca en inflorescencia (A) y grano (B) de tres variedades de amaranto (Amaranthus hypochondriacus L.) durante el ciclo biológico. Medias con letras distintas entre variedades indican diferencias estadísticas significativas (Tukey, p < 0.05).

2007-0934-remexca-16-7-e3874-gf2.png

Las tres variedades mostraron crecimiento acelerado de la panoja, alcanzado a los 91 dde un peso de biomasa seca de 32.1, 25.3 y 20.8 g en PQ2, Diego y Areli, respectivamente. Después, entre los 91 y 98 dde se presentaron granizadas, que redujeron de manera importante la acumulación de biomasa seca en las inflorescencias (Figura 2A). Lo anterior, representa una afectación directa al rendimiento, ya que la panoja se encontraba en pleno crecimiento. Sin embargo, los tres materiales evaluados se recuperaron y posteriormente mostraron un crecimiento acelerado; en promedio, el peso de biomasa seca de panoja fue de 36.4 g, sin diferencias significativas entre ellas (Figura 2A).

Acumulación de biomasa seca en grano

El comienzo del llenado de grano ocurrió 105 dde, pudiendo observarse grano lechoso a 112 dde. Lo anterior, fue consistente en las tres variedades. A partir de 119 dde se registró grano pastoso, alcanzando la madurez fisiológica a los 133 dde que fue el último muestreo. En las tres variedades se observaron tendencias similares en la acumulación de materia seca en grano, de forma constante y creciente hasta los 133 dde. Entre los 126 y 133 dde, se registraron incrementos en los pesos de biomasa seca de grano de 76.7% en PQ2, de 96.4% en Diego y de 22.1% en Areli. Esta última variedad fue significativamente inferior en esta variable a Diego y PQ2 a los 126 y 133 dde (Figura 2B).

Acumulación de biomasa seca total

Los resultados aquí presentados muestran un decremento importante en los pesos de biomasas secas de raíz, hoja y tallo a los 112 dde, mismos que tienen influencia en la biomasa seca total (Figura 3). Por el contrario, esta disminución fue de menor magnitud en la inflorescencia, particularmente en Diego y PQ2. Lo anterior se debe a que las plantas buscan perpetuar su especie a través de diferentes mecanismos, incluyendo una mayor eficiencia reproductiva (Lustre-Sánchez, 2022). Como la planta sésil, el amaranto es afectado drásticamente por factores ambientales de tipo abiótico como las sequías, las heladas o las granizadas (Martínez-González et al., 2017).

Figura 3

Proporción de la biomasa seca (raíz, tallo, hoja, inflorescencia y grano), con respecto a la biomasa total en tres variedades de amaranto (Amaranthus hypochondriacus L.) durante el ciclo biológico.

2007-0934-remexca-16-7-e3874-gf3.png

Hasta los 56 dde se registró una baja acumulación de biomasa seca total en las tres variedades evaluadas (Figura 4). Por el contrario, a partir de los 84 dde la biomasa seca se incrementó de manera importante. A pesar de los dos periodos de sequía registrados (a los 76 y 104 dde) y de la granizada (ocurrida a los 98 dde), la acumulación constante de biomasa seca total demostró la capacidad de recuperación de esta especie.

Figura 4

Acumulación de biomasa seca total de tres variedades de amaranto (Amaranthus hypochondriacus L.) durante el ciclo biológico. Medias con letras distintas entre variedades indican diferencias estadísticas significativas (Tukey, p < 0.05).

2007-0934-remexca-16-7-e3874-gf4.png

Entre las tres variedades se observaron diferencias en el crecimiento. Entre los 91 y los 98 dde se observó un punto de caída en la acumulación de materia seca en las variedades Areli y PQ2, el cual coincide con la fase fenológica de antesis. Entre los 98 y 133 dde la acumulación de materia seca fue positiva en las tres variedades, mientras que, a partir de los 119 dde, nuevamente en las variedades Areli y PQ2 se observó una tendencia decreciente en la acumulación de materia seca; en este muestreo fue evidente el inicio de la senescencia dada la pérdida de hojas que se registró (Figura 3).

La senescencia se caracterizó por la ausencia de biosíntesis de fotoasimilados, pero, en estas variedades el desarrollo del grano continuó, lo que implicó translocación de nutrimentos y biomoléculas hacia este órgano de demanda. Al final del ciclo biológico (133 dde) la mayor biomasa total se registró en Diego seguida de PQ2, con 242.2 g en promedio, superando estadísticamente a Areli que alcanzó 167.5 g.

Al analizar la partición de materia seca se destacó lo siguiente: en las tres variedades, alrededor del 11% de la biomasa seca correspondió a la raíz. Este valor se mantuvo a lo largo del ciclo (Figura 4). El tallo, a los 84 dde, mostró ser la estructura con mayor biomasa de la planta, representando el 46% de la biomasa seca total en Diego y el 43% en Areli, en PQ2, correspondió al 60% (Figura 4). La aparición de los órganos florales redujo la biomasa seca de hojas, lo que debió haber implicado procesos de translocación de fotosintatos del órgano fuente (hoja) al órgano demanda (flor) (Rosado-Souza et al., 2023).

Por último, el grano mostró un acelerado crecimiento en la parte final del ciclo, representando la mayor demanda en la planta y acumulando la mayor parte de los fotoasimilados producidos después de los 105 dde. Al final del ciclo (133 dde), la biomasa seca del grano representó alrededor del 11.2, 17.2 y 19% de la biomasa seca total en Areli, Diego y PQ2, respectivamente (Figura 4). En la variedad Revancha de amaranto, el grano representó 20.1% de la biomasa seca total (Monroy-Pedroza et al., 2021), valor cercano al mostrado por la variedad PQ2 en este estudio. La inflorescencia es un órgano de demanda que tiene un crecimiento constante desde los 70 dde y aún en el periodo de desarrollo del grano, alcanzando a los 126 dde (última evaluación) un porcentaje del total de 29 para PQ2 y de alrededor de 26 para Areli y Diego.

Conclusiones

En este estudio se demostró que las tres variedades de amaranto (Amaranthus hypochondriacus L.) evaluadas, Areli, Diego y PQ2, mostraron algunas diferencias y también algunas similitudes en crecimiento y acumulación de materia seca. Respecto a biomasa seca de tallo y de grano, la variedad Areli fue la que presentó valores promedio más bajos respecto a Diego y PQ2. Al final del ciclo, Diego y PQ2 mostraron mayor acumulación de materia seca en comparación con Areli. No obstante, en las tres variedades se observó que la etapa vegetativa hasta los 63 dde se caracterizó por un lento crecimiento, seguida de un crecimiento acelerado en la fase reproductiva hasta la antesis a los 91 dde; por último, una estabilización del crecimiento hasta la madurez a cosecha a los 133 dde.

Agradecimientos

Al Consejo Nacional de Humanidades, Ciencias y Tecnologías (CONAHCYT) por la beca de maestría en ciencias otorgada a José Bernardo Nieto-Flores y a F. A la Universidad Autónoma Chapingo por las facilidades brindadas.

Bibliografía

1 

     

Aguilar-Delgado, M. J.; Acosta-García, G.; Espitia-Rangel, E.; González-Chavira, M. M.; Lozano-Sotomayor, P.; Folter, S.; Sánchez-Segura, L.; Barrales-López, A. and Guevara-Olvera, L. 2018. Indeterminate and determinate growth habit in Amaranthus hypochondriacus. Agrociencia. 52(5):695-711. https://agrociencia-colpos.org/index.php/agrociencia/article/view/1698.

   

2 

     

Aguilera-Cauich, E. A.; Solís-Fernández, K. Z.; Ibarra-Morales, A.; Cifuentes-Velásquez, R. y Sánchez-del Pino, I. 2021. Amaranto: distribución y diversidad morfológica del recurso genético en partes de la región Maya sureste de México, Guatemala y Honduras. Acta Botánica Mexicana. 128:1-14. https://doi.org/10.21829/abm128.2021.1738.

   

3 

     

Barrales-Domínguez, J. S.; Barrales-Brito, E. y Barrales-Brito, E. 2010. Amaranto: recomendaciones para su producción. Plaza y Valdés. Universidad Autónoma Chapingo (UAC). Fundación Produce Tlaxcala, AC. 168 p.

   

4 

     

Cai, F.; Mi, N.; Ming, H.; Zhang, Y.; Zhang, H.; Zhang, S.; Zhao, X. and Zhang, B. 2023. Responses of dry matter accumulation and partitioning to drought and subsequent rewatering at different growth stages of maize in Northeast China. Frontiers in Plant Science. 14:1-15. https://doi.org/10.3389/fpls.2023.1110727.

   

5 

     

Espitia-Rangel, E. 2012. Amaranto: ciencia y tecnología. Instituto Nacional de Investigaciones Forestales, Agrícolas y Pecuarias (INIFAP). Celaya, Guanajuato, México. 384 p.

   

6 

     

Jarma-Orozco, A.; Cardona, A. C. y Araméndiz, T. H. 2012. Efecto del cambio climático sobre la fisiología de las plantas cultivadas: una revisión. Revista UDCA. Actualidad y Divulgación Científica. 15(1):63-76. https://doi.org/10.31910/rudca.v15.n1.2012.803.

   

7 

     

León-Burgos, A. F.; Beltrán-Cortes, G. Y.; Barragán-Pérez. A. L. and Balaguera-López, H. E. 2021. Distribution of photoassimilates in sink organs of plants of Solanaceas, tomato and potato. A review. Ciencia y Agricultura. 18(3):79-97. https://doi.org/10.19053/01228420.v18.n3.2021.13566.

   

8 

     

Lustre-Sánchez, H. 2022. Los superpoderes de las plantas: los metabolitos secundarios en su adaptación y defensa. Revista Digital Universitaria. 23(2):1-8. https://doi.org/10.22201/cuaieed.16076079e.2022.23.2.10.

   

9 

     

Martínez-González, M. E.; Balois-Morales, R.; Alia-Tejacal, I.; Cortes-Cruz, M. A.; Palomino-Hermosillo, Y. A. y López-Guzmán, G. G. 2017. Postcosecha de frutos: maduración y cambios bioquímicos. Revista Mexicana de Ciencias Agrícolas. 19(esp):4075-4087. https://doi.org/10.29312/remexca.v0i19.674.

   

10 

     

Martínez-Salvador, L. 2016. Seguridad alimentaria, autosuficiencia y disponibilidad del amaranto en México. Problemas del Desarrollo. 47(186):107-132. https://doi.org/10.1016/j.rpd.2016.08.004.

   

11 

     

Matías-Luis, G.; Hernández-Hernández, B. R.; Peña-Caballero, V.; Torres-López, N. G., Espinoza-Martínez, V. A. y Ramírez-Pacheco, L. 2018. Usos actuales y potenciales del amaranto (Amaranthus spp.). Journal of Negative and No Positive Results. 3(6):423-436. https://doi.org/10.19230/jonnpr.2410.

   

12 

     

Monroy-Pedroza, D.; Martínez-Hernández, J. J.; Gavi-Reyes, F.; Torres-Aquino, M. y Hernández-Ríos, I. 2021. Crecimiento, acumulación y distribución de materia seca en dos cultivares de amaranto (Amaranthus hypochondriacus y A. cruentus) bajo fertigación. Biotecnia. 23(3):14-21. https://doi.org/10.18633/biotecnia.v23i3.1399.

   

13 

     

Murray-Tortarolo, G. N. 2021. Seven decades of climate change across Mexico. Atmósfera. 34(2):217-226. https://doi.org/10.20937/ATM.52803.

   

14 

     

Riggins, C. W.; Barba-Rosa, A. P.; Blair, M. W. and Espitia-Rangel, E. 2021. Editorial. Amaranthus: naturally stress-resistant resources for improved agriculture and human health. Frontiers in Plant Science. 12:1-13. https://doi.org/10.3389/fpls.2021.726875.

   

15 

     

Romero-Romano, C. O.; Ocampo-Mendoza, J.; Sandoval-Castro, E.; Navarro-Garza, H.; Franco-Mora, O. y Calderón-Sánchez, F. 2017. Fertilización orgánica-mineral del cultivo de amaranto (Amaranthus hypochondriacus L.). Revista Mexicana de Ciencias Agrícolas. 8(12):1759-1771. https://doi.org/10.29312/remexca.v8i8.700.

   

16 

     

Rosado-Souza, L.; Yokoyama, R.; Sonnewald, U. and Fernie, A. R.2023. Understanding source-sink interactions: progress in model plants and translational research to crops. Molecular Plant. 16(1):96-121. https://doi.org/10.1016/j.molp.2022.11.015.

   

17 

     

Salvador-Martínez, G.; Ortiz-Torres, E.; Guerrero-Rodríguez, J. D.; Taboada-Gaytán, O. R.; Herrera-Corredor, J. A. y Gómez-Aldapa, J. A. 2024. Características composicionales de especies de amarantoizadas como verdura. Revista Mexicana de Ciencias Agrícolas. 15(8):e3094. https://doi.org/10.29312/remexca.v15i8.3094.

   

18 

     

SAS Institute. 2010. STAT-SAS, Version 9.4. SAS Institute, Cary, North Carolina, USA.

f  

19 

     

SNICS. 2019. Servicio Nacional de Inspección y Certificación de Semillas. Innovaciones Vegetales. SNICS: Ciudad de México. 2-3 pp. https://www.gob.mx/cms/uploads/attachment/file/545892/cat-innocaciones-veg-new.pdf.

   

20 

     

Taiz, L.; Moller, I. M.; Murphy, A. and Zeiger, E. 2023. Plant physiology and development. Seventh Ed. Sinauer Associates: Sunderland, MA, USA. 752 p.