https://doi.org/10.29312/remexca.v16i6.3820

elocation-id: e3820

Sánchez-González: Sustainable crops of wild agaves from Jalisco for the production of raicilla

Journal Metadata

Journal Identifier: remexca [journal-id-type=publisher-id]

Journal Title Group

Journal Title (Full): Revista mexicana de ciencias agrícolas

Abbreviated Journal Title: Rev. Mex. Cienc. Agríc [abbrev-type=publisher]

ISSN: 2007-0934 [pub-type=ppub]

Publisher

Publisher’s Name: Instituto Nacional de Investigaciones Forestales, Agrícolas y Pecuarias

Article Metadata

Article Identifier: 10.29312/remexca.v16i6.3820 [pub-id-type=doi]

Article Grouping Data

Subject Group [subj-group-type=heading]

Subject Grouping Name: Articles

Title Group

Article Title: Sustainable crops of wild agaves from Jalisco for the production of raicilla

Contributor Group

Contributor [contrib-type=author]

Name of Person [name-style=western]

Surname: Sánchez-González

Given (First) Names: Dolores Javier

X (cross) Reference [ref-type=aff; rid=aff1]

Superscript: 1

X (cross) Reference [ref-type=corresp; rid=c1]

Superscript: §

Affiliation [id=aff1]

Label (of an Equation, Figure, Reference, etc.): 1

Institution Name: in an Address: Posgrado e Investigación-Instituto Politécnico Nacional. Salvador Díaz Mirón esquina Plan de San Luis s/n, Miguel Hidalgo, Casco de Santo Tomas. Ciudad de México, México. CP. 11340. Tel. 55 32001456. [content-type=original]

Institution Name: in an Address: Instituto Politécnico Nacional [content-type=normalized]

Institution Name: in an Address: Posgrado e Investigación [content-type=orgdiv1]

Institution Name: in an Address: Instituto Politécnico Nacional [content-type=orgname]

Address Line

City: Ciudad de México

Postal Code: 11340

Country: in an Address: Mexico [country=MX]

Author Note Group

Correspondence Information: [§] Autor para correspondencia: javiersglez@yahoo.com [id=c1]

Publication Date [date-type=pub; publication-format=electronic]

Day: 07

Month: 09

Year: 2025

Publication Date [date-type=collection; publication-format=electronic]

Season: Aug-Sep

Year: 2025

Volume Number: 16

Issue Number: 6

Electronic Location Identifier: e3820

History: Document History

Date [date-type=received]

Day: 01

Month: 03

Year: 2025

Date [date-type=accepted]

Day: 01

Month: 06

Year: 2025

Permissions

License Information [license-type=open-access; xlink:href=https://creativecommons.org/licenses/by-nc/4.0/; xml:lang=es]

Este es un artículo publicado en acceso abierto bajo una licencia Creative Commons

Abstract

Title: Abstract

This study aimed to analyze the sustainable cultivation and conservation of raicillero agaves since 2022, highlighting their role in the preservation of biodiversity in the raicilla industry. The central problem lies in the pressure on local ecosystems due to the increase in international demand for the distillate, which threatens the genetic diversity of the agave species used. Through a census methodology based on interviews, exhaustive documentary analysis, and statistical data, sustainable agricultural practices, such as the reforestation of wild agaves, and micropropagation techniques were identified in the 17 municipalities with the raicilla designation of origin; 16 in Jalisco: Atengo, Chiquilistlán, Juchitlán, Tecolotlán, Tenamaxtlán, Puerto Vallarta, Cabo Corrientes, Tomatlán, Atenguillo, Ayutla, Cuautla, Guachinango, Mascota, Mixtlán, San Sebastián del Oeste, and Talpa de Allende and 1 in Nayarit: Bahía de Banderas. The results indicate that Agave maximiliana Baker continues to dominate the cultivation for raicilla, which represents 75.4% of the current plantations, whereas Agave angustifolia Haw. and A. inaequidens have significant increases in adoption, reaching shares of 31.6% and 7%, respectively. It was concluded that it is essential to continue with the reforestation of agaves, implement public policies, sustainable certifications, and technological innovation to strengthen their competitiveness in international markets and ensure their contribution to rural development and environmental conservation in Mexico.

Keyword Group [xml:lang=en]

Title: Keywords:

Keyword: Agave angustifolia Haw.

Keyword: Agave inaequidens

Keyword: Agave maximiliana Baker

Keyword: raicilla.

Counts

Figure Count [count=5]

Table Count [count=0]

Equation Count [count=0]

Reference Count [count=26]

Page Count [count=0]

Abstract

This study aimed to analyze the sustainable cultivation and conservation of raicillero agaves since 2022, highlighting their role in the preservation of biodiversity in the raicilla industry. The central problem lies in the pressure on local ecosystems due to the increase in international demand for the distillate, which threatens the genetic diversity of the agave species used. Through a census methodology based on interviews, exhaustive documentary analysis, and statistical data, sustainable agricultural practices, such as the reforestation of wild agaves, and micropropagation techniques were identified in the 17 municipalities with the raicilla designation of origin; 16 in Jalisco: Atengo, Chiquilistlán, Juchitlán, Tecolotlán, Tenamaxtlán, Puerto Vallarta, Cabo Corrientes, Tomatlán, Atenguillo, Ayutla, Cuautla, Guachinango, Mascota, Mixtlán, San Sebastián del Oeste, and Talpa de Allende and 1 in Nayarit: Bahía de Banderas. The results indicate that Agave maximiliana Baker continues to dominate the cultivation for raicilla, which represents 75.4% of the current plantations, whereas Agave angustifolia Haw. and A. inaequidens have significant increases in adoption, reaching shares of 31.6% and 7%, respectively. It was concluded that it is essential to continue with the reforestation of agaves, implement public policies, sustainable certifications, and technological innovation to strengthen their competitiveness in international markets and ensure their contribution to rural development and environmental conservation in Mexico.

Keywords:

Agave angustifolia Haw., Agave inaequidens, Agave maximiliana Baker, raicilla.

Introduction

Raicilla, an artisanal distillate originating in Jalisco, Mexico, has become a cultural and ecological emblem thanks to its traditional agricultural production methods and its roots in local communities (Cabrera et al., 2020). This distillate of various species of wild agave, known as ‘lechuguillas’, obtained the designation of origin (DO) in 2019, which improved its international impact (Zazueta et al., 2024). Nevertheless, its growing commercial demand can lead to a local problem by putting pressure on the natural resources and biodiversity of the wild agaves used.

In particular, the loss of genetic diversity and the impacts associated with the inadequate management of agroecosystems represent critical challenges for the sustainability of the sector (Cuevas-Coeto et al., 2019). Despite the richness in biodiversity that characterizes raicillero agaves, there is a knowledge gap on effective strategies to ensure their conservation and their integration into global markets that demand sustainability (Delgado et al., 2024).

The general objective of this work was to examine the gap through an exhaustive analysis of the sustainable cultivation of raicillero agaves in the 17 municipalities that make up the DO. In addition, innovation opportunities and strategies are presented to ensure the long-term viability of raicilla in a growing international market (Zazueta et al., 2024).

The central hypothesis states that agave reforestation strategies, sustainable soil management, and public policies can balance agricultural productivity with biodiversity conservation.

To answer this question, a methodology based on interviews, documentary analysis and the use of updated statistical data was applied. This approach allowed us to identify, in the results, the trends in the diversity of cultivated agave species and their impact on agroecological sustainability, to contribute to the understanding of how sustainable agricultural practices not only preserve natural resources but also guarantee the long-term viability of raicilla as an emblematic distillate of Mexico in a global context (Zizumbo-Villarreal et al., 2013).

The diversity of raicillero agaves and their sustainable agricultural practices

The biodiversity of agave is a crucial component in the production of artisanal distillates, such as raicilla, mezcal, and tuxca (Zizumbo-Villarreal et al., 2013). Unlike tequila, which is produced exclusively from Agave tequilana Weber, the raicilla uses various species of agave, including Agave maximiliana Baker, A. inaequidens, A. rhodacantha, and A. angustifolia Haw. (Delgado et al., 2024). This genetic diversity not only fosters resilience to pests and diseases, but also enriches the organoleptic profile of the raicilla (Franco, 2015).

Intensive monocultures, such as tequila, have significantly reduced biodiversity in producing regions, causing soil degradation and the loss of key ecosystem services (Lucio, 2022). On the contrary, raicilla production, by integrating multiple species of agave, promotes an agroecological approach that balances productivity and conservation, as is the case of A. maximiliana, a threatened species that was rescued when it began to be domesticated in 2009 (Franco, 2015; García-Mendoza et al., 2019).

The genetic diversity of raicillero agaves is crucial for their adaptability to climate change, an urgent problem in global sustainable agriculture. Raicilla is an emblematic example of how traditional agricultural practices can be sustainable and culturally relevant (Bowen and Zapata, 2009; Franco, 2015). Producers employ techniques such as reforestation of wild agaves, crop rotation and recently, micropropagation and in vitro propagation techniques of agave are also used, minimizing negative impacts on local ecosystems (Aureoles et al., 2008; Valenzuela et al., 2008; Santacruz et al., 2022).

A highlight is the management of soils in raicilla-producing regions with conservation techniques, such as the use of terraces and intercropping (Torres-García et al., 2020). In addition, the integration of wild agaves into agricultural landscapes contributes to the preservation of ecological corridors that benefit local fauna and strengthen ecosystems (Torres-García et al., 2019). As the demand for raicilla grows, it will be crucial that these sustainable practices are protected and promoted through incentives and effective public policies. This includes creating certification programs that value responsible practices and foster smallholder participation in global markets (Martinez et al., 2024).

Innovation and its impact on conservation and biodiversity

The future of raicilla depends to a large extent on its ability to innovate without losing its artisanal essence. The growing international demand for sustainable products represents an opportunity for this distillate, especially in markets such as Germany, the United States of America, and Japan, where consumers value authenticity and responsible practices (Nava et al., 2024).

The adoption of innovative technologies, such as drones or unmanned aerial vehicles (UAVs), to monitor lechuguilla crops and to optimize integrated agricultural management could increase efficiency in agave production, reducing the use of natural resources. These technologies have already proven to be effective in calculating the green biomass (Wt) of Agave durangensis Gentry using high-resolution drone imagery (López-Serrano et al., 2022).

In an interview with engineer Jorge Antonio Dueñas Peña, founder of the Mexican Council for the Promotion of Raicilla AC (CMPR), for its initialism in Spanish, and known among the guild of raicilla producers as the father of raicilla for having promoted and obtained its DO, comments that the CMPR has initiated sustainable certification strategies with homologation of processes between raicilla producers and inspections of taverns (Poot-Rodríguez and Mercado-Salgado, 2024; Zazueta et al., 2024).

In another interview, Jair Benjamín Godínez Herrera, a professor at ITESO University in Guadalajara, mentions the importance of ecotourism and digital platforms that highlight sustainable practices and their artisanal nature, which could expand the reach of raicilla to more countries (Zazueta et al., 2024).

The production of raicilla stands out for its important ecological and cultural relevance in Jalisco since the sixteenth century, where it has also been known as mezcal wine or wine of the hill (Franco, 2015). In contrast to the extensive industrialization of tequila, raicilla retains the artisanal methods that strengthen community ties within its producing regions (Bowen and Zapata, 2009). The cultural impact includes the preservation of ancient knowledge, such as underground kiln firing and natural fermentation.

These traditions enhance the distillate’s profile and encourage community participation in production (Tetreault et al., 2021). In terms of sustainability, the cultural practices of the raicilla include ancestral methods in the collection of wild agaves and respect for natural resources, according to the raicilla master Manuel Salcedo Gutiérrez, from Mascota, Jalisco and former president of the CMPR, in an interview (Delgado et al., 2024).

Biodiversity is one of the fundamental pillars of raicilla production, the preservation of wild agaves and genetic diversity are essential (Trejo-Salazar et al., 2016). The raicilla-producing regions are home to up to 15 species of agave, this biodiversity protects from pests and improves ecological stability. Lechuguilla polycultures promote pollination and soil quality, these conservation initiatives benefit both raicilla producers and communities (Figure 1) (Franco, 2015; Sánchez-González, 2025).

Figure 1

Figure 1. Agave maximiliana Baker. A) wild agave from Hacienda las Moras in Talpa de Allende; B) the robust root system that prevents soil erosion and the fixation of nutrients and moisture is shown; C) nursery of the Taverna Ruta del Peregrino in Talpa de Allende, Jalisco.

2007-0934-remexca-16-06-e3820-gf6.png

Sustainability, challenges and opportunities of raicilla in international markets

In interviews with the former municipal presidents of Mascota, Miguel Castillón López and Sara Eugenia Castillón Ochoa, the ecological importance of sustainable co-cultivation of agaves and pines is highlighted, since the raicilla is a shade mezcal because the lechuguillas grows among the trees of the sierra, as shown in Figure 1A. The growing demand for artisanal distillates presents a substantial opportunity for raicilla producers, but to penetrate international markets, it is necessary to overcome complex logistical, regulatory and cultural challenges, particularly to achieve the strict quality standards that prevail in countries such as Germany, the United States of America and Japan (Bowen and Zapata, 2009).

Export analyses indicate that raicilla holds great promise in niche markets focused on sustainability and authenticity, with organic and fair trade certifications, which are differentiators in a crowded market (IIEGJ, 2024; Pablo et al., 2024). In addition, marketing strategies that stress the artisanal nature and sustainable practices of raicilla could attract consumers looking for responsible alternatives (Trejo-Salazar et al., 2016). A key factor in thriving in global markets is facilitating profits for producers, which requires public policies with subsidies, training, and financial access to help raicilla producers meet international standards (Poot-Rodríguez and Mercado-Salgado, 2024).

Materials and methods

The statistical data were obtained from surveys conducted by the Institute of Statistical and Geographic Information of Jalisco (IIEGJ, for its acronym in Spanish) in its 2024 report, ‘statistical radiography of the raicilla industry’, in collaboration with the CMPR. A census methodology was used to improve response rates, juxtaposing data from 2022 and 2023. The measurement scale in all cases was adjusted to relative percentages due to the type of information obtained.

It is important to note that, although 13.8% of the surveyed raicilla producers began working before 2005, 75.1% established themselves since 2011, and a notable expansion has been observed in recent years in these agricultural ecosystems (IIEGJ, 2024).

Results

Of the types of agaves grown since 2022 in the DO protection zone, the following was observed: in 2023, 70.2% of raicilla producers chose Agave maximiliana Baker, which increased to 75.4% in 2024, maintaining its status as the most popular. It is followed by Agave angustifolia Haw., with a potential increase of 22.8% to 31.6% in early 2024. In third place, Agave inaequidens Koch., is also gaining traction, with an expected increase of 7% in early 2024, compared to 5.3% in 2023 (Figure 2).

Figure 2

Figure 2.Types of agaves grown during 2023-2024 in the protection zone of the raicilla designation of origin (DO). The Agave maximiliana Baker is the most popular since 2022 and represents 75.4% in 2024. The percentages do not add up to 100% because several answers could be chosen among the respondents (IIEGJ, 2024).

2007-0934-remexca-16-06-e3820-gf7.png

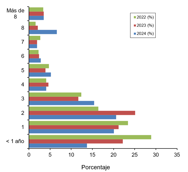
Regarding the percentage distribution of agaves planted according to their years of maturation, raicilla producers calculated an average of 13.7% of agaves planted in 2024, compared to 22.2% in the previous year, and there is a reduction in years of maturation, going from 21.2% in 2023 to 20.1% in 2024 of one-year-old agaves, and from 25.1% to 20.6% of two-year-old agaves by 2024 (Figure 3).

Figure 3

Figure 3. Percentage distribution of agaves planted according to their years of maturation. The distribution of raicillero agaves by years of maturation shows a negative trend. The bars represent relative percentages (IIEGJ, 2024).

2007-0934-remexca-16-06-e3820-gf8.png

Regarding the percentages of agave planted by municipalities in the DO since 2022, Mascota is the leading municipality in agave cultivation, despite a decrease from 40.4% in 2022 to 33.3% in 2024, followed by Mixtlán, which maintains a share of 33.3% in 2024. Cabo Corrientes and Talpa de Allende have a combined share of 25% for raicillero agaves plantations in 2024, despite lower percentages than in previous years (Figure 4).

Figure 4

Figure 4. Percentages of agave planted by the 17 municipalities of the DO (2022-2024). Mascota is the leading municipality in agave cultivation with 33.3% in 2024. The bars are percentages and reflect location preferences, they do not add up to 100% due to the possibility of having plantations in multiple municipalities among the raicilla producers (IIEGJ, 2024).

2007-0934-remexca-16-06-e3820-gf9.png

Regarding the percentage of hectares planted by municipality, Mascota leads with 36% in 2024, whereas Mixtlán reached 29.8%. Atenguillo had a decrease from 16.8% in 2023 to 6.4% in 2024, while municipalities such as Tecolotlán, Atengo, Juchitlán, Puerto Vallarta and Tomatlán, despite the decrease in shares, have greater diversification in their sustainable agriculture of agaves for raicilla (Figure 5) (IIEGJ, 2024).

Figure 5

Figure 5. Percentage of hectares planted by each municipality in the DO, 2022-2024. Mascota maintains its position as the leading municipality with 36% in 2024. The bars represent relative percentages (IIEGJ, 2024).

2007-0934-remexca-16-06-e3820-gf10.png

Discussion

Raicilla production represents a comprehensive model of sustainable agriculture by combining traditional farming methods with the conservation of agave biodiversity. The results obtained highlight the predominance of Agave maximiliana, which increased from 70.2% in 2023 to 75.4% in 2024, reflecting its preference as a keystone species for its hardiness and yield. At the same time, the increase in the adoption of Agave angustifolia and A. inaequidens, which reached shares of 31.6% and 7% respectively, underlines the importance of diversification in agricultural production (IIEGJ, 2024).

Sexual reproduction of raicillero agaves by seed offers advantages over clonal propagation of species such as Agave tequilana Weber and ensures long-term raw material availability (Martínez et al., 2022). The integration of multiple agave species reinforces ecosystem services, such as pollination and soil fertility, essential factors to maintain the stability of agroecosystems, especially in vulnerable regions (Trejo-Salazar et al., 2016).

Mascota is the largest producing municipality, with 36% of the hectares allocated to agave in 2024, although it presents a slight decrease compared to previous years due to crop rotation in that municipality. Despite its leadership, it is necessary to diversify productive activity in other regions to ensure long-term ecological sustainability and avoid overexploitation of resources in concentrated areas.

Sustainable agricultural practices, such as agave reforestation, soil management through terraces and intercropping, and the use of biofertilizers, have proven effective in balancing productivity and environmental conservation (Torres-García et al., 2020).

Sustainable agriculture of raicillero agaves is also driven by their potential as a raw material in biotechnology (Navarro-Badilla et al., 2023). Based on the above, the following actions are suggested: 1) reforestation of wild agaves in collaboration with local communities and academics to ensure the regeneration of the species used (Nuño and Navarro, 2021); 2) promoting the adoption of organic and fair trade certifications that allow the differentiation of raicilla in international markets (Delgado Aceves et al., 2024); 3) encouraging innovation, research and development of technologies that optimize agricultural and distillation processes (Martínez et al., 2022) and 4) strengthening public policies with regulatory frameworks that protect traditional practices and promote sustainability in raicilla production, as well as the promotion of training programs (Bowen and Zapata, 2009; IIEGJ, 2024).

Conclusions

Raicilla production exemplifies sustainability by merging traditional agriculture with modern practices that conserve agave biodiversity. The interest in Agave maximiliana, along with the interest in A. angustifolia and A. inaequidens, illustrates the balance between crop resilience and diversification. The use of multiple agave species ensures long-term raw material availability and improves resilience against pests, diseases, and environmental challenges.

The leadership of municipalities such as Mascota in the cultivation of agaves for raicilla emphasizes the need to focus on key regions while advocating for agricultural diversification to promote sustainability and mitigate overexploitation. In addition, the implementation of agroecological practices, such as agaves reforestation, and the recent introduction of micropropagation and in vitro propagation techniques of agaves can improve productivity and at the same time, preserve ecological integrity, thus fostering a balance between innovation and tradition, which is essential for the future of raicilla.

Bibliography

1 

Aureoles-Rodríguez, F.; Legaria-Solano, J. P.; Sahagún-Castellanos, J. y Peña Ortega, M. G. 2008. Propagación in vitro del Maguey bruto’ (Agave inaequidens Koch.), una especie amenazada de interés económico. Revista Chapingo. Serie Horticultura. 14(3):263-269. https://www.scielo.org.mx/scielo.php?pid=S1027-152X2008000300006&script=sci-abstract&tlng=pt.

2 

Bowen, S. and Zapata, A. V. 2009. Geographical indications, terroir, and socioeconomic and ecological sustainability: the case of tequila. Journal of Rural Studies. 25(1):108-119. https://doi.org/10.1016/j.jrurstud.2008.07.003.

3 

Cabrera-Toledo, D.; Vargas-Ponce, O.; Ascencio-Ramírez, S.; Valadez-Sandoval, L. M.; Pérez-Alquicira, J.; Morales-Saavedra, J. and Huerta-Galván, O. F. 2020. Morphological and genetic variation in monocultures, forestry systems and wild populations of Agave maximiliana of western Mexico: implications for its conservation. Frontiers in Plant Science. 11:1-19. https://doi.org/10.3389/fpls.2020.00817.

4 

Cuevas-Coeto, A.; Vera-Castillo, Y. B. y Cuevas-Sánchez, J. A. 2019. Resiliencia y sostenibilidad de agroecosistemas tradicionales de México: Totonacapan. Revista Mexicana de Ciencias Agrícolas. 10(1):165-175. https://doi.org/10.29312/remexca.v10i1.1789

5 

Delgado Aceves, M. L.; Gutiérrez-Mora, A.; Salcedo-Ríos, B. y Corona-Pérez, S. 2024. Manejo agrobiotecnológico para la producción y conservación de Agave maximiliana Baker. 1a Ed. Centro de Investigación y Asistencia en Tecnología y Diseño del Estado de Jalisco. 110 p. https://doi.org/10.5281/zenodo.12826117.

6 

Franco, G. M. 2015. La raicilla. Herencia y patrimonio cultural de Jalisco 1a Ed. Grupo editorial: Editorial Universidad de Guadalajara. 168 p. https://doi.org/10.32870/9786077423522.

7 

García-Mendoza, A. J.; Sandoval-Gutiérrez, D.; Torres-García, I.; Casas, A.; González-Elizondo, M. 2019. Agave maximiliana. The IUCN red list of threatened species. E.T115645848A116354103. Iucn red list of threatened species. 9 p. https://doi.org/10.2305/iucn.uk.2019-3.rlts.t115645848a116354103.en.

8 

IIEGJ. 2024. Radiografía estadística de la industria de la Raicilla 2024. Instituto de Información Estadística y Geográfica de Jalisco. 40 p. https://iieg.gob.mx/ns/wp-content/uploads/2024/10/RadiografiaEstadisticadelaIndustriadelaRaicilla202420241030.pdf.

9 

López-Serrano, P. M.; Núñez-Fernández, G. A.; Alvarado-Barrera, R.; García-Montiel, E.; Ramírez-Aldaba, H. y Bocanegra-Salazar, M. 2022. Biomass estimation of Agave durangensis gentry using high-resolution images in Nombre de Dios, Durango. Drones. 6(148):2-10. https://doi.org/10.3390/drones6060148.

10 

Lucio-López, C. F. 2022. Los destilados de agave en México: una exploración desde la economía ecológica radical. Revibec: Revista Iberoamericana de Economía Ecológica. 35(3):21-38. https://raco.cat/index.php/Revibec/article/view/405173/499070.

11 

Martínez-Lara, J.; Flores-Benítez, S.; Cachúa-Torres, A.; Silos-Espino, H. y Valera Montero, L. 2022. Caracterización morfológica de especies de agave colectados en la zona de la sierra y la costa de Jalisco. Revista Mexicana de Agroecosistemas. 9:126-133. https://revistaremaeitvo.mx/index.php/remae/article/view/115.

12 

Martínez-Velasco, A.; Terán-Bustamante, A.; Ayala-Ramírez, S. and Castillo-Girón, V. M. 2024. Decision-making model in ancestral knowledge management: the case of the Raicilla in Mexico. Journal of Infrastructure, Policy and Development. 8(9):1-14. https://systems.enpress-publisher.com/index.php/jipd/article/view/6171.

13 

Nava-Cárdenas, J. Q.; Palacios-Rangel, M. I.; Ocampo-Ledesma, J. G.; Aguilar-Ávila, J. y Ortiz-Martínez, G. 2024. Cadena de valor y comercialización de la raicilla en el municipio de Mascota, Jalisco. Textual. 83:1-40. https://doi.org/10.5154/r.textual/2023.82.1.

14 

Navarro-Badilla, A.; Calderón-Ayala, G.; Delgado-Beleño, Y.; Heras-Sánchez, M. C.; Hurtado, R. B.; Leal-Pérez, J. E.; Hurtado-Macias, A. and Cortez-Valadez, M. 2023. Green synthesis for carbon quantum dots via Opuntia ficus-indica and Agave maximiliana: surface-enhanced Raman scattering sensing applications. ACS Omega. 8(37):33342-33348. https://doi.org/10.1021/acsomega.3c02735.

15 

Nuño-Gutiérrez, R. M. y Navarro Ochoa, A. 2021. El oficio del raicillero. Mercator Fortaleza. 20(e20011):1-16. https://www.scielo.br/j/mercator/a/4vxxMvsHntRt95Z7MBs5jkG/?lang=es.

16 

Pablo-Cano, M.; Espejel-García, A.; Hernández-Montes, A. and Hernández-Rodríguez, L. 2024. Consumers’ willingness to pay for attributes of sustainability, origin and production process in raicilla. Sustainability. 16(8633):1-13. https://doi.org/10.3390/su16198633.

17 

Poot-Rodríguez, K. J. y Mercado-Salgado, P. 2024. Innovación social en la producción de mezcal mexiquense y raicilla jalisciense en el marco de la denominación de origen. Estudios sociales. Revista de Alimentación Contemporánea y Desarrollo Regional. 34(64):1-33. https://www.ciad.mx/estudiosociales/index.php/es/article/view/1460/1206.

18 

Sánchez-González, D. J. 2025. La raicilla. Herencia y patrimonio cultural de Jalisco. Reseña del libro coordinado por Margarita Franco Gordo. Estudios Sociológicos de El Colegio de México. 43(127):1-8. https://doi.org/10.24201/es.2025v43.e2748.

19 

Santacruz-Ruvalcaba, F.; Castañeda-Nava, J. J.; Villanueva-Gónzalez, J. P.; García-Sahagún, M. L.; Portillo, L. and Contreras-Pacheco, M. L. 2022. Micropropagación de Agave maximiliana Baker por proliferación de yemas axilares. Polibotánica. 54:139-151. https://www.scielo.org.mx/scielo.php?pid=S1405-27682022000200139&script=sci-arttext.

20 

Tetreault, D.; McCulligh, C. y Lucio, C. 2021. Distilling agro‐extractivism: Agave and tequila production in Mexico. Journal of Agrarian Change. 21(1):143-162. https://doi.org/10.1111/joac.12402.

21 

Torres-García, I.; León-Jacinto, A.; Vega, E.; Moreno-Calles, A. I. and Casas, A. 2020. Integral projection models and sustainable forest management of Agave inaequidens in western Mexico. Frontiers in Plant Science. 11:1-15. https://doi.org/10.3389/fpls.2020.01224.

22 

Torres-García, I.; Rendón-Sandoval, F. J.; Blancas, J.; Casas, A. and Moreno-Calles, A. I. 2019. The genus Agave in agroforestry systems of Mexico. Botanical Sciences. 97(3):263-290. https://doi.org/10.17129/botsci.2202.

23 

Trejo-Salazar, R. E.; Eguiarte, L. E.; Suro-Piñera, D. y Medellín, R. A. 2016. Save our bats, save our tequila: industry and science join forces to help bats and agaves. Natural Areas Journal. 36(4):523-530. https://doi.org/10.3375/043.036.0417.

24 

Valenzuela-Zapata, A. G.; Pinedo, A. R. y Mizoguchi, M. 2008. Influencia asiática en la producción de mezcal en la costa de Jalisco. El caso de la raicilla. México y la Cuenca del Pacífico. 11(33):91-116. https://doi.org/10.32870/mycp.v11i33.317.

25 

Zazueta-Hernández, M. M.; Aceves-Martínez, M. A. and Godínez-Herrera, J. B. 2024. Generation of tourism from the denomination of origin (DO) “Raicilla case”. Scientific Journal of Applied Social and Clinical Science. 4(11):1-14. https://doi.org/10.22533/at.ed.2164112420052.

26 

Zizumbo-Villarreal, D.; Vargas-Ponce, O.; Rosales-Adame, J. J. and Colunga-García Marín, P. 2013. Sustainability of the traditional management of Agave genetic resources in the elaboration of mezcal and tequila spirits in western Mexico. Genetic Resources and Crop Evolution. 60(1):33-47. https://doi.org/10.1007/s10722-012-9812-z.