DOI: https://doi.org/10.29312/remexca.v16i8.3781

elocation-id: e3781

Lara-Villalobos, Calvo-Araya, Vargas-Martínez, and Rojas-Carrillo: Chitosan for controlling Lasiodiplodia and Rhizopus in Carica papaya L.

Journal Metadata

Journal Identifier: remexca [journal-id-type=publisher-id]

Journal Title Group

Journal Title (Full): Revista mexicana de ciencias agrícolas

Abbreviated Journal Title: Rev. Mex. Cienc. Agríc [abbrev-type=publisher]

ISSN: 2007-0934 [pub-type=ppub]

Publisher

Publisher’s Name: Instituto Nacional de Investigaciones Forestales, Agrícolas y Pecuarias

Article Metadata

Article Identifier: 10.29312/remexca.v16i8.3781 [pub-id-type=doi]

Article Grouping Data

Subject Group [subj-group-type=heading]

Subject Grouping Name: Articles

Title Group

Article Title: Chitosan for controlling Lasiodiplodia and Rhizopus in Carica papaya L.

Contributor Group

Contributor [contrib-type=author]

Name of Person [name-style=western]

Surname: Lara-Villalobos

Given (First) Names: Karolina

X (cross) Reference [ref-type=aff; rid=aff1]

Superscript: 1

Contributor [contrib-type=author]

Name of Person [name-style=western]

Surname: Calvo-Araya

Given (First) Names: José Alonso

X (cross) Reference [ref-type=aff; rid=aff1]

Superscript: 1

X (cross) Reference [ref-type=corresp; rid=c1]

Superscript: §

Contributor [contrib-type=author]

Name of Person [name-style=western]

Surname: Vargas-Martínez

Given (First) Names: Alejandro

X (cross) Reference [ref-type=aff; rid=aff2]

Superscript: 2

Contributor [contrib-type=author]

Name of Person [name-style=western]

Surname: Rojas-Carrillo

Given (First) Names: Oscar

X (cross) Reference [ref-type=aff; rid=aff3]

Superscript: 3

Affiliation [id=aff1]

Label (of an Equation, Figure, Reference, etc.): 1

Institution Name: in an Address: Laboratorio de Fitopatología-Escuela de Ciencias Agrarias-Universidad Nacional. Apartado 86-3000. Heredia, Costa Rica. (karolinalv02@gmail.com; alonso.calvo.araya@una.cr). [content-type=original]

Institution Name: in an Address: Escuela de Ciencias Agrarias [content-type=orgdiv1]

Institution Name: in an Address: Universidad Nacional [content-type=orgname]

Address Line

City: Heredia

Country: in an Address: Costa Rica [country=CR]

Affiliation [id=aff2]

Label (of an Equation, Figure, Reference, etc.): 2

Institution Name: in an Address: Escuela de Ciencias Agrarias-Universidad Nacional. Apartado 86-3000. Heredia, Costa Rica. (alejandro.vargas.martinez@una.cr). [content-type=original]

Institution Name: in an Address: Escuela de Ciencias Agrarias [content-type=orgdiv1]

Institution Name: in an Address: Universidad Nacional [content-type=orgname]

Address Line

City: Heredia

Country: in an Address: Costa Rica [country=CR]

Affiliation [id=aff3]

Label (of an Equation, Figure, Reference, etc.): 3

Institution Name: in an Address: Laboratorio de Investigación y Tecnología de Polímeros-Escuela de Química-Universidad Nacional. Apartado 86-3000. Heredia, Costa Rica. (oscar.rojas.carrillo@una.cr). [content-type=original]

Institution Name: in an Address: Escuela de Química [content-type=orgdiv1]

Institution Name: in an Address: Universidad Nacional [content-type=orgname]

Address Line

City: Heredia

Country: in an Address: Costa Rica [country=CR]

Author Note Group

Correspondence Information: [§] Autor para correspondencia: alonso.calvo.araya@una.cr. [id=c1]

Publication Date [date-type=pub; publication-format=electronic]

Day: 28

Month: 11

Year: 2025

Publication Date [date-type=collection; publication-format=electronic]

Season: Nov-Dec

Year: 2025

Volume Number: 16

Issue Number: 8

Electronic Location Identifier: e3781

History: Document History

Date [date-type=received]

Day: 1

Month: 08

Year: 2025

Date [date-type=accepted]

Day: 1

Month: 10

Year: 2025

Permissions

License Information [license-type=open-access; xlink:href=https://creativecommons.org/licenses/by-nc/4.0/; xml:lang=es]

Este es un artículo publicado en acceso abierto bajo una licencia Creative Commons

Abstract

Title: Abstract

The study aimed to evaluate the effect of chitosan on controlling L. theobromae and R. stolonifer, fungi associated with postharvest diseases in papaya. In vitro and in vivo tests were conducted using different concentrations of chitosan and reference fungicide. The variables evaluated included the percentage of mycelial growth inhibition, the lesion area, and the disease severity. Chitosan concentrations between 0.75% and 1% showed high efficacy against both pathogens, with inhibition levels comparable to those of the synthetic fungicide, with no statistically significant differences in most treatments.

Keyword Group [xml:lang=en]

Title: Keywords:

Keyword: fungal pathogens

Keyword: mycelial inhibition

Keyword: postharvest

Counts

Figure Count [count=10]

Table Count [count=2]

Equation Count [count=1]

Reference Count [count=19]

Abstract

The study aimed to evaluate the effect of chitosan on controlling L. theobromae and R. stolonifer, fungi associated with postharvest diseases in papaya. In vitro and in vivo tests were conducted using different concentrations of chitosan and reference fungicide. The variables evaluated included the percentage of mycelial growth inhibition, the lesion area, and the disease severity. Chitosan concentrations between 0.75% and 1% showed high efficacy against both pathogens, with inhibition levels comparable to those of the synthetic fungicide, with no statistically significant differences in most treatments.

Keywords

fungal pathogens, mycelial inhibition, postharvest.

Introduction

Papaya (Carica papaya L.) represents a fruit of great value, both for local consumption and for international trade, in Costa Rica. Nevertheless, during the postharvest stage, it faces significant health challenges, mainly due to diseases caused by the fungi Lasiodiplodia theobromae (Pat.) Griffon & Maubl. and Rhizopus stolonifer (Ehrenb.) Vuill., which can cause losses of more than 50% of production.

Traditionally, the management of these pathogens has depended on the use of synthetic fungicides; however, in recent years, more sustainable alternatives, such as chitosan-based coatings, have gained relevance, capable of forming a semipermeable film that limits the action of pathogens on the surface of the fruit (Romanazzi et al., 2017; Ayón et al., 2022; Uclaray et al., 2022; Heng-Tan et al., 2023; Singh et al., 2024).

Chitosan is a biopolymer derived from chitin, exhibiting antifungal, antibacterial, film-forming, and biodegradable properties, the effects of which vary according to its molecular weight and degree of deacetylation (Islam et al., 2017; Kumar et al., 2020; Singh et al., 2024). Several studies have demonstrated its effectiveness in preserving fruit and vegetable products, including papaya, strawberries, and tomatoes, by reducing fungal load and improving shelf life (Badawy and Rabea, 2021; Hernández-Montiel et al., 2023).

The research aimed to evaluate the antifungal activity of chitosan against L. theobromae and R. stolonifer, through in vitro and in vivo assays, as an alternative strategy in the postharvest management of papaya fruits.

Materials and methods

Plant material, localization and isolation of pathogens

The study was conducted at the Phytopathology Laboratory of the School of Agrarian Sciences of the National University (UNA), by its Spanish acronym, in Heredia, Costa Rica, using papaya fruits of the ‘Pococí’ hybrid. The fruits were collected at the packing plant of the Association of Export Papaya Producers (ASOPROPA), by its Spanish acronym, located in Jiménez de Guácimo, Limón, Costa Rica (10° 24’ 64.86” north latitude, 83° 73’ 64.77” west longitude; altitude of 222 m) and were transferred under controlled conditions to the laboratory for processing.

To isolate the fungi L. theobromae and R. stolonifer, the potato dextrose agar (PDA) medium was used, following the protocol described by Samithri et al. (2020). Dishes were incubated at 26 ± 2 °C in darkness for seven days, and pathogenicity tests were performed to confirm the virulence of the isolates before starting experimental trials.

Evaluation of the antifungal effect at the in vitro level

Chitosan solutions and PDA medium were prepared according to Edirisinghe et al. (2014) (Table 1). The experimental unit was a Petri dish (90 × 20 mm), in which 15 ml of each treatment was deposited, evenly distributed on the surface of the still liquid medium.

Table 1

Table 1. Description of the treatments established at the in vitro level.

Treatments Code No. of replications
1. Chitosan (1%) Tiv1 5
2. Chitosan (0.75%) Tiv2 5
3. Chitosan (0.5%) Tiv3 5
4. Chitosan (0.25%) Tiv4 5
5. Prochloraz (550 μl L-1) Tiv5 5
6. Prochloraz (1 000 μl L-1) Tiv6 5
7. Acetic acid (0.5%) Tiv7 5
8. PDA (39 g L-1) Tiv8 5

Once the media were solidified, a 0.5 cm diameter disc with active mycelium from each fungus was placed in the center of the dish. The dishes were sealed with Parafilm and incubated at 26 ±2 °C until the negative control (PDA only) reached the edge of the dish. Mycelial growth measurements were performed every 24 h in two orthogonal directions, averaging the diameter of the colony (Hernández et al., 2007).

In vitro evaluated treatments

Based on the measurements of mycelial growth in each treatment described in Table 1, the percentage of mycelial growth inhibition (PGI) was calculated using the formula:

P G I = D 1 - D 2 D 1 x 100

Where: D1= diameter of the control colony; D2= diameter of the colony in treatment.

Evaluation of the antifungal effect at the in vivo level

Four treatments, each with four replications, were evaluated (Table 2). Each fruit was wounded four times at four points using a sterile cork borer, immersed in the solutions for five minutes, and then left to stand at 26 °C for one hour to remove excess moisture (Hernández et al., 2020; Ayón et al., 2022).

Table 2

Table 2. Description of the treatments established at the in vivo level.

Treatments Code No. of replications
1. Chitosan (1%) Tev1 4
2. Chitosan (0.75%) Tev2 4
3. Prochloraz (1 000 μl L-1) Tev3 4
4. Sterile distilled water Tev4 4

Immediately, each fruit was inoculated with four agar discs (5 mm in diameter) containing active mycelium of L. theobromae or R. stolonifer, with six days of development in PDA. To ensure inoculum homogeneity, an approximate concentration of 1 × 10⁵ ml-1 conidia was estimated by Neubauer chamber counting in previous culture samples. The fruits were placed in sterile plastic containers with a capacity of 3 L and airtight lids and kept at 24 ±2 °C in dark conditions. The severity of the disease was assessed every 24 h post-inoculation by measuring the diameter of the lesions in two perpendicular directions, using a ruler (Karpova et al., 2021).

Statistical analysis

The statistical software InfoStat (Di Rienzo et al., 2020) was used for analyzing the data on incidence and percentage of mycelial growth inhibition (PGI) of pathogens. Measures of central tendency and dispersion (mean, deviation, and standard error of the mean) were calculated. Subsequently, a repeated measures analysis of variance (Anova) was performed, followed by a separation of means using the Di Rienzo, Guzmán, and Casanoves test (DGC) (p ≤ 0.05), under a completely randomized design (CRD).

Results and discussion

In vitro evaluations, effect of chitosan on R. stolonifer, mycelial growth inhibition and percentage of growth inhibition

The chitosan concentrations evaluated (0.25%-1%) significantly inhibited the mycelial growth of R. stolonifer, with PGI values above 85%, comparable to those obtained with the synthetic fungicide prochloraz (Figures 1 and 2). In contrast, treatments with acetic acid and PDA medium allowed complete colony development in four days (Figure 3). The differences between treatments were statistically significant (p ≤ 0.05), according to the Di Rienzo, Guzmán, and Casanoves (DGC) means comparison test.

Figure 1

Figure 1. In vitro mycelial growth (cm) of R. Stolonifer under the effect of the treatments.

2007-0934-remexca-16-08-e3781-gf1.png
Figure 2

Figure 2. Percentage of mycelial growth inhibition (PGI) of R. stolonifer.

2007-0934-remexca-16-08-e3781-gf2.png
Figure 3

Figure 3. In vitro control effect of chitosan on R. stolonifer.

2007-0934-remexca-16-08-e3781-gf3.png

These data are consistent with reports by El-Araby et al. (2024), who documented that chitosan (molecular weight 150-190 kDa, 85% deacetylation) applied at concentrations between 2 and 3% managed to inhibit the growth of R. stolonifer in a range of 70-81.4%. Likewise, Coronado et al. (2023) found that concentrations of 1.5 and 2.5% chitosan reduced the mycelial growth of R. stolonifer by 44 to 48%.

The antifungal effect of chitosan can be attributed to its ability to alter plasma membrane permeability, cause cellular potassium loss, and decrease the activity of key enzymes in fungal metabolism, such as chitinase or β-glucanase (Kong et al., 2010; Rabea et al., 2020; Xing et al., 2021; Poznanski et al., 2023). This mode of action is intensified as the degree of deacetylation increases and the molecular weight decreases, which favors electrostatic interaction with the cell membrane of the pathogen. Additionally, the formation of a semipermeable barrier over the culture medium limits oxygen diffusion, which contributes to the inhibition of mycelial growth (Edirisinghe et al., 2014; Hernández-Montiel et al., 2023).

Effect of chitosan on L. theobromae

The concentrations of chitosan at 0.75% and 1% showed the lowest values of mycelial growth of L. theobromae, with no statistically significant differences between them (Figure 4).

Figure 4

Figure 4. In vitro mycelial growth (cm) of L. theobromae, under the effect of treatments.

2007-0934-remexca-16-08-e3781-gf4.png

Chitosan concentrations at 0.75% and 1% also presented the highest average inhibition values (89%), which evidences its high antifungal efficacy under in vitro conditions (Figure 5). On the other hand, the doses of 0.5% and 0.25%, as well as the treatment with the minimum dose of prochloraz, partially inhibited mycelial growth, reaching PGI values of 80% and 70%, respectively. Prochloraz showed an inhibition ranging from 84% to 86%, without exceeding the effect of chitosan at high doses.

Figure 5

Figure 5. Percentage of mycelial growth inhibition (PGI) of L. theobromae.

2007-0934-remexca-16-08-e3781-gf5.png

Treatments with 0.5% acetic acid and control with distilled water allowed a complete mycelial growth of L. theobromae in the Petri dish from the fourth day after inoculation, covering 100% of the available surface area (Figure 6). The statistical analysis includes error bars (standard deviation) and homogeneous groups by the DGC test (p ≤ 0.05), which confirm significant differences between treatments.

Figure 6

Figure 6. In vitro control effect of chitosan on L. theobromae.

2007-0934-remexca-16-08-e3781-gf6.png

The antifungal effect of chitosan on L. theobromae can be attributed to mechanisms including cell membrane perturbation, inhibition of DNA synthesis, and the generation of oxidative stress, promoting programmed cell death in fungal structures (Xing et al., 2021). Studies such as those by El-Araby et al. (2024); Coronado et al. (2023) have documented similar results with other phytopathogenic fungi under in vitro conditions, highlighting that chitosan, at doses greater than 0.75%, can be as effective as conventional fungicides. In this study, the efficacy of chitosan was concentration-dependent, and the results support its potential as an eco-friendly alternative for postharvest management of tropical fruits.

In vivo evaluations

Antifungal activity of chitosan on R. stolonifer in papaya fruits

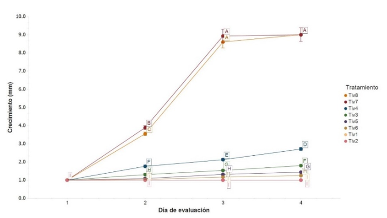
At concentrations of 1% and 0.75%, chitosan showed an effectiveness comparable to that of the maximum dose of prochloraz in suppressing the mycelial growth of R. stolonifer under in vivo conditions. These concentrations significantly inhibited the progression of fungal colonization from the second day post-inoculation, remaining constant until the fifth day (Figure 7) (Pervin et al., 2020). Comparisons were made between treatments at each daily assessment point using a repeated-measures analysis of variance, followed by the DGC test (p < 0.05).

Figure 7

Figure 7. Effect of the treatments on the severity of mycelial growth (mm) of R. stolonifer in papaya for five days after applying the treatments. In vivo evaluation of: A) chitosan at 1%; B) chitosan at 0.75%; C) maximum dose of prochloraz; D) distilled water. Different letters indicate significant differences between treatments (p < 0.05).

2007-0934-remexca-16-08-e3781-gf7.png

Cortés-Rivera et al. (2021) also evaluated the antifungal activity of chitosan (1 and 1.5%) against R. stolonifer, obtaining PGI results of 83 and 87%, respectively. Figure 8 shows the appearance of papaya fruits five days after applying the treatments. Visually, fruits treated with 1% and 0.75% chitosan (panels B and D) have a lower number and size of necrotic lesions compared to fruits treated with distilled water (control, panel A) (Torres-Rodríguez et al., 2025).

Figure 8

Figure 8. Appearance of the effect of chitosan on the control of R. stolonifer in papaya, five days after applying the treatments. A) distilled water (control); B) chitosan at 1%; C) maximum dose of prochloraz; D) chitosan at 0.75%.

2007-0934-remexca-16-08-e3781-gf8.png

This observation is consistent with quantitative values of the percentage of mycelial growth inhibition (PGI), where inhibitions of up to 87% were recorded for chitosan at 1%, compared to 85-88% for prochloraz (Figure 8C) (Silva et al., 2023). While the visual difference between chitosan and prochloraz is minimal, experimental data indicate that both alternatives offer similar control over R. stolonifer under in vivo conditions.

Determination of the antifungal activity of chitosan on L. theobromae in papaya fruits

Under the in vivo conditions evaluated, prochloraz treatment showed the highest values of inhibition of mycelial growth of L. theobromae, followed by chitosan concentrations of 1% and 0.75%, which also exerted a significantly higher effect than that of the negative control (distilled water) (Figure 9 A-D).

Figure 9

Figure 9. Effect of treatments on the severity of mycelial growth (mm) of L. theobromae in papaya for five days after applying the treatments. In vivo evaluation of: A) distilled water (control); B) chitosan at 0.75%; C) chitosan at 1%; D) maximum dose of prochloraz. Different letters indicate significant differences (p < 0.05).

2007-0934-remexca-16-08-e3781-gf9.png

At the visual level, a lower area and number of necrotic lesions were observed in the fruits treated with chitosan (Figure 10 A-D), which coincides with the quantitative measurements and statistical analysis (Figure 9 A-D). Differences between treatments were significant (p < 0.05) and were indicated by different letters on the growth charts (Figure 9 E).

Previous studies support these findings. Gomes et al. (2020) demonstrated that coatings with chitosan at concentrations of 1-5% inhibited the growth of several species of the Lasiodiplodia complex, including L. theobromae, in papaya, especially at concentrations of 4%. Cuong et al. (2022) reported that chitosan nanoparticles at 250 ppm completely suppressed L. pseudotheobromae symptoms in citrus under high moisture and 30 ±0.2 °C. These results confirm that chitosan can act effectively as an alternative control agent against L. theobromae, with results comparable to those of conventional fungicides, especially when applied in doses greater than 0.75% (Figure 10).

Figure 10

Figure 10. Effect of chitosan on the control of L. theobromae in papaya five days after applying the treatments. A) Distilled water (control); B) chitosan at 0.75%; C) chitosan at 1%; D) maximum dose of prochloraz.

2007-0934-remexca-16-08-e3781-gf10.png

The study by Cuong et al. (2022) demonstrated in vivo that treatment with 250 ppm of chitosan nanoparticles completely suppressed the symptoms of the disease caused by L. pseudotheobromae in citrus fruits. This effect was observed after 12 days of incubation at 30 ±0.2 °C and under conditions of high relative humidity, confirming Chitosan’s potential as an effective antifungal agent in postharvest environments (Chowdappa et al., 2020).

Conclusions

Chitosan demonstrated high antifungal efficacy against L. theobromae and R. stolonifer in papaya fruits, both in vitro and in vivo, especially at concentrations of 0.75% and 1%. Its effectiveness was comparable to that of the synthetic fungicide prochloraz, reinforcing its potential as an ecological and sustainable alternative in the postharvest management of fungal diseases.

Bibliography

1 

Ayón, L. E.; Uriarte-Gastelum, Y. G.; Camacho-Díaz, B. H.; Tapia-Maruri, D.; López-López, M. E.; López-Velázquez, J. G. and Vega-García, M. O. 2022. Antifungal activity of chitosan and mint essential oil coating on the development of Colletotrichum gloeosporioides in papaya using macroscopic and microscopic analysis. Food and Bioprocess Technology. 15(2):368-378.

2 

Chowdappa, P. P.; Gowda, S. S.; Chethana, C. S. and Madhura, S. S. 2020. Antifungal activity of chitosan-silver nanoparticle composite against Colletotrichum gloeosporioides associated with mango anthracnose. African Journal of Microbiology Research. 14(10):1803-1812.

3 

Cuong, H. N.; Minh, N. C.; Hoa, N. V.; Van, G. Z.; Hieu D. H.; Van, N. V. and Nam, P. V. 2022. Antifungal activity of squid pen chitosan nanoparticles against three fungal pathogens in various citrus fruits in vitro and in vivo. Coatings. 12(2):235.

4 

Edirisinghe, M. V.; Ali, A. V.; Maqbool, M. E. and Alderson, P. G. 2014. Chitosan controls postharvest anthracnose in bell pepper by activating defense-related enzymes. Journal of Food Science and Technology. 51(12):4078-4083.

5 

El-Araby, A.; Janati, W. C.; Ullah, R. A.; Uddin, N. S. and Bari, A. B. 2024. Antifungal efficacy of chitosan extracted from shrimp shell on strawberry (Fragaria × ananassa) postharvest spoilage fungi. Heliyon. 10(7):1-10.

6 

Gomes, A. C. A.; Costa-Lima, M.; Oliveira, K. Á. R.; Santos-Lima, M.; Magnani, M. A. Câmara, M. P. S. and Souza, E. L. 2020. Coatings with chitosan and phenolic-rich extract from acerola (Malpighia emarginata DC.) or jabuticaba (Plinia jaboticaba (Vell.) Berg) processing by-product to control rot caused by Lasiodiplodia spp. in papaya (Carica papaya L.) fruit. Int J Food Microbiol. 331(2020):108694.

7 

Heng-Tan, G.; Ali, A. A. and Siddiqui, Y. E. 2023. Major fungal postharvest diseases of papaya: current and prospective diagnosis methods. 174(2023):106399-10.

8 

Hernández, A. N.; Hernández, M. M.; Velázquez, M. G.; Guerra, M. G. y Melo, G. E. 2007. Actividad antifúngica del quitosano en el control de Rhizopus stolonifer (Ehrenb.: Fr.) Vuill. y Mucor spp. Revista Mexicana de Fitopatología. 25(2):109-113.

9 

Islam, S. S.; Bhuiyan, M. R. and Islam, M. N. 2017. Chitin and chitosan: structure, properties and applications in biomedical engineering. Journal of Polymers and the Environment. 25(3):854-866.

10 

Karpova, N. V.; Shagdarova, B. S.; Lunkov, A. E.; Il’ina, A. F. and Varlamov, V. B. 2021. Antifungal action of chitosan in combination with fungicides in vitro and chitosan conjugate with gallic acid on tomatoes against Botrytis cinerea. Biotechnology Letters. 43(8):1565-1574.

11 

Kong, M. V.; Chen, X. G.; Xing, K. A., and Park, H. J. 2021. Antimicrobial properties of chitosan and mode of action: a state-of-the-art review. International Journal of Food Microbiology. 1(144):51-63.

12 

Pervin, S. A.; Islam, M. S.; Khan, M. H. H. and Molla, M. M. 2020. Influence of chitosan on postharvest quality and storability of papaya (Carica papaya L.) fruit. BOU Journal of Agriculture and Rural Development. 12(2):33-42.

13 

Poznanski, P. G; Hameed, A. F. and Orczyk, W. G. 2023. Chitosan and chitosan nanoparticles: parameters enhancing antifungal activity. Molecules. 28(7):2996-2999.

14 

Romanazzi, G. G.; Feliziani, E. E.; Baños, S. B. and Sivakumar, D. D. 2017. Shelf life extension of fresh fruit and vegetables by chitosan treatment. Critical reviews in food Science and Nutrition. 57(3):579-601.

15 

Samithri, Y. A. S.; Karunanayake, K. O. L. C. and Kulasinghe, A. A. 2020. In vitro study of selected essential oils against Colletotrichum sp. and Lasiodiplodia sp. causing postharvest diseases in papaya. Ceylon Journal of Science. 49(5):389-396.

16 

Silva, K. G.; Cavalcanti, M. T.; Martins, L. P.; Alves, R. C.; Lucena, F. A.; Santos, M. S. A.; Silva, S. X.; Costa, F. B.; Moreira, I. S. and Pereira, E. M. 2023. Coatings based on gelatin and chitosan in the conservation of papaya (Carica papaya L.) minimally processed. Horticulturae. 9(7):729-736.

17 

Singh, H. H.; Bhasin, J. K.; Dash, K. J. and Shams, R. E.; Shaikh, A. M. and Béla, K. K 2024. Effect of chitosan-based edible coating in management of post-harvest losses in papaya: a comprehensive review. Applied Food Research. 4(3):100456-100459.

18 

Torres-Rodríguez, J. A.; Reyes-Pérez, J. J.; Ramos, L. T. L.; Gonzalo-Matute, L.; Rueda-Puente, E. O. and Hernández-Montiel, L. G. 2025. Chitosan as a postharvest alternative for the control of Phytophthora capsici in bell pepper fruits. Science. 7(2):37-45.

19 

Uclaray, C. C.; Vidallon, M. L.; Almeda, R. A.; Cumagun, C. J.; Reyes, C. T. and Rodríguez, E. B. 2022. Encapsulation of wild oregano, Plectranthus amboinicus (Lour.) Spreng, phenolic extract in baker’s yeast for the postharvest control of anthracnose in papaya. Journal of the Science of Food and Agriculture. 102(11):4657-4667.