DOI: https://doi.org/10.29312/remexca.v16i8.3781

elocation-id: e3781

Lara-Villalobos, Calvo-Araya, Vargas-Martínez, and Rojas-Carrillo: Quitosano para el control de Lasiodiplodia y Rhizopus en Carica papaya L.

Journal Metadata

Journal Identifier: remexca [journal-id-type=publisher-id]

Journal Title Group

Journal Title (Full): Revista mexicana de ciencias agrícolas

Abbreviated Journal Title: Rev. Mex. Cienc. Agríc [abbrev-type=publisher]

ISSN: 2007-0934 [pub-type=ppub]

Publisher

Publisher’s Name: Instituto Nacional de Investigaciones Forestales, Agrícolas y Pecuarias

Article Metadata

Article Identifier: 10.29312/remexca.v16i8.3781 [pub-id-type=doi]

Article Grouping Data

Subject Group [subj-group-type=heading]

Subject Grouping Name: Artículos

Title Group

Article Title: Quitosano para el control de Lasiodiplodia y Rhizopus en Carica papaya L.

Contributor Group

Contributor [contrib-type=author]

Name of Person [name-style=western]

Surname: Lara-Villalobos

Given (First) Names: Karolina

X (cross) Reference [ref-type=aff; rid=aff1]

Superscript: 1

Contributor [contrib-type=author]

Name of Person [name-style=western]

Surname: Calvo-Araya

Given (First) Names: José Alonso

X (cross) Reference [ref-type=aff; rid=aff1]

Superscript: 1

X (cross) Reference [ref-type=corresp; rid=c1]

Superscript: §

Contributor [contrib-type=author]

Name of Person [name-style=western]

Surname: Vargas-Martínez

Given (First) Names: Alejandro

X (cross) Reference [ref-type=aff; rid=aff2]

Superscript: 2

Contributor [contrib-type=author]

Name of Person [name-style=western]

Surname: Rojas-Carrillo

Given (First) Names: Oscar

X (cross) Reference [ref-type=aff; rid=aff3]

Superscript: 3

Affiliation [id=aff1]

Label (of an Equation, Figure, Reference, etc.): 1

Institution Name: in an Address: Laboratorio de Fitopatología-Escuela de Ciencias Agrarias-Universidad Nacional. Apartado 86-3000. Heredia, Costa Rica. (karolinalv02@gmail.com; alonso.calvo.araya@una.cr). [content-type=original]

Institution Name: in an Address: Escuela de Ciencias Agrarias [content-type=orgdiv1]

Institution Name: in an Address: Universidad Nacional [content-type=orgname]

Address Line

City: Heredia

Country: in an Address: Costa Rica [country=CR]

Affiliation [id=aff2]

Label (of an Equation, Figure, Reference, etc.): 2

Institution Name: in an Address: Escuela de Ciencias Agrarias-Universidad Nacional. Apartado 86-3000. Heredia, Costa Rica. (alejandro.vargas.martinez@una.cr). [content-type=original]

Institution Name: in an Address: Escuela de Ciencias Agrarias [content-type=orgdiv1]

Institution Name: in an Address: Universidad Nacional [content-type=orgname]

Address Line

City: Heredia

Country: in an Address: Costa Rica [country=CR]

Affiliation [id=aff3]

Label (of an Equation, Figure, Reference, etc.): 3

Institution Name: in an Address: Laboratorio de Investigación y Tecnología de Polímeros-Escuela de Química-Universidad Nacional. Apartado 86-3000. Heredia, Costa Rica. (oscar.rojas.carrillo@una.cr). [content-type=original]

Institution Name: in an Address: Escuela de Química [content-type=orgdiv1]

Institution Name: in an Address: Universidad Nacional [content-type=orgname]

Address Line

City: Heredia

Country: in an Address: Costa Rica [country=CR]

Author Note Group

Correspondence Information: [§] Autor para correspondencia: alonso.calvo.araya@una.cr. [id=c1]

Publication Date [date-type=pub; publication-format=electronic]

Day: 28

Month: 11

Year: 2025

Publication Date [date-type=collection; publication-format=electronic]

Season: Nov-Dec

Year: 2025

Volume Number: 16

Issue Number: 8

Electronic Location Identifier: e3781

History: Document History

Date [date-type=received]

Day: 1

Month: 08

Year: 2025

Date [date-type=accepted]

Day: 1

Month: 10

Year: 2025

Permissions

License Information [license-type=open-access; xlink:href=https://creativecommons.org/licenses/by-nc/4.0/; xml:lang=es]

Este es un artículo publicado en acceso abierto bajo una licencia Creative Commons

Abstract

Title: Resumen

El objetivo del estudio fue evaluar el efecto del quitosano en el control de L. theobromae y R. stolonifer, hongos asociados a enfermedades poscosecha en papaya. Se realizaron ensayos in vitro e in vivo con diferentes concentraciones de quitosano y un fungicida de referencia. Las variables evaluadas incluyeron el porcentaje de inhibición del crecimiento micelial, el área de la lesión y la severidad de la enfermedad. Las concentraciones de quitosano entre 0.75% y 1% mostraron alta eficacia contra ambos patógenos, con niveles de inhibición comparables al fungicida sintético, sin diferencias estadísticas significativas en la mayoría de los tratamientos.

Keyword Group [xml:lang=es]

Title: Palabras clave:

Keyword: inhibición micelial

Keyword: patógenos fúngicos

Keyword: poscosecha

Counts

Figure Count [count=10]

Table Count [count=2]

Equation Count [count=1]

Reference Count [count=19]

Resumen

El objetivo del estudio fue evaluar el efecto del quitosano en el control de L. theobromae y R. stolonifer, hongos asociados a enfermedades poscosecha en papaya. Se realizaron ensayos in vitro e in vivo con diferentes concentraciones de quitosano y un fungicida de referencia. Las variables evaluadas incluyeron el porcentaje de inhibición del crecimiento micelial, el área de la lesión y la severidad de la enfermedad. Las concentraciones de quitosano entre 0.75% y 1% mostraron alta eficacia contra ambos patógenos, con niveles de inhibición comparables al fungicida sintético, sin diferencias estadísticas significativas en la mayoría de los tratamientos.

Palabras clave

inhibición micelial, patógenos fúngicos, poscosecha.

Introducción

El cultivo de papaya (Carica papaya L.) representa una fruta de gran valor tanto para el consumo local como para el comercio internacional en Costa Rica. No obstante, durante la etapa de poscosecha, enfrenta importantes desafíos sanitarios, principalmente por enfermedades causadas por los hongos Lasiodiplodia theobromae (Pat.) Griffon & Maubl. y Rhizopus stolonifer (Ehrenb.) Vuill., que pueden ocasionar pérdidas superiores al 50% de la producción.

Tradicionalmente, el manejo de estos patógenos ha dependido del uso de fungicidas sintéticos; sin embargo, en los últimos años han cobrado relevancia las alternativas más sostenibles, como los recubrimientos a base de quitosano, capaces de formar una película semipermeable que limita la acción de los patógenos sobre la superficie del fruto (Romanazzi et al., 2017; Ayón et al., 2022; Uclaray et al., 2022; Heng-Tan et al., 2023; Singh et al., 2024).

El quitosano es un biopolímero derivado de la quitina con propiedades antifúngicas, antibacterianas, filmógenas y biodegradables, cuyo efecto varía según su peso molecular y grado de desacetilación (Islam et al., 2017; Kumar et al., 2020; Singh et al., 2024). Diversos estudios han demostrado su eficacia en la conservación de productos hortofrutícolas, incluyendo papaya, fresas y tomates, mediante la reducción de la carga fúngica y la mejora de la vida útil (Badawy y Rabea, 2021; Hernández-Montiel et al., 2023).

El objetivo de la investigación fue evaluar la actividad antifúngica del quitosano frente a L. theobromae y R. stolonifer, mediante ensayos in vitro e in vivo, como una estrategia alternativa en el manejo poscosecha de frutos de papaya.

Materiales y métodos

Material vegetal, localización y aislamiento de patógenos

El estudio se llevó a cabo en el Laboratorio de Fitopatología de la Escuela de Ciencias Agrarias de la Universidad Nacional (UNA), en Heredia, Costa Rica, utilizando frutos de papaya del híbrido ‘Pococí’. Los frutos se recolectaron en la planta empacadora de la Asociación de Productores de Papaya de Exportación (ASOPROPA), ubicada en Jiménez de Guácimo, Limón, Costa Rica (10° 24’ 64.86” latitud norte, 83° 73’ 64.77” longitud oeste; altitud: de 222 m) y fueron trasladados en condiciones controladas hasta el laboratorio para su procesamiento.

Para el aislamiento de los hongos L. theobromae y R. stolonifer, se empleó medio papa dextrosa agar (PDA), siguiendo el protocolo descrito por Samithri et al. (2020). Las placas se incubaron a 26 ±2 °C en oscuridad durante siete días, y se realizaron pruebas de patogenicidad para confirmar la virulencia de los aislados antes de iniciar los ensayos experimentales.

Evaluación del efecto antifúngico a nivel in vitro

Las soluciones de quitosano y el medio PDA se prepararon según Edirisinghe et al. (2014) (Cuadro 1). La unidad experimental fue una caja de Petri (90 × 20 mm), en la cual se depositaron 15 ml de cada tratamiento, distribuidos de forma uniforme sobre la superficie del medio aún líquido.

Cuadro 1

Cuadro 1. Descripción de los tratamientos establecidos a nivel in vitro.

Tratamientos Código Núm. de repeticiones
1. Quitosano (1%) Tiv1 5
2. Quitosano (0.75%) Tiv2 5
3. Quitosano (0.5%) Tiv3 5
4. Quitosano (0.25%) Tiv4 5
5. Procloraz (550 μl L-1) Tiv5 5
6. Procloraz (1 000 μl L-1) Tiv6 5
7. Ácido acético (0.5%) Tiv7 5
8. PDA (39 g L-1) Tiv8 5

Una vez solidificados los medios, se colocó un disco de 0.5 cm de diámetro con micelio activo de cada hongo en el centro de la caja. Las placas se sellaron con Parafilm y se incubaron a 26 ±2 °C hasta que el control negativo (solo PDA) alcanzó el borde de la caja. Las mediciones del crecimiento micelial se realizaron cada 24 h en dos direcciones ortogonales, promediando el diámetro de la colonia (Hernández et al., 2007).

Tratamientos evaluados in vitro

A partir de las mediciones del crecimiento micelial en cada tratamiento descrito en el (Cuadro 1), se calculó el porcentaje de inhibición del crecimiento micelial (PIC) utilizando la fórmula:

P I C = D 1 - D 2 D 1 x 100

Donde: D1= diámetro de la colonia control; D2= diámetro de la colonia en el tratamiento.

Evaluación del efecto antifúngico a nivel in vivo

Se evaluaron cuatro tratamientos con cuatro repeticiones cada uno (Cuadro 2). A cada fruto se le realizaron cuatro heridas en cuatro puntos con sacabocados estéril y sumergido cinco minutos en las soluciones, reposando a 26 °C por una hora para eliminar el exceso de humedad (Hernández et al. 2020; Ayón et al., 2022).

Cuadro 2

Cuadro 2. Descripción de los tratamientos establecidos a nivel in vivo.

Tratamientos Código Número de repeticiones
1. Quitosano (1%) Tev1 4
2. Quitosano (0.75%) Tev2 4
3. Procloraz (1000 μl L-1) Tev3 4
4. Agua destilada estéril Tev4 4

En forma inmediata por cada fruto fue inoculado con cuatro discos de agar (5 mm de diámetro) que contenían micelio activo de L. theobromae o R. stolonifer, con seis días de desarrollo en PDA. Para garantizar la homogeneidad del inóculo, se estimó una concentración aproximada de 1 × 10⁵ conidios ml-1 mediante conteo en cámara de Neubauer en muestras previas de cultivo. Los frutos fueron colocados en recipientes plásticos estériles con capacidad de 3 L, tapa hermética y mantenidos a 24 ±2 °C en condiciones de oscuridad. La severidad de la enfermedad se evaluó cada 24 h posinoculación, mediante la medición del diámetro de las lesiones en dos direcciones perpendiculares, utilizando una regla (Karpova et al., 2021).

Análisis estadístico

Se utilizó el software estadístico InfoStat (Di Rienzo et al., 2020) para el análisis de los datos de incidencia y del porcentaje de inhibición del crecimiento micelial (PIC) de los patógenos. Se calcularon medidas de tendencia central y dispersión (media, desviación y error estándar de la media). Posteriormente, se realizó un análisis de varianza (Anova) para medidas repetidas en el tiempo, seguido de una separación de medias mediante la prueba de Di Rienzo, Guzmán y Casanoves (DGC) (p≤ 0.05), bajo un diseño completamente al azar (DCA).

Resultados y discusión

Evaluaciones in vitro, efecto del quitosano sobre R. stolonifer, inhibición del crecimiento micelial y porcentaje de inhibición del crecimiento

Las concentraciones de quitosano evaluadas (0.25%-1%) inhibieron significativamente el crecimiento micelial de R. stolonifer, con valores de PIC superiores al 85%, comparables a los obtenidos con el fungicida sintético procloraz (Figura 1 y 2). En contraste, los tratamientos con ácido acético y el medio PDA permitieron el desarrollo completo de la colonia en cuatro días (Figura 3). Las diferencias entre tratamientos fueron estadísticamente significativas (p ≤ 0.05), según la prueba de comparación de medias de Di Rienzo, Guzmán y Casanoves (DGC).

Figura 1

Figura 1. Crecimiento micelial (cm) in vitro de R. stolonifer bajo el efecto de tratamientos.

2007-0934-remexca-16-08-e3781-gf1.png
Figura 2

Figura 2. Porcentaje de inhibición del crecimiento micelial (PIC) de R. stolonifer.

2007-0934-remexca-16-08-e3781-gf2.png
Figura 3

Figura 3. Efecto de control in vitro de quitosano sobre R. stolonifer.

2007-0934-remexca-16-08-e3781-gf3.png

Estos datos concuerdan con los reportes de El-Araby et al. (2024), documentaron que el quitosano (peso molecular 150-190 kDa, 85% de desacetilación) aplicado a concentraciones entre 2 y 3% logró inhibir el crecimiento de R. stolonifer en un rango de 70 a 81.4%. Asimismo, Coronado et al. (2023) encontraron que concentraciones de 1.5 y 2.5% de quitosano redujeron el crecimiento micelial de R. stolonifer entre 44 y 48%.

El efecto antifúngico del quitosano puede atribuirse a su capacidad de alterar la permeabilidad de la membrana plasmática, provocar la pérdida de potasio celular y disminuir la actividad de enzimas clave en el metabolismo fúngico, como la quitinasa o la β-glucanasa (Kong et al. 2010; Rabea et al., 2020; Xing et al., 2021; Poznanski et al., 2023). Este modo de acción se ve intensificado a medida que aumenta el grado de desacetilación y disminuye el peso molecular, lo que favorece la interacción electrostática con la membrana celular del patógeno. Además, la formación de una barrera semipermeable sobre el medio de cultivo limita la difusión de oxígeno, lo que contribuye a la inhibición del crecimiento micelial (Edirisinghe et al., 2014; Hernández-Montiel et al., 2023).

Efecto del quitosano sobre L. theobromae

Las concentraciones de quitosano al 0.75% y 1% mostraron los valores más bajos de crecimiento micelial de L. theobromae, sin diferencias estadísticas significativas entre ellas (Figura 4).

Figura 4

Figura 4. Crecimiento micelial (cm) in vitro de L. theobromae, bajo el efecto de tratamientos.

2007-0934-remexca-16-08-e3781-gf4.png

Las concentraciones de quitosano al 0.75% y 1% también presentaron los mayores valores de inhibición promedio (89%), lo que evidencia su alta eficacia antifúngica en condiciones in vitro (Figura 5). Por su parte, las dosis al 0.5% y 0.25%, así como el tratamiento con la dosis mínima de procloraz, inhibieron el crecimiento micelial de forma parcial, alcanzando valores de PIC de 80% y 70%, respectivamente. El procloraz presentó una inhibición variable entre 84% y 86%, sin superar el efecto del quitosano a dosis elevadas.

Figura 5

Figura 5. Porcentaje de inhibición del crecimiento micelial (PIC) de L. theobromae.

2007-0934-remexca-16-08-e3781-gf5.png

Los tratamientos con ácido acético al 0.5% y el control con agua destilada permitieron un crecimiento micelial completo de L. theobromae en la caja de Petri a partir del cuarto día después de la inoculación, cubriendo el 100% de la superficie disponible (Figura 6). En el análisis estadístico, se incluyeron barras de error (desviación estándar) y grupos homogéneos por la prueba DGC (p≤ 0.05), que confirman diferencias significativas entre tratamientos.

Figura 6

Figura 6. Efecto de control in vitro de quitosano sobre L. theobromae.

2007-0934-remexca-16-08-e3781-gf6.png

El efecto antifúngico del quitosano sobre L. theobromae puede atribuirse a mecanismos que incluyen la perturbación de la membrana celular, inhibición de la síntesis de ADN y la generación de estrés oxidativo, promoviendo la muerte celular programada en estructuras fúngicas (Xing et al., 2021). Estudios como los de El-Araby et al. (2024) y Coronado et al. (2023) han documentado resultados similares con otros hongos fitopatógenos en condiciones in vitro, destacando que el quitosano, en dosis superiores al 0.75%, puede ser tan efectivo como fungicidas convencionales. En este estudio, la eficacia del quitosano fue dependiente de la concentración, y los resultados respaldan su potencial como alternativa ecológica para el manejo poscosecha de frutas tropicales.

Evaluaciones in vivo

Actividad antifúngica del quitosano sobre R. stolonifer en frutos de papaya

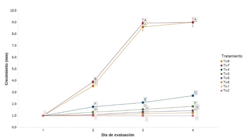
El quitosano, a concentraciones del 1% y 0.75%, mostró una efectividad comparable a la dosis máxima de procloraz en la supresión del crecimiento micelial de R. stolonifer en condiciones in vivo. Estas concentraciones inhibieron significativamente el avance de la colonización fúngica a partir del segundo día post inoculación, manteniéndose constantes hasta el quinto día (Figura 7) (Pervin et al., 2020). Las comparaciones se realizaron entre tratamientos en cada punto de evaluación diaria, bajo un análisis de varianza para medidas repetidas, seguido por la prueba DGC (p< 0.05).

Figura 7

Figura 7. Efecto de los tratamientos sobre la severidad del crecimiento micelial (mm) de R. stolonifer en papaya durante cinco días después de la aplicación de los tratamientos. Evaluación in vivo de: A) quitosano al 1%; b) quitosano al 0.75%; C) dosis máxima de procloraz; D) agua destilada. Letras diferentes indican diferencias significativas entre tratamientos (p< 0.05).

2007-0934-remexca-16-08-e3781-gf7.png

Resultados similares como los de Cortés-Rivera et al., 2021 evaluaron la actividad antifúngica del quitosano (1 y 1.5%) contra R. stolonifer, obteniendo resultados de PIC del 83 y 87%, respectivamente. En la Figura 8 se muestra la apariencia de los frutos de papaya cinco días después de la aplicación de los tratamientos. Visualmente, los frutos tratados con quitosano al 1% y 0.75% (paneles B y D) presentan un menor número y tamaño de lesiones necróticas en comparación con los frutos tratados con agua destilada (control, panel A) (Torres-Rodríguez et al., 2025).

Figura 8

Figura 8. Apariencia del efecto del quitosano en el control de R. stolonifer en papaya, cinco días después de la aplicación de los tratamientos. A) agua destilada (control); B) quitosano al 1%; C) dosis máxima de procloraz; D) quitosano al 0.75%.

2007-0934-remexca-16-08-e3781-gf8.png

Esta observación concuerda con los valores cuantitativos del porcentaje de inhibición del crecimiento micelial (PIC), en los que se registraron inhibiciones de hasta 87% para el quitosano al 1%, frente a un 85-88% para el procloraz (Figura 8C) (Silva et al., 2023). Si bien la diferencia visual entre quitosano y procloraz es discreta, los datos experimentales indican que ambas alternativas ofrecen un control similar sobre R. stolonifer en condiciones in vivo.

Determinación de la actividad antifúngica del quitosano sobre L. theobromae en frutos de papaya

En las condiciones in vivo evaluadas, el tratamiento con procloraz mostró los mayores valores de inhibición del crecimiento micelial de L. theobromae, seguido por las concentraciones de quitosano al 1% y 0.75%, que también ejercieron un efecto significativamente superior al control negativo (agua destilada) (Figura 9 A-D).

Figura 9

Figura 9. Efecto de los tratamientos sobre la severidad del crecimiento micelial (mm) de L. theobromae en papaya durante cinco días después de la aplicación de los tratamientos. Evaluación in vivo de: A) agua destilada (control); B) quitosano al 0.75 %; C) quitosano al 1%; D) dosis máxima de procloraz. Letras distintas indican diferencias significativas (p< 0.05).

2007-0934-remexca-16-08-e3781-gf9.png

A nivel visual, se observó una menor extensión y número de lesiones necróticas en los frutos tratados con quitosano (Figura 10 A-D), lo que coincide con las mediciones cuantitativas y el análisis estadístico (Figura 9 A-D). Las diferencias entre tratamientos fueron significativas (p< 0.05), y se indicaron mediante letras distintas en los gráficos de crecimiento (Figura 9E).

Estudios previos respaldan estos hallazgos. Gomes et al. (2020) demostraron que recubrimientos con quitosano en concentraciones de 1-5% inhibieron el crecimiento de diversas especies del complejo Lasiodiplodia, incluyendo L. theobromae, en papaya, especialmente a concentraciones del 4%. Cuong et al. (2022) reportaron que nanopartículas de quitosano a 250 ppm suprimieron completamente los síntomas de L. pseudotheobromae en cítricos bajo condiciones de alta humedad y 30 ±0.2 °C. Estos resultados confirman que el quitosano puede actuar eficazmente como agente de control alternativo frente a L. theobromae, con resultados comparables a fungicidas convencionales, especialmente cuando se aplica en dosis superiores al 0.75% (Figura 10).

Figura 10

Figura 10. Efecto del quitosano en el control de L. theobromae en papaya cinco días después de la aplicación de los tratamientos. A) agua destilada (control); B) quitosano al 0.75%; C) quitosano 1%; D) dosis máxima de procloraz.

2007-0934-remexca-16-08-e3781-gf10.png

Según el estudio de Cuong et al. (2022) demostraron en in vivo que el tratamiento con 250 ppm de nanopartículas de quitosano suprimió completamente los síntomas de la enfermedad causada por L. pseudotheobromae en frutos cítricos. Este efecto se observó después de 12 días de incubación a 30 ±0.2 °C y bajo condiciones de alta humedad relativa, lo que confirma el potencial del quitosano como agente antifúngico eficaz en ambientes postcosecha (Chowdappa et al., 2020).

Conclusiones

El quitosano demostró una alta eficacia antifúngica contra L. theobromae y R. stolonifer en frutos de papaya, tanto in vitro como in vivo, especialmente a concentraciones de 0.75% y 1%. Su efectividad fue comparable al del fungicida sintético procloraz, lo que refuerza su potencial como una alternativa ecológica y sostenible en el manejo poscosecha de enfermedades fúngicas.

Bibliografía

1 

Ayón, L. E.; Uriarte-Gastelum, Y. G.; Camacho-Díaz, B. H.; Tapia-Maruri, D.; López-López, M. E.; López-Velázquez, J. G. and Vega-García, M. O. 2022. Antifungal activity of chitosan and mint essential oil coating on the development of Colletotrichum gloeosporioides in papaya using macroscopic and microscopic analysis. Food and Bioprocess Technology. 15(2):368-378.

2 

Chowdappa, P. P.; Gowda, S. S.; Chethana, C. S. and Madhura, S. S. 2020. Antifungal activity of chitosan-silver nanoparticle composite against Colletotrichum gloeosporioides associated with mango anthracnose. African Journal of Microbiology Research. 14(10):1803-1812.

3 

Cuong, H. N.; Minh, N. C.; Hoa, N. V.; Van, G. Z.; Hieu D. H.; Van, N. V. and Nam, P. V. 2022. Antifungal activity of squid pen chitosan nanoparticles against three fungal pathogens in various citrus fruits in vitro and in vivo. Coatings. 12(2):235.

4 

Edirisinghe, M. V.; Ali, A. V.; Maqbool, M. E. and Alderson, P. G. 2014. Chitosan controls postharvest anthracnose in bell pepper by activating defense-related enzymes. Journal of Food Science and Technology. 51(12):4078-4083.

5 

El-Araby, A.; Janati, W. C.; Ullah, R. A.; Uddin, N. S. and Bari, A. B. 2024. Antifungal efficacy of chitosan extracted from shrimp shell on strawberry (Fragaria × ananassa) postharvest spoilage fungi. Heliyon. 10(7):1-10.

6 

Gomes, A. C. A.; Costa-Lima, M.; Oliveira, K. Á. R.; Santos-Lima, M.; Magnani, M. A. Câmara, M. P. S. and Souza, E. L. 2020. Coatings with chitosan and phenolic-rich extract from acerola (Malpighia emarginata DC.) or jabuticaba (Plinia jaboticaba (Vell.) Berg) processing by-product to control rot caused by Lasiodiplodia spp. in papaya (Carica papaya L.) fruit. Int J Food Microbiol. 331(2020):108694.

7 

Heng-Tan, G.; Ali, A. A. and Siddiqui, Y. E. 2023. Major fungal postharvest diseases of papaya: current and prospective diagnosis methods. 174(2023):106399-10.

8 

Hernández, A. N.; Hernández, M. M.; Velázquez, M. G.; Guerra, M. G. y Melo, G. E. 2007. Actividad antifúngica del quitosano en el control de Rhizopus stolonifer (Ehrenb.: Fr.) Vuill. y Mucor spp. Revista Mexicana de Fitopatología. 25(2):109-113.

9 

Islam, S. S.; Bhuiyan, M. R. and Islam, M. N. 2017. Chitin and chitosan: structure, properties and applications in biomedical engineering. Journal of Polymers and the Environment. 25(3):854-866.

10 

Karpova, N. V.; Shagdarova, B. S.; Lunkov, A. E.; Il’ina, A. F. and Varlamov, V. B. 2021. Antifungal action of chitosan in combination with fungicides in vitro and chitosan conjugate with gallic acid on tomatoes against Botrytis cinerea. Biotechnology Letters. 43(8):1565-1574.

11 

Kong, M. V.; Chen, X. G.; Xing, K. A., and Park, H. J. 2021. Antimicrobial properties of chitosan and mode of action: a state-of-the-art review. International Journal of Food Microbiology. 1(144):51-63.

12 

Pervin, S. A.; Islam, M. S.; Khan, M. H. H. and Molla, M. M. 2020. Influence of chitosan on postharvest quality and storability of papaya (Carica papaya L.) fruit. BOU Journal of Agriculture and Rural Development. 12(2):33-42.

13 

Poznanski, P. G; Hameed, A. F. and Orczyk, W. G. 2023. Chitosan and chitosan nanoparticles: parameters enhancing antifungal activity. Molecules. 28(7):2996-2999.

14 

Romanazzi, G. G.; Feliziani, E. E.; Baños, S. B. and Sivakumar, D. D. 2017. Shelf life extension of fresh fruit and vegetables by chitosan treatment. Critical reviews in food Science and Nutrition. 57(3):579-601.

15 

Samithri, Y. A. S.; Karunanayake, K. O. L. C. and Kulasinghe, A. A. 2020. In vitro study of selected essential oils against Colletotrichum sp. and Lasiodiplodia sp. causing postharvest diseases in papaya. Ceylon Journal of Science. 49(5):389-396.

16 

Silva, K. G.; Cavalcanti, M. T.; Martins, L. P.; Alves, R. C.; Lucena, F. A.; Santos, M. S. A.; Silva, S. X.; Costa, F. B.; Moreira, I. S. and Pereira, E. M. 2023. Coatings based on gelatin and chitosan in the conservation of papaya (Carica papaya L.) minimally processed. Horticulturae. 9(7):729-736.

17 

Singh, H. H.; Bhasin, J. K.; Dash, K. J. and Shams, R. E.; Shaikh, A. M. and Béla, K. K 2024. Effect of chitosan-based edible coating in management of post-harvest losses in papaya: a comprehensive review. Applied Food Research. 4(3):100456-100459.

18 

Torres-Rodríguez, J. A.; Reyes-Pérez, J. J.; Ramos, L. T. L.; Gonzalo-Matute, L.; Rueda-Puente, E. O. and Hernández-Montiel, L. G. 2025. Chitosan as a postharvest alternative for the control of Phytophthora capsici in bell pepper fruits. Science. 7(2):37-45.

19 

Uclaray, C. C.; Vidallon, M. L.; Almeda, R. A.; Cumagun, C. J.; Reyes, C. T. and Rodríguez, E. B. 2022. Encapsulation of wild oregano, Plectranthus amboinicus (Lour.) Spreng, phenolic extract in baker’s yeast for the postharvest control of anthracnose in papaya. Journal of the Science of Food and Agriculture. 102(11):4657-4667.